BTC/HKD-1.31%
ETH/HKD-2.23%
LTC/HKD-1.29%
ADA/HKD-2.46%
SOL/HKD-2.31%
XRP/HKD-1.66%作者:TaoHuang
時間是有價值的,利率是時間價值最基本的表現形式。通過對利率的探索和研究,我們能夠更深入地了解金融的本質,并借此開發出廣泛適用于各種場景的交易模型,捕獲長期穩定的商業價值。
1.利率的起因
利率是當今經濟學模型中的最重要變量之一。幾乎所有的金融資產和金融現象都與利率存在或多或少的聯系。利率政策已經成為各國央行調控貨幣供求和經濟增長的主要手段。但其產生不外乎以下五種主要原因:
延遲消費:當放款人借出資金,就等于其延遲了消費。根據時間偏好原則,相對于未來的商品,消費者會更偏向于獲得當前的商品,因而產生利率。
預期通脹:大部分經濟會出現通貨膨脹。這代表同樣數額的資金在未來可購買的商品少于當前,因此借款人需向放款人補償該部分損失。
機會成本:放款人借出資金等于放棄了其他投資可能的回報,因此借款人需和其他投資競爭這筆資金。
投資風險:借款人有無法償還的風險,放款人需收取額外的費用補償其承受的風險。
流動性偏好:人往往偏好資金或資源可隨時支取的狀態,而不是需要時間取回,因此需要對人們犧牲的流動性進行補償。
美聯儲梅斯特:預計利率將“略提高”,然后保持不變:金色財經報道,美聯儲梅斯特:預計利率將“略提高”,然后保持不變。美聯儲官員專注于將通脹恢復到2%的目標。現在判斷美聯儲是否會在5月份加息還為時過早。[2023/4/5 13:46:23]
原理上,放款人需要對借款人以上的五項偏好或風險進行補償。其中延遲消費、機會成本和流動性偏好構成基礎利率,而預期通脹又僅和名義利率相關,因此,只剩下投資風險直接影響實際利率。按照邏輯,實際利率基本上與投資風險正相關。?
2.利率的定價
自經濟學誕生以來,利率決定體系經歷了多種不同理論的發展和演變。其中主要包括古典利率理論、凱恩斯利率理論、可貸資金利率理論、IS-LM利率分析模型。古典利率模型過于原始,而可貸資金利率理論和IS-LM利率分析模型涉及宏觀經濟數據,不在本文討論范圍內。為了方便理解,本文以最清晰直觀的凱恩斯利率理論為例詳述。凱恩斯利率理論又稱利率平價理論。該學說的核心觀點是,不同貨幣的即期匯率和遠期匯率價差由兩種貨幣的利差決定。具體表現為高利率貨幣在遠期市場必定貼水,低利率貨幣在遠期市場必定升水。以不涉及利率期貨的無拋補利率平價模型為例,其定義是在資本具有充分國際流動性的條件下,投資者的套利行為使得國際金融市場上以不同貨幣計價的相似資產的收益趨于一致。也就是說,套利資本的跨國流動性保證了“一價定律”適用于國際金融市場,公式如下:
DAO信貸平臺Porter Finance宣布更名為Arbor Finance并重新推出利率20%的債券:金色財經報道,DAO信貸平臺Porter Finance宣布更名為Arbor Finance并重新推出利率20%的債券,Arbor Finance將分叉Porter Finance代碼,同時保持相同的核心功能,允許 DAO 以穩定幣籌集債務,同時使用其原生代幣作為抵押品。Arbor 部署到以太坊區塊鏈,通過創建貸方可以競標的 ERC-20 債券代幣來工作。
金色財經報道,7 月,Porter Finance僅在推出4周后就關閉了其DeFi債券發行協議,理由是需求不足。[2022/10/31 12:01:44]

簡單的說,貶值越快的貨幣利率越高,以此補償其貶值的損失。理論上,當平價失效的時候,國際游資將通過套利賺取利潤并相應地使平價公式回歸,以此保持利率平價模型的長期穩定。
3.套息交易
從數理角度看,利率平價模型優美而邏輯自洽。但現實很殘酷,大部分情況下利率平價模型并不成立,主要原因如下:
BlockFi 將Solana、Avalanche和Polygon等主要加密貨幣的利率減半:5月27日消息,加密借貸平臺BlockFi已將非美國客戶持有的一些市場加密貨幣的利率降低了一半。自6月1日起,Solana存款的利率將從10%降至5%,而Avalanche(AVAX)和Polygon(MATIC)的利率將分別從10%降至5%和11%至5%。(The Block)[2022/5/28 3:46:41]
交易成本:套利者需要承擔手續費、買賣價差、交易滑點等成本。
市場壁壘:尤其是新興市場,由于外匯管制等原因,資金的國際流動受到限制。
機會成本:套利資金的使用需要覆蓋機會成本,收益更高的其他投資方式會持續吸引資金流出。
綜上,由于各種原因國際游資難以確實地捕捉到平價公式偏離產生的理論套利機會,導致平價公式長期處于偏離狀態,進而產生了一種新的交易模型,我們一般稱之為套息交易。其核心理念是通過做空低利率貨幣,做多高利率貨幣,賺取息差。該交易模型承載體量巨大,被廣泛運用于各類大型對沖基金。根據南京大學經濟學院估算,全球套息交易整體規模在2002年就達到5000億美元。此后由于多個國家利率上漲,套息交易規模迅速上揚,在2007年達到13590億美元的峰值,由于金融危機爆發才有所降溫,但在2011年以前規模依然維持在8000億美元以上。
美聯儲7月維持利率在0%-0.25%區間的概率為100%:據CME“美聯儲觀察”:美聯儲7月維持利率在0%-0.25%區間的概率為100%,加息25個基點至0.25%-0.50%區間的概率為0%;美聯儲9月維持利率在0%-0.25%區間的概率為100%,加息25個基點至0.25%-0.50%區間的概率為0%;11月維持利率在0%-0.25%區間的概率為100%,加息25個基點的概率為0%。[2021/7/6 0:29:22]
4.美元利率
由于今年年初席卷全球的新冠疫情對全球經濟造成了重大打擊,以美聯儲為首的全球各大央行實施了史無前例的大放水政策以刺激經濟,美元利率應聲大跌,美國國債收益率趨近于0%。

在這種背景下,全球資本迫切需要尋找能夠提供更高收益率的資產端。這一方面導致了全球資產市場大幅升值,另一方面為包括加密世界在內的高息地帶引來了重大機遇。
5.加密世界
如果我們把利率看成金融世界的時間法則,初生的加密世界時間法則還處于混沌狀態。這種混沌狀態不僅體現在傳統金融世界和加密世界巨大的息差,同樣也體現在加密世界內部普遍的息差和風險倒掛現象。不像傳統世界有LIBOR這類全球公認的利率指標,加密世界的利率更加碎片化和混沌化。并且由于商業模式的差別,加密世界的利率更有其獨特性。我們簡單闡述幾個最重要的利率數據。
Voyager公布五月添加至“利率計劃”的5種加密貨幣:總部位于紐約的加密經紀公司Voyager透露,它將在5月份向Voyager Interest Program添加5種新的山寨幣,并暗示XRP將是其中之一。周四,Voyager 公布其他四種加密貨幣,分別是:EOS(EOS)、Stellar(XLM)、OmiseGO(OMG)和0x(ZRX)。(SludgeFeed)[2020/5/1]
6.存貸利率
讀者對存貸利率一定不陌生,但或許不敏感。我們先簡單羅列某交易平臺的存貸利率如下:

可以看到,該平臺不同資產的存貸利率差距極大。USDT的借貸利率幾乎是DOT的10倍,而存款利率更是DOT的20倍以上。這就是不同資產時間價值的直觀體現。因此,讀者必須明白,單純地持有資產會不斷流失時間價值,而不同的資產時間價值千差萬別,可能造成的隱形損失不可估量。另外,加密世界的利率遠高于傳統世界。以美元利率類比,當前LIBOR已經低至0.08288%,而USDT在上述平臺的存款利率依然高達6.59%。這一方面反映了加密世界本身的系統性風險,另一方面,也源自加密世界特殊的商業模式。傳統世界中,出借方在未產生對手方信用違約的情況下,是無法接觸使用借貸抵押品的。而由于加密資產特有屬性,加密資產借貸通常需要借款方將抵押資產的使用權轉移至出借方。按照行業慣例,出借方有權部分或全部使用抵押資產做收益增強。這就導致出借方能夠承擔更高的借貸利率,而這背后實際對應了更高的違約風險。
7.永續資金費率
永續合約是從傳統世界跨越至加密世界的最成功金融產品之一,Bitmex憑借這一產品一舉奠定了其行業巨頭的地位。永續合約永不交割,完全依靠定期的資金費率錨定現貨價格。資金費率和利率是直接掛鉤的關系,其公式如下。

簡單來說,永續合約的資金費率計算共有兩個參數,一是價差也即溢價指數,二是利率。價差是由市場動態變化形成的,而利率則由交易平臺預設。因此,永續合約的資金費率即是市場利率和交易平臺預設利率之間偏差的具現。
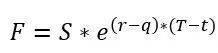
8.?期現價差
交割合約是加密世界交易量和持倉量最大的金融衍生品。期現價差是利率的另一種表現形式。期權定價模型如下。

簡單來說,期貨價格和現貨價格的關系取決于2個參數,利率差和到期時間。對于每次計算而言,到期時間都是固定值。因此期現價差完全可以認為是利率差值的具現。
9.DeFi挖礦收益率
今年以來去中心化金融概念席卷加密世界。相信讀者們或多或少都參與或者聽說了DeFi挖礦的暴富奇跡。DeFi挖礦品類繁多。質押模型、風險模型和收益模型都不盡相同,這帶來了更多更復雜的利率模型。由于并非本文重點,這里僅展示部分DeFi挖礦產品的收益率:

數據來源:CoinGecko
上表可知,DeFi產品的收益率高得似乎不合常理,就像早期比特幣價格異常便宜一樣。如果我們站在多年以后往回看,這樣的高收益率并不僅僅對應了高風險,也源自行業早期的紅利。
10.套息交易在加密世界的運用
套息交易不僅可以通過聯通傳統世界和加密世界獲利,也可以在加密世界內部的息差中獲利。讀者可以根據本文所列舉的各種利息表現形式自行組合。本文以最簡單的期現套利為例簡單講解其原理。首先回到如下期貨定價公式。

很顯然,當等式左項大于右項時,期貨價格被高估,我們持有現貨的同時做空相應期貨即可盈利。當等式左項小于右項時,期貨價格被低估,我們做多期貨的同時杠桿做空現貨即可盈利。
11.利率游戲的意義
套息交易是傳統金融世界常見的交易模型之一,這種模型在處于混沌狀態的加密世界中尤其有效。我們相信這樣的行業紅利短期內不會消失,但我們同時也意識到這樣的行業紅利終究會消失。抱著這樣的緊迫感,我們才能高效地發掘更多有效的交易機會。套息交易對市場的可持續發展也具有非常重要的意義。一方面,套息交易為投資者提供了對沖機會,有助于將扭曲的市場價格重新拉回至正常水平;另一方面,巨大的套利空間將推動資本的持續涌入,在抬升資產價格的同時,為市場提供充裕的流動性。
Tags:ANCNCENANFINAmbitFinanceGOMA Financezzz.finance v2Klear Finance
12月18日-20日,2020網易未來大會在杭州盛大舉行。在今日“2020網易未來大會·區塊鏈與人工智能”現場,網易集團副總裁胡志鵬、中國萬向控股有限公司副董事長肖風、中國工程院院士陳曉紅、網易.
1900/1/1 0:00:00CompoundChain?CompoundChain是一種能夠在不同分類賬本之間轉移價值和流動性的獨立分布式分類賬,用戶可基于CompoundChain在不同的區塊鏈間借用和借出跨鏈資產.
1900/1/1 0:00:00作?者 許妙言,陳晗,袁煜明 摘要 2020年,以灰度、PayPal和MicroStrategy為代表的傳統金融機構正源源不斷地從多條路徑加速進場加密資產行業.
1900/1/1 0:00:00法國部長委員會已經批準一系列新措施,以打擊匿名加密貨幣交易。加密貨幣交易所的匿名賬戶受到封禁,而且這些交易所如今必須要實行更加嚴格的實名制要求.
1900/1/1 0:00:0012月18日至20日,2020CCF中國區塊鏈技術大會將在山東濟南舉行。大會由中國計算機學會主辦,中國計算機學會區塊鏈專業委員會、山東安可區塊鏈產業發展研究院、航天信息股份有限公司聯合承辦,中科.
1900/1/1 0:00:00比特幣的總市值大概是4400億美元,黃金大概是9萬億美元。全球的房地產是多少?大概是228萬億美元。如何投資全球房地產?這是相當困難的.
1900/1/1 0:00:00