BTC/HKD-3.08%
ETH/HKD-3.41%
LTC/HKD-1.39%
ADA/HKD-2.95%
SOL/HKD-1.82%
XRP/HKD-0.63%這篇文章是三篇系列文章的第一篇,討論DeFi借貸協議的工作原理——它們的關鍵組成部分、公式和用例。在這一過程中,我們將強調,盡管協議使用不同和創意的命名方式,但它們傾向于重復、迭代和分享核心概念。其中一篇本博客文章中詳細介紹如何使用ERC20?Token來代表用戶在借貸池中的份額。我們將從分析這些協議的獨特元素開始,并提供技術概念來區分它們的工作方式。
借貸池
在傳統金融中,借貸由第三方金融機構進行調整。這些金融機構被委托執行兩項關鍵任務:強制借方向貸方支付利息,并評估并防止被認為是不可信的當事方參與這些活動。
相比之下,在去中心化金融中,第三方借款人和貸款人是不值得信任的。這種信任的缺失激發了一個創新的設計,用于在鏈上促進借貸過程。
借貸池是一個智能合約。DeFi協議用戶可以存入資產,目的是使用該合約來借出他們存入的資產。其他用戶可以與借貸池進行交互,享受即時貸款,即抵押在池中的資產進行借款。
與傳統金融方法相比,借貸池在借貸方面具有一些重大的優點,例如:
·?在DeFi中,貸款不受貸款資金與借款金額1:1可用性的限制。相反,來自協議所有用戶的資金都被存入池中,從而創建了足夠大的Token庫存,以立即滿足貸款需求。
·?DeFi不需要還款計劃。貸款是根據以前存入的抵押品執行的,用戶可以隨時選擇還款。
此時,你可能會想,「如果我不得不提供同等價值的資產作為抵押品,為什么要在借貸協議上借入資產?難道我不應該出售抵押品并購買所借資產嗎?」
實際上,這種DeFi借貸協議似乎只允許完全抵押的貸款,為一個有趣的「交易」方法打開了大門:杠桿。
假設你對WBTC非常看好,非常確定它的價值會飆升!你可以在你最喜歡的借貸協議上存入一些WBTC,然后使用它來借入一些穩定幣,然后用這些穩定幣在某個交易所上購買更多的WBTC。在這種情況下,你暴露于WBTC的價值為1500美元,而你的初始存款只有1000美元。
但是,如果你把你的500美元的WBTC抵押品存入協議來借入更多的USDC呢?這個過程被稱為超額杠桿,你可以一直這樣做,直到你超出了你的借款能力,而協議的政策會阻止你這樣做。
在類似的情況下,假設你對WBTC持悲觀態度。你可以采取我們之前場景的相反操作,將USDC作為抵押品存入協議來借入WBTC,然后立即以更多的穩定幣換掉它。如果你的預測成為現實,WBTC的價格下降了,你可以在交易所上以更便宜的價格購買相同數量的WBTC,償還貸款并獲得多余的USDC,從而打開WBTC的空頭頭寸。
Brand Connector與Brand Extender上架Alchemy dApp store:12月15日消息,Smart Token Labs 旗下的 Brand Connector 和 Brand Extender 已正式上架 Alchemy dApp store。據悉,Smart Token Labs 正在為 tokenized 的未來建立一個新的標準。旗下兩個主體公司:AlphaWallet 和 TokenScript。[2022/12/15 21:47:09]
份額Token
與傳統金融一樣,將資產存入借貸池的用戶會受到長期保留資金的激勵,并獲得存款利息。利息隨時間累計,按用戶在協議中的存款的百分比計算,并由其相應的存款用戶聲明。用戶在借貸池中保留資產的時間越長,他們獲得的利息就越多。
協議如何記錄每個用戶在池中的份額?當一個用戶向池中存入資產時,他們的「份額」會稀釋所有用戶的份額,協議會相應地反映這一點。然而,協議不會直接跟蹤和更新每個用戶的池份額,而是僅處理存款人份額的變化,而無需每次提取或存入時主動更新其他用戶的份額。
你可能會認為這個協議讓你既能擁有蛋糕,又能吃掉蛋糕。但實際上不是這樣的:
協議通過鑄造和銷毀ERC20Token來處理利息發放,我們稱之為「份額Token」,它代表了貸款池中一個貸方的份額。這種「份額Token」設計自動調整其他「股東」的股份稀釋,以反映「份額」的鑄造和銷毀,與他們的基礎資產的存款或提取成比例
下面,我們將提供不同協議如何使用「份額Token」的實際示例,并討論它們的相似之處。
aToken:AAVE的「份額Token」
aToken是AAVE的收益生成Token,由貸款池在存入和提取資產時鑄造和銷毀。
aToken是集成到AAVE協議中的類似于ERC20的Token,因此用戶可以進入的每個不同市場都有一個對應的aToken。
如果我們查看AAVE借貸池合約,我們可以看到當用戶向池中存入資產時發生的基本操作:

我們可以看到與用戶存入的市場相對應的aToken將被稱為「鑄造」函數。
FTX擬出售或重組部分業務:金色財經報道,FTX準備出售或重組部分業務。FTX和大約101家附屬公司正在尋求法院救濟,以允許新的全球現金管理系統運行并向其關鍵供應商付款。
此前消息,FTX表示已啟動對其全球資產的戰略評估。[2022/11/20 22:08:35]

我們可以看到,實際要鑄造的數量是:

如上圖所示,在這個例子中,用戶加入了一個已經在之前的存款中賺取了一些利息的市場。上面的方程式幫助我們理解這一點,因為它顯示了如何使用全局指數來考慮所有用戶的利息累計,這個指數會在各種操作時更新。
當用戶提取他們的基礎資產時,liquidityIndex將用作乘數來計算交易中所欠的Token數量。
以下是來自借貸池合約的相關代碼片段:

在這里,aToken合約的balanceOf函數有點奇怪。畢竟,我們剛剛確定鑄造的aToken數量與存入的基礎資產數量不同。調用IAToken(aToken).balanceOf(address(user))如何產生用戶即將提取的基礎資產數量?原因如下:
·?當用戶提取他們的資產時,他們的aToken將被銷毀。這些已銷毀的aToken保持其他用戶所擁有的aToken的總量與他們的份額成比例,這些份額是在用戶資產提取之后的。
·?用戶提取資金的市場利率會隨著每次提取而更新。

正如我們先前所述,aToken是類似于ERC20的Token。我們強調它們是「類似」ERC20Token,因為它們的balanceOf函數具有獨特的屬性。在常規的ERC20Token中,balanceOf函數返回一個地址擁有的Token數量。
跨鏈橋Hop Protocol啟動流動性挖礦計劃:10月27日消息,跨鏈橋Hop Protocol宣布啟動流動性挖礦計劃,在跨鏈橋中提供流動性的用戶在質押后可在跨鏈費用外額外獲得HOP Token獎勵,每月的流動性挖礦獎勵為200萬枚HOP,用戶可以在支持的鏈上領取HOPToken。此外,Hop Protocol還將為Velodrome上HOP/ETH流動性池投票以提高VELO獎勵。[2022/10/27 11:47:29]
由于aToken代表池的份額,而不是直接的價值,因此aToken的balanceOf函數返回協議欠用戶的基礎Token的數量,以對其存款進行補償。

在此,該balanceOf函數覆蓋了繼承的aToken合約中的balanceOf函數。結果,該示例邏輯中的balanceOf邏輯被執行,而不是用戶Token數量的常規映射查找。
上述提到的Token數量然后乘以getReserveNormalizedIncome的結果,該函數執行以下邏輯:

我們可以識別此處的分支:
·?如果在該塊中已經更新了保留數據:返回該市場的liquidityIndex值,因為它已經更新。
·?否則:我們需要看看calculateLinearInterest中發生了什么才能找出下一個流程。

當前市場的ReserveData對象中的currentLiquidityRate和lastUpdateTimestamp被傳遞到此函數中,函數的結果為:

讓我們分解此方程式的組件,以更好地理解linearInterest值的要點:?
·?currentLiquidityRate:可以將其視為我們所在市場的年利率
美聯儲布拉德:數據表明通脹難以遏制,需要繼續“前置加息”:金色財經報道,美國圣路易斯聯儲主席布拉德(James Bullard)周五表示,一份“比預期更熱”的9月通脹報告并不一定意味著美聯儲需要的利率比官員們在最近一次政策會議上預測的更高,盡管它確實需要通過75個基點的更大規模加息來繼續“前置加息”。
Bullard在接受采訪時表示,周四公布的美國9月份消費者物價指數數據顯示,通貨膨脹已經變得“惡性”且難以遏制,因此,“我們仍然快速行動是有道理的”。此外,Bullard稱,盡管現在對12月議息會議的舉措進行預估還為時過早,但如果是今天,會繼續在12月加息75個基點。他也表示,進一步的加息情況將視未來數據而定。
如果美聯儲今年再進行兩次75個基點的加息,其政策利率在2022年底將在4.50%-4.75%的范圍內。(路透社)[2022/10/15 14:28:20]
·?block_{timestamp}-lastUpdatedTimestamp:自上次更新以來經過的時間
注意:由于我們在getNormalizedIncome中選擇了第二個分支,因此在此時保證該值為正值。
因此,我們可以將此利息應計機制視為一個簡單的利息復合機制,它在每個區塊中進行復合。現在,我們已經確定了要為用戶累計的利息金額,我們只需要將該值乘以流動性指數,然后在balanceOf函數中進行用戶的規范化收入乘法:

現在我們了解了aToken背后的邏輯,但我們仍然需要解決liquidityIndex的工作原理之謎。
在下面的示例中,liquidityIndex可以定義為一定時間內儲備積累的利息:

回顧之前提到的liquidityRate變量-現在我們將討論它在計算liquidityIndex中的使用。只有當liquidityRate大于0時,才會積累利息-換句話說,只有該市場中有任何APY時才會積累利息。這是有意義的。
讓我們快速回顧一下calculateLinearInterest的實際操作:
隱私性DeFi借貸協議Forlend今日上線流動性挖礦功能:據官方消息,今日Forlend正式上線質押FLD-FRA LP流動性挖礦活動。據悉,Forlend是建立在Findora鏈上的首個隱私借貸協議,在PST時間8月28日上線。Forlend將提供FLD總量的50%供用戶進行質押挖礦。該活動旨在支持Forlend的第一批用戶。[2022/9/6 13:10:58]

上述邏輯可以轉化為以下方程式:

正如我們可以在DefaultReserveInterestRateStrategy.sol合約中看到的那樣,liquidityRate是通過以下方式定義的:

因此,可以寫為:

整體借款利率在此定義為:

我們可以將其寫成:


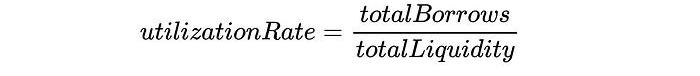
利用率可以定義為:

在定義利用率時,我們更容易考慮儲備中流動性與市場中總流動性之間的比率,這可以簡化為:

現在我們可以使用這兩個定義來編寫流動性指數的方程式:

由于totalBorrows在分子和分母中都存在,因此我們可以寫成:

關于流動性指數的方程式,現在已經說得夠多了,我們以后會再來討論這個定義。
cToken:Compound的「份額Token」
讓我們繼續我們下一個借貸協議示例,Compound。
Compound使用稱為cToken的「份額Token」來處理借款和放貸。這個Token為Compound協議中所有可用于用戶借貸的資產進行記賬。
與我們在AAVEV2中討論的類似,Compound的「份額Token」被鑄造并用于贖回基礎資產。
Compound使用的匯率類似于AAVEV2的流動性指數,以確定應鑄造多少cToken。這個匯率是一個這樣的函數:

讓我來解釋這里的關鍵術語:
·totalCash:cToken賬戶擁有的ERC20基礎Token的數量。?
·?totalBorrows:借款者借出市場上的ERC20基礎Token的數量。?
·?totalReserves:保留的一定數量的ERC20基礎Token,可通過治理方式進行提取或轉移。?
·?totalSupply:返回cToken的總供應量的ERC20函數。
有了這個背景,我們可以寫出Compound的匯率方程式:

當用戶存入ERC20Token時,匯率決定了將鑄造多少cToken作為回報:

要鑄造的cToken數量由以下方程式定義:

eToken:Euler的「份額Token」
為了進一步鞏固這些協議之間的相似性,讓我們再分析另一個借貸協議Euler,看看它如何處理借貸。
在下面的示例中,deposit函數允許用戶存入ERC20Token以換取eToken。

正如我們所見,internalAmount是為此轉移鑄造的eToken數量。

與Compound的名字和函數exchangeRate又一次直接重疊。

讓我來解釋一下用于計算匯率的關鍵參數:
·?poolSize:使用基礎資產的ERC20合約中,以池合約地址調用balanceOf函數的結果。
·?totalBorrows:借出的ERC20基礎Token的總量,目前不在池中。
·?totalBalances:所有eToken持有者的總余額。
因此,方程式將是:

總結
我們已經涵蓋了3個借貸協議:?
·?AAVEV2?
·?Compound?
·?Euler
我們已經檢查了「份額Token」的鑄造方式,以及它們如何通過借貸池交換存款資產。
我們提出的三個方程式可以歸納為一個簡單的方程式:

請記住,匯率可以按照協議定義的任何方式進行定義。這些任意的匯率可以增加鑄造的Token數量,如果大于1則會減少數量。
在AAVEV2和Compound中,我們已經看到了someRate變量的一些相似之處。在Compound中,someRate是:

而對于AAVEV2,someRate的定義如下:

流動性指數的定義為:

雖然我們不能將每個協議的匯率歸納為一個式子,但對于AAVE2和Compound,我們知道匯率是市場中總流動性的函數。回到我們的方程式,給定totalLiquidity是市場中ERC20基礎Token的總量,那么在exchangeRate表達式的分子中和liquidityRate的分母中的分子是功能上相同的。
簡而言之:這些協議在本質上是相似的。雖然它們有時可能使用不同的術語,但當將它們分解為方程式時,每個組件在實現中都具有類似的目的。我們邀請讀者隨機選擇一個借貸協議,并檢查我們在此處討論的歸納是否也適用于該協議。如果適用的話,請隨時告訴我們。
Tags:TOKENTOKKENTOKESource TokenZaddy Inu TokenPoof TokenBI Token
摘要:據杭州互聯網法院報道,近日,杭州互聯網法院就首例涉“虛擬數字人”侵權案作出了一審判決。本案判決結合人工智能技術應用及虛擬數字人發展現狀,從權利主體、客體、權利歸屬等多層面分析虛擬數字人在現.
1900/1/1 0:00:00最近隨著UniswapV3許可證的到期,焦點已經轉向新的CLAMM以及簡化LP體驗的項目。今天,讓我們談談OrangeFinance,以及它為何它最適合當下的情景.
1900/1/1 0:00:00流動性質押衍生品是加密貨幣中最大的主題之一。在過去的一周里,上佩拉的成功升級使得以太坊質押,以及由此產生的LSD,變得更加突出。現在能夠解除ETH的質押,是更多ETH被質押的催化劑.
1900/1/1 0:00:00今天,Coinbase在聯邦法院向美國證券交易委員會提起訴訟。因Coinbase于2022年7月向SEC發出請愿書,希望其通過正式規則的制定流程為加密行業提供指導,但SEC遲遲未給出正式答復,因.
1900/1/1 0:00:00“我們還處于早期階段”有點成為了一種Meme,但不可否認的是這是事實。試著讓100個人說出以太坊上的五個應用程序。95%的人都說不出來,有些人甚至不知道以太坊是什么.
1900/1/1 0:00:001、最近NFT市場萎靡不振,量價齊跌。這是大家都感同身受的事情。很遺憾,傻哥看來看去,各家基金的分析師都沒有說清楚。大多數分析師,不過堆砌數據,而沒有真正理解市場.
1900/1/1 0:00:00