BTC/HKD+0.54%
ETH/HKD+0.69%
LTC/HKD+0.34%
ADA/HKD+1.38%
SOL/HKD+1.18%
XRP/HKD+0.89%前言
目前,使用LPToken進行抵押借貸的需求越來越大,但是目前市面上并沒有一種完善的用于安全獲取LPToken價格的方法。慢霧安全團隊在分析LPToken價格的獲取方式的過程中關注到了AlphaFinance團隊的關于安全獲取LP價格的方法。在仔細閱讀后,將相關的思考分享給大家。
LPToken價格獲取分析
目前,常見的LPToken價格的獲取方式如下:

其中,r0,r1分別代表Uniswap交易對中兩種代幣的存量,price0,price1分別代表r0和r1對應代幣的價格。上面的公式簡單來說就是算出交易對中兩種代幣的總價值之和,然后除以LPToken的總數量,得到了單份LP的價值。
這個公式咋一看沒什么問題,一般來說,price0和price1都會取Uniswap本身提供的延時價格。但是這里存在一個被閃電貸攻擊的風險。雖然price0和price1是不能操控的,但是r0和r1卻是可以操控的。通過操控r0和r1的值,即可對整個公式進行操控,具體可參考慢霧文章《采用延時喂價還被黑?WarpFinance被黑詳解》
加拿大央行副行長:尚未證明加密貨幣是一種穩定的價值儲存方式:金色財經報道,加拿大央行副行長Rogers表示:尚未證明加密貨幣是一種穩定的價值儲存方式或一種有效的支付便利形式。[2022/11/23 7:58:33]
那么有沒有辦法能獲取一種安全的LPToken價格,使代幣的存量無法被操控呢?AlphaFinance團隊提供了一個思路:

根據AlphaFinance的分析,整個過程分為3步:
第1步是通過Uniswap的getReserves接口獲得交易對中對應代幣的數量,算出K
第2步是獲取交易對中每個代幣對應的價格,然后算出代幣的價格的比例P
第3步是通過K和P之間的關系反推真實的代幣存量。
Kraken首席執行官:未來比特幣作為一種資產類別,將繼續得到更多采用:Kraken首席執行官Jesse Powell近日在接受采訪表示,比特幣的匿名創造者中本聰(Satoshi Nakamoto)可能預見到了一場比2008年大衰退更嚴重的金融危機。他繼續說,比特幣是中本聰走出這個系統并“降低風險并擁有真實,有限和可預測的東西”的一種方式。盡管如此,Jesse Powell也承認BTC在短期內是非常不穩定的。但他認為,從長期來看,比特幣已被證明是一種巨大的保值手段。
Jesse Powell在采訪中進一步說,央行數字貨幣(CBDC)將與法幣存在相同的問題。這包括無限的印鈔,偽造等。但是,盡管它們是“官方認可的Tether或USDC”,但CBDC仍將為人們打開更多進入比特幣和加密貨幣的大門。在被問及未來5年加密技術的發展方向時,Jesse Powell表示,比特幣作為一種資產類別,將會繼續得到更多的采用。比特幣會變成一個普通的應用程序,用戶不會過多考慮“陰謀”和復雜性。(Cryptopotato)[2020/7/11]
完成以上3步后,最終LPToken的價格獲取公式會變成下面這個樣子:
聲音 | 百慕大總理:加密貨幣是一種很好的均衡器,有助于實現社會公平:百慕大總理Edward David Burt接受采訪時表示,加密貨幣是一種很好的均衡器,并將金融科技創新視為國家戰略要務。Burt強調了加密貨幣在創造一個更加公平的社會中所扮演的角色:在權力下放的前提下,他認為小額支付的出現可以幫助重組當前科技巨頭利用平臺進行壟斷的技術商業景觀。此外,他還強調了促進金融科技對百慕大經濟的中心作用,指出百慕大90%的外匯收入來自國際業務,其中大部分來自金融服務。(Cointelegraph)[2019/10/18]

這一波操作下來,好像有點整懵了,但是問題不大,我們來逐個分析。
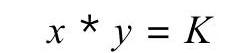
首先,我們知道,Uniswap采用的是恒定乘積算法。簡單來說就是x*y=K,也就是說,交易前后的K值是不會變的。在不討論手續費的情況下,K值理論上是不會改變的。我們先記住這個前提。然后,獲取交易對中每個代幣各自的價格,比方說對USDT價格。這里以ETH-BTC交易對為例,假設ETH的價格為650USDT,BTC的價格為22,000USDT,那么ETH/BTC的價格比值P為0.03。在得到價格的比值P之后,直接用第1步得到的K計算K/P和K*P就得到了對應交易對的一個正常的數量。下面要對第3步,即獲取正常的數量這一步進行相應的說明。
聲音 | 劉昌用:加密貨幣是一種社會現象 甚至區塊大小都已成為意識形態:針對網絡上出現的利用重組恢復幣安被盜BTC討論,知密大學發起人劉昌用轉發幣安官方微博稱,密碼貨幣(加密貨幣)是一種社會現象。不可回滾、不可分叉、不可增發、算力決定,甚至區塊大小,都已經成為一種意識形態,哪怕只是探討都會招來憤怒的輿論攻擊。
此外,幣安官方微博內容為:不會發生比特幣回滾。比特幣賬本是世界上最可信的,不被人為篡改的賬本。比特幣回滾是來自社區的一個技術解決方案。[2019/5/8]
公式思路解釋
現在開始對上面的第3步進行說明,扶穩坐好:D
像前面說的,恒定乘積的公式為:

那么其實可以根據K來分別算出x,y。然后根據上一節的第2步,我們得到了x和y的價格的比值P。由于Uniswap本身是根據池中代幣的比例來確定對應的價格,所以比值P本身就是x/y的價格的比值。然后,由于K=x*y,而P是由正確的價格算出的比值,那么,我們其實就可以以這個真實的K和x/y來反推真實的x和y。
人民創投刊文:徐小平有一種“害怕錯過”的焦慮:執著于獲得萬倍回報的真格基金創始人投資人徐小平內心的持續焦慮是難免的,因為過高的回報預期會極易導致投資人害怕錯過每一個風口,或被后來的投資機構超越。執著于成為人生導師的徐小平內心的持續焦慮也是難免的,因為要在信眾面前始終展示出身為導師的遠見和卓識實在是一件難事。或許正是這兩種焦慮融合為一的時候,徐小平喊出了“all in”區塊鏈,在整個行業內攪起了自己難以平息的軒然大波。[2018/4/13]
推算如下:
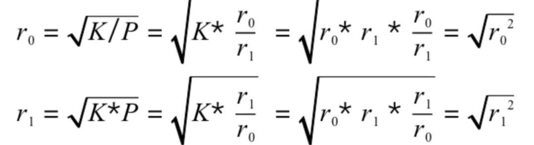
首先,我們根據P和r0,r1的比例得出以下公式:

接著,根據P就可以倒推真實的r0,r1,如下:

那么,拿到了正確比例的x和y之后,LP的價格會是下面這個公式:

再轉換成如下:

攻擊的可能性
在完成公式分析后,我們不難知道,只要有正確的價格的比例P,就能根據這個比例倒推真實的r0和r1,最后得到公式:

那么,這個公式能不能被攻擊呢?從公式上可以知道,公式的price0,price1都是可信源獲取的正確的價格,這個值是無法被操控的,然后是totalSupply,這個值雖然可以操控,但是在控制LP價格進行攻擊的過程中改變totalSupply只能是改變你的抵押數量,這個暫時沒有用。那么剩下可以操控的只有r0和r1的值了。如何改變r0,r1的值呢?下面提供兩種思路進行分析:
思路一:直接進行代幣兌換
我們知道,在代幣池中,無論是采用什么算法進行計算,代幣池在進行代幣兌換的過程中,必然會發生代幣數量的改變,那么這種改變最終能不能操控公式呢?其實是不可以的。我們知道,在恒定乘積的模型中,x*y=K總是成立的,那么也就是說無論交易過程中怎么發生代幣的兌換,K的值總是不變的(這里不考慮手續費的情況),而公式中采用的是r0和r1進行相乘,所以使用代幣兌換來操控公式實際上是不可行的。
思路二:將代幣直接打入到代幣池中
這種思路比較粗暴,可以直接忽視K值來操控r0和r1相乘的值,但是經過我的運算,這種方法看似可行,其實是不行的。雖然達到了操控的目的,但是因為公式本身在獲取最終價格的時候采用的是根號的模式,所以最后獲得的收益是根號后的收益,比方說付出10,000的成本,最后只能獲得最多100的收益,這樣是明顯不劃算的。所以這種思路也是不可行的。
適用范圍
本算法的適用范圍僅限于適用AMM模型的代幣池的LP價格的獲取,因為整個推導過程都基于恒定乘積公式中K的基本特性來進行。獲取的LP本身所屬的交易對算法不使用AMM模型是不可行的,因為這種情況下,前面所有的假設都已經不成立了,那么對應的公式的推算自然也是不成立的。
總結
LP抵押已經成為了一種迫切的需求,在目前沒有更好的方式(如ChainLink提供的LP喂價,Uniswap提供延時LP接口等),AlphaFinance的方式可以說是一種較為安全的實現方法,使針對數量進行控制的攻擊變成不可行或成本非常高。當然,隨著越來越多場景的出現,這種算法也不一定是萬能的,項目方需要結合自身的場景,合理運用該算法,達到良好的效果。此外,特別需要注意的是,雖然公式的終極形式用的是開根號的r0,r1和price0,price1相乘,但是真正實現的時候,需要根據K來推導具體的r0和r1的值,不然會存在一定的誤差。
參考鏈接:
AlphaFinance關于獲取公平?LP價格的方法
美國主要投資銀行摩根大通的聯席總裁DanielPinto認為,摩根大通最終將不得不進入比特幣領域。這位高管在周五對CNBC表示,摩根大通是否決定推出比特幣服務,將取決于客戶對比特幣交易的需求.
1900/1/1 0:00:00作者:深鏈六六 “人類誕生以來的第一件事情就是收藏。”2018年12月,在世界TED演講大會上,DapperLabs創始人RohamGharegozlou侃侃而談.
1900/1/1 0:00:00來自埃塞俄比亞的社區開發者Meheret近期完成了基于比原鏈的HTLCSwap項目,支持比特幣,比原主鏈和比原側鏈之間的資產原子互換。Swap獲得BytomGrant1萬美金的獎勵.
1900/1/1 0:00:00去中心化支付協議Celo已完成從AndreesenHorowitz,GreenfieldOne和ElectricCapital等投資者的2000萬美元融資.
1900/1/1 0:00:00原文標題《回到未來重識DeFi》 序言 互聯網出現之后,人類社會迎來了高速發展,顛覆了信息的生產和傳遞方式,改變了文明的演?進方向.
1900/1/1 0:00:00比特幣市場 本周比特幣走出了前周的低迷態勢。在埃隆馬斯克等一眾硅谷新興勢力的瘋狂安利下,比特幣開啟了反彈向上的趨勢,自32200美元持續回升,最高觸及41000美元,隨后在周末回落至37400美.
1900/1/1 0:00:00