BTC/HKD-1.32%
ETH/HKD-1.21%
LTC/HKD-2.22%
ADA/HKD-2.93%
SOL/HKD-4.23%
XRP/HKD-3.69%前言
如果你在了解有關以太坊2.0的過程中遇到過justification(證明)和fnalization(最終性)這兩個術語,但卻不知道它們是什么意思,希望本文能給你一些啟示。
首先,我們試著來理解什么是
?finality(最終性)。
你一定已經注意到,加密貨幣平臺和Dapps(去中心化應用)通常都會等待幾個區塊被敲定之后才會將你的交易視為“confirmed(已確認)”狀態。
這是一種確保某筆交易已經是“近乎”確定的,或者說該筆交易“幾乎”是不可逆轉的方式,也就是說,這筆交易已經被“finalized(敲定了)”。
以太坊2.0能夠提供finality(最終性)的保證,這是以太坊區塊鏈奉為神圣的客觀事實,而不是一種“近乎”的狀態。這是非常重要的,因為這能夠帶來更快的鏈上通信,即如果某個區塊剛剛被敲定了,那該區塊將無需等待多次確認。
也就是說,
基于工作量證明的區塊鏈(比如比特幣)從未包含讓交易真正實現最終性的特性;
而以太坊2.0鏈旨在提供比工作量證明更強大的最終性保證。
我們來更加具體地加以說明。首先來看幾個定義:
LMDGHOST是以太坊2.0使用的分叉選擇規則(即用于決定哪條鏈是“權威鏈”的規則),全稱是“LastMessageDrivenGreediestHeaviestObservedSubTree(由最新消息驅動的GHOST)”
以太坊Shapella升級后Kraken于昨日提取超過33萬ETH:金色財經報道,據Nansen數據,在以太坊Shapella升級后,Kraken于昨日提取超過330,000個ETH,還剩下175,000個,主要是本金提款。
此前報道,以太坊Shapella升級增加了取款功能,用戶可提取質押的ETH及相關收益。[2023/4/21 14:18:22]
CasperFFG是以太坊2.0使用的權益證明(PoS)機制,全稱是“CaspertheFriendlyFinalityGadget(Casper友好的最終性小工具)”
在以太坊2.0鏈中,每生成64個區塊(大約需要6.4分鐘)稱為一個epoch;
在以太坊2.0系統中,slot是生成一個新區塊所需的時間,即一個新區塊被提議及證明其正確性所需的時間。每個slot被設定為6秒,但不是每個Slot期間都會產生新的區塊。每個epoch期間的最后一個slot被稱為checkpoint(檢查點)。
Committee(委員會)是由信標鏈在每個slot期間隨機選擇的驗證者集合(每個委員會的目標驗證者數量是128名),每個委員會中第一名被隨機選擇的驗證者將有機會在該slot期間提議新區塊,該委員會的其他驗證者將對這個被提議的區塊進行證明(attest)。
以太坊網絡當前已銷毀261.79萬枚ETH:金色財經報道,據Ultrasound數據顯示,截止目前,以太坊網絡總共銷毀2617904.79枚ETH。其中,OpenSea銷毀230050.03枚ETH,ETHtransfers銷毀241026.06枚ETH,UniswapV2銷毀137017.01枚。
注:自以太坊倫敦升級引入EIP-1559后,以太坊網絡會根據交易需求和區塊大小動態調整每筆交易的BaseFee,而這部分的費用將直接燃燒銷毀。[2022/9/11 13:22:12]
基于上面這些信息,我們繼續探討Justification(證明)和Finalization(最終性)。
CasperFFG
Casper是一種用于證明和敲定區塊?(不管是一般的區塊鏈平臺還是以太坊2.0鏈中的epoch期間產生的區塊)?
的方式。Casper是一種通用的“小工具”,可以添加到任何需要實現最終性的區塊鏈中,但Casper在PoS區塊鏈中最為有用。
以太坊2.0中的最終性是這樣一種概念,即
系統確定將不會存在兩個相互競爭的、敲定的檢查點(checkpoints),而當這種情況發生時,至少三分之一的活躍驗證者將被被罰沒(slashing)。我們稱之為經濟最終性(economicfinality)。
數據:以太坊的交易量較去年下降了80%:金色財經報道,根據IntoTheBlock數據,以太坊的交易量較去年下降了80%,是一年前的五分之一。以太坊和大多數智能合約平臺上的活動都因對NFT的興趣下降而受到影響。IntoTheBlock研究主管 Lucas Outumuro 表示,隨著大型 NFT 銷售變得不那么普遍,并且對區塊鏈的需求減少,以太坊上的交易量一直在減少。NFT 興趣的下降以及 DeFi 收益率的下降導致以太坊交易量大幅下降。與其他資產相比,NFT 在 2021 年第一季度成功升值,但最近的下跌對以太坊網絡的活動造成了連鎖反應。這里對以太坊的看法是,在短期內對它的需求會減少,因為這是用于購買 NFT 的主要貨幣。此外,從以太坊頭寸中獲利地址百分比也降至 2020 年 7 月以來的最低點。(Coindesk)[2022/5/28 3:46:59]
你也許想問,為何是三分之一的驗證者將被罰沒?我們知道,
在以太坊2.0系統中,必須保證有三分之二的驗證者是誠實驗證者來參與驗證(也即進行投票),因此如果系統出現兩個相互競爭的、敲定的檢查點,則意味著有三分之二的驗證者對其中一個檢查點進行投票,同時也有三分之二的驗證者對另一個檢查點見投票,也就是說,至少有三分之一的驗證者對這兩個檢查點都進行了投票,這部分驗證者就會被系統認為是惡意驗證者,因此會受到罰沒懲罰。
以太坊L2網絡總鎖倉量為49.3億美元:金色財經報道,L2BEAT數據顯示,截至5月14日,以太坊Layer2上總鎖倉量為49.3億美元。其中鎖倉量最高的為擴容方案Arbitrum,約27.7億美元,占比56.32%。其次是dYdX,鎖倉量9.69億美元,占比19.65%。Optimism占據第三,鎖倉量4.73億美元,占比9.60%。[2022/5/14 3:15:20]
對于驗證者來說,最大的利益來源于正確地對信標狀態進行敲定,而不是進行不當的惡意操作。
那么“敲定的檢查點”中的“敲定”是什么意思呢?在對此進行解釋之前,我們需要解釋一下什么是“justification(證明)”。
證明就是驗證者通過對檢查點進行投票,從而決定哪個檢查點才是信標鏈的頂端區塊。如果三分之二的驗證者(也即絕大多數驗證者)對兩個連續的epoch達成共識,這樣
這兩個連續的epoch被證明了(justified),前一個epoch就被認為是敲定了(finalized)。
注意:上述定義在很大程度上進行簡化了,目的是為了方便理解。一些其他的因素也會參與其中,但這超出了本文的范圍。
因此,一個“敲定了的”epoch實際上就是一個已經被“證明了的”epoch,但其中存在一個關鍵的區別——當某件事被“證明了”,你仍然可以把時間倒流回去重新證明;但當你“敲定了”某件事,那重寫歷史就變得非常困難。
動態 | 比特幣礦業巨頭BTC.com將推出一個以太坊礦池:據thenextweb報道,加密貨幣挖掘硬件巨頭比特大陸的子公司BTC.com今天發布了一個專門用于挖掘以太坊區塊鏈的新客戶端。BTC.com礦場負責人表示,“我們預計采礦業務在未來12個月內將增長到以太坊總哈希值的12%”。[2018/8/30]
也就是說,
某件事“敲定了”就一定意味著這件事已經被“證明了”,而某件事被“證明了”不一定意味著這件事已經“敲定了”。
應該注意的是,當驗證者對epoch進行證明或敲定時,并不是說驗證者正在對epoch本身進行投票,而應該說驗證者正在對epoch期間的“內容”進行投票/驗證,這個“內容”就是每個epoch期間的最后一個slot(即檢查點)的狀態根(stateroot)。
因此,
驗證者是通過投票的方式來對epoch進行證明/敲定,這就是驗證者對以太坊區塊鏈的最新已知有效狀態進行投票的方式。
LMDGHOST
這就是分叉選擇規則發揮作用的地方。
GHOST實際上是一種在PoW(工作量證明)和其他區塊鏈平臺非常受歡迎的協議。GHOST協議遵循“最重的”子樹(the“heaviest”subtree),也就是最長的那條鏈。
在比特幣區塊鏈中,“最重的”分支就是那條在其區塊中投入了最多算力的鏈,這條鏈也就是最長的鏈。顯然最長的鏈就是我們所說的“權威鏈(canonicalchain)”,但這條鏈依舊有可能切換為另一條分叉鏈(雖然可能性很小),因此
最長鏈的最終性是概率性的。
LMD讓“消息(messages)”發揮了作用,即以太坊2.0鏈上的最終性是“由最新消息驅動的”。消息就是證明(attestation),所有這一切歸結起來就是,
擁有最多投票的分叉鏈將被認為是“權威鏈”。

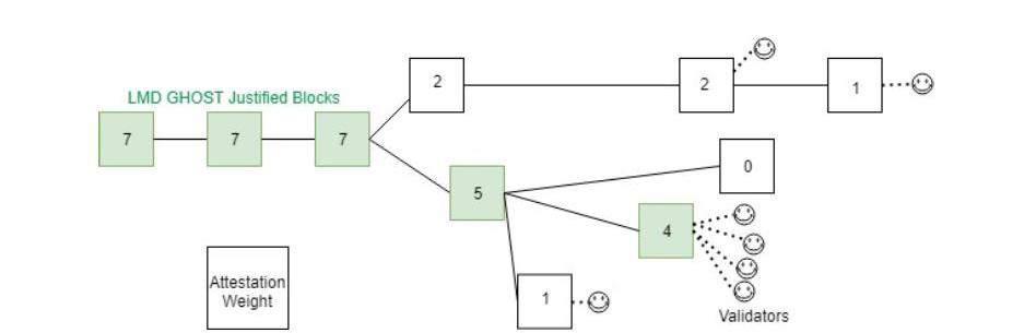
上圖中體現了由最新消息驅動的分叉選擇規則:綠色區塊表示經由LMDGHOST分叉選擇規則證明了的區塊,笑臉符號表示最新的驗證者證明(attestations),某個區塊中的證明總量(笑臉總數)就是該區塊的權重,用區塊中的數字表示。
在上圖中,盡管位于上方的那條分叉鏈是最長的鏈,但
下方的那條由綠色區塊組成的鏈才是“權威鏈”
,因為綠色區塊包含了最多的證明,也就是擁有最多的驗證者投票。
Gasper
在以太坊2.0鏈中,Casper和LMDGHOST一起就構成了驅動以太坊2.0系統的共識協議。
讓我們看看這張來自以太坊研究者JustinDrake在EthCC會議上演講有關Eth2.0時使用的幻燈片。

幻燈片1
上圖中,兩個虛線框展現了在分叉選擇中的非法情況。上方靠左的虛線框展現的是,如果在同一時間投票給兩個不同的狀態根,那就是非法的投票,也就是說,
你不可以在同一時間投票給兩個包含不同內容(狀態根)的epoch?。
上方靠右的虛線框展現的是,
你不可以跳過某些epoch而對之后的epoch進行投票,換句話說,你在投票給當前的候選epoch之前,不可以投片給將來的epoch。
上圖的下方部分展現的是兩條被敲定了的分叉鏈。第一個和第二個以紅色圓點表示的epoch是已經被敲定了的“權威鏈”,因為這兩個epoch之后緊跟了第三個和第四個(以紅色圓點表示的)epoch。但是,第三個和第四個epoch在兩條平行的分叉鏈中都存在,那
這兩條分叉鏈哪條才是屬于“權威鏈”呢?
我們看第二張幻燈片。

幻燈片2
根據上文所述,在同一時間投票給兩個包含不同內容的epoch是非法的。在幻燈片2中的下半部分包含兩條分叉鏈的情況下,上面的分叉鏈中的兩個epoch(紅色圓點)已經被敲定了(finalized),因此似乎上面的這條分叉鏈是有效的;但位于下面的那條分叉鏈也包含了兩個已經被敲定的epoch,
但這兩個epoch被敲定的時間更晚一些!

幻燈片3
這就意味著位于下面的分叉鏈是無效的分叉,因為如果跟隨下方那兩個被敲定的epoch繼續進行投票,這將意味著一個最新被投票的epoch將跟隨一個來自于另一條分叉鏈的epoch。這是非法的,因為
敲定的檢查點是必須按時間順序排列的。如果發生了這種情況,那大量的驗證者將受到很嚴重的懲罰,因為大多數的驗證者把票投給了一條“非法鏈”上的epoch。因此,這些驗證者必須被懲罰。
就是這樣了!如果你是驗證者,請確保每個slot期間只投一次票,并且確保你投的是也是其他人正在投的。要避免被罰沒!(別擔心,這些都將內置到你使用的以太坊2.0客戶端中)
希望本文能讓你更加清楚地了解justification?和finalization。如果你還有不清楚的對方,請告知我(推特@bitfalls)!非常感謝DustinBrody、MamyRatsimbazafy、JustinDrake以及DannyRyan對撰寫本文的幫助!
作者:Bruno?kvorc
編譯:Summer
來源:Unitimes
目前,數字貨幣的技術實現與現實要求之間相差百倍,我們距離數字貨幣的規模化落地還有很長的路要走。但是,賽道已經開啟,深圳擁有平安集團、招商銀行、微眾銀行、大成基金等40多家知名金融機構,數字貨幣研.
1900/1/1 0:00:00加密數字貨幣的出現,顯示數字化對金融產業鏈、金融組織的邊界帶來了重構的可能性,數字金融基礎設施的變革已“撲面而來”。這就需要從理論到實踐的全新思考.
1900/1/1 0:00:00前不久,美國CCN新聞網在一篇報道中寫道:“一套1999年的口袋妖怪卡牌在拍賣會上賣出10萬美元的價格——它的價值超過了比特幣.
1900/1/1 0:00:0001 美債倒掛,比特幣暴跌 昨日,美股道瓊斯重挫800點,數字貨幣市場也出現普跌,比特幣一度跌破10000美金,主流和山寨幣大跌.
1900/1/1 0:00:00摘要:比特幣多空在12000美元附近膠著,短時延續震蕩調整,近期繼續上行的可能性較大。山寨幣跟跌不跟漲,短期市場避險情緒不減,長期震蕩上行趨勢不變.
1900/1/1 0:00:00凌晨BTC走勢繼續下探,但并未過于深入,且未能打破前期低點沒能形成破位走勢,當前不走勢在低點附近持續向下試探,小時STOCH指標已經在20水平線下方運行多時,一直保持膠著的姿態.
1900/1/1 0:00:00