BTC/HKD+1.97%
ETH/HKD+1.86%
LTC/HKD+1.09%
ADA/HKD+3.46%
SOL/HKD+1.69%
XRP/HKD+1.34%背景介紹
自2018年以來,Vitalik一直主張二次方融資作為一種在去中心化的、自組織的生態系統中生成最優公共產品供應的方法。QF面臨的最具挑戰性的問題之一是共謀。例如,一個參與者或一組協調的參與者可能控制多個地址或共謀“游戲系統”,并在QF中提取不合理的補貼。
自2019年以來,GitcoinGrants已經運行了多輪的QF。GitcoinGrants使用了一種創新的方法:雙界協調補貼。然而,Zoudavid認為Buterin中的不協調系數的說明不是很直觀,也不太令人信服。此外,Buterin中的可調整參數主要用于約束任何一對投資者的可提取價值,但在調整他們之間的共謀方面做得不夠。在《關于改善配對協調補貼的提議》一文中,Zoudavid提出了一種新的方法來改進具有豐富經濟意義的配對協調補貼。
不協調系數的一種新規范
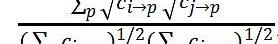
采用Buterin(2019)的符號,Zoudavid提出了一種新的不協調系數的規范:

其中

是向量i和j的不協調系數,

以及

表示投資者i和j對項目p的投資,

是所有項目的總和。不協調系數衡量的是衡量的是一對投資者在作出投資決策時的獨立性。有兩種視角來理解等式的經濟含義。
一種視角是,考慮兩個向量

以及

,其中p表示項目的總數。
令

以太坊研究員Anton Wahrst?tter提出了一項關于ERC-721擴展的新提案:金色財經報道,受Vitalik Buterin的不可轉讓Soulbound代幣理念的啟發,以太坊研究員Anton Wahrst?tter提出了一項關于ERC-721擴展的新提案,該提案將實施“隱形”地址以掩蓋涉及NFT的公共區塊鏈交易。
為了ERC-721代幣(以太坊當前的 NFT 代幣標準)實施隱身地址,?Wahrst?tter建議使用一種以隱私為中心的加密技術,稱為zk-SNARKs。[2022/8/9 12:13:31]
表示向量的模:

令

表示兩個向量的內積,

令

表示兩個向量之間的角度,則有,

如果這兩個向量是正交的(如,

),那么

并且

從(1)-(4),很容易可以看出,

對于(5)來說,先考慮兩種比較極端的案例。
案例#1:對于每一個p,

MakerDAO發起關于添加NS-DROP為抵押品類型的治理投票:據官方博客消息,1月25日,MakerDAO發起關于添加NS-DROP作為Maker協議中的抵押品類型的治理投票,該投票從北京時間1月26日12:00開始,將持續三天。[2021/1/26 13:30:02]
,這意味著和沒有共有的投資,這就符合

和

。在這個例子中,

,意味著i和j有最大的不協調性。
案例#2:如果存在一個

使得對于每一個p,有

,這意味著i和j做了同樣的投資決策。盡管他們可能有不同的投資金額,但有相同的資產配置決策的百分比。這符合

的情況。在這種情況下,

,也就是和有最大的協調性。
其他的例子都落在案例#1和#2之間:

在0和

之間,

小于1。因此,

聲音 | Euro Pacific Capital CEO反駁Tom Lee關于比特幣搜索流量的觀點:Fundstrat Global Advisers聯合創始人Tom Lee近期發推稱,比特幣最近的回調是健康的,比特幣的搜索流量較低是一個好跡象,意味著比特幣的崛起并沒有伴隨著大規模的炒作。 對此,Euro Pacific Capital首席執行官Peter Schiff表示,“根據你的說法,每一個跡象都是看漲的。如果搜索量上升,你會說這是一個好的跡象。較少的搜索表明新買家很少。現有的投機者正在加緊押注,其中許多人利用杠桿手段,推高了價格。但如果沒有新的買家,價格將會暴跌。”(CryptoGlobe)[2019/7/17]
在0到1之間。

越大,不協調性越大。
另外一種視角是從概率論的角度理解

的含義。在事前,每個投資者的投資決定都是一個隨機變量。因此,向量

分別是i和j的事后現實的投資決策。在等式(1)中,

只是對他們的投資決策之間的相關系數進行了抽樣估計。協調系數越大,不協調系數就越小。
不協調系數調整后的補貼
對于項目p來說,在協調調整過i和j的補貼是

當

或者說i和j是完美協調時,這個補貼為0。
從等式(6),Zoudavid定義了i和j從所有項目中提取的不協調系數調整后的補貼為

值得指出的是,要用(1)估計

政策 | 長沙政府發布《關于加快區塊鏈產業發展的意見》:據長沙晚報消息,長沙市政府辦公廳日前發布《關于加快區塊鏈產業發展的意見》,未來三年,長沙將加強核心技術攻關、推進典型示范應用、構建產業發展生態、提升風險防控能力,匯聚一批區塊鏈企業、集聚一批區塊鏈專業人才、打造一批創新研發平臺、突破一批區塊鏈關鍵技術、培育一批基于區塊鏈的新興業態,打造全國有影響力的區塊鏈產業集聚地和示范應用基地。[2018/12/20]
,可以使用前幾輪二次方融資的樣本數據,而不僅僅是本輪。這樣,可以使不協調系數的估計更穩健,并減少對當前樣本量的限制。
對配對邊界的調整
假設對于任何一對投資者從所有項目中提取的總補貼引入一個上限。設B是普遍適用的上限。B類似于Buterin中的可調整參數。
給

加上上限B:與Buterin相似,Zoudavid使用了下面的公式:

顯然,

。同樣與Buterin類似T,如果存在總補貼的特定水平,需要在滿足下列約束的情況下求解出B:

用數值方法不難求出等式(9)的解。
與現有方法相比
考慮一種情況:i和j做出了同樣的投資決策(如,存在一個

使得對于每一個p,有

)。用Zoudavid的方法,他們將不會得到任何補貼。但用目前的方法,他們可以獲得大量的補貼,只是被可調整的參數所縮減。
用Buterin中描述的景象舉例。假設k個經過協調的代理人都向一個項目貢獻了一筆很大數額的資金w。由于他們是完美協調的,用Zoudavid的方法他們可以提取的資金是0。然而,用現存的方法他們可以提取的資金是
公告 | OKCoin國際站關于Epay充值渠道維護公告:據okcoin官網消息,OKCoin將于2018年11月5日 18:00(UTC+8)開始暫停Epay充值渠道(包括銀行轉賬和Epay賬號轉賬),提現功能保持不變。暫停期間,我們將對Epay充值渠道進行維護,Epay重新開通的具體時間請關注后續通知。[2018/11/5]

,其中M是可調整的參數。
Vitalik建議了這樣一種情況:假設有兩個贈款者A和B和三個項目A,B和C,其中有相同字母的捐贈者和項目對是相互串通的。現在假設A捐贈了X?0X,以及B捐贈了0?X?X。
在這個例子中,

。如果使用過去幾輪二次方融資的數據,

可能會有不同的估計,而且可能會更準確。
不協調系數調整后的補貼是

,這正好是當前方法的一半水平。在把上界納入考慮之后,總的補貼是。用當前方法,總的補貼是

。
從上面的例子中可以清楚地看到,在當前的方法中,沒有對不協調的調整,只有對邊界的調整。
針對該方法的多方觀點
優勢
Vbuterin認為該提議是非常有趣的洞見,其有趣之處在于用點積來直接估計多個協調者之間的不相關關系。
存在的不足
一方面,Vbuterin認為,本質上來說,任何一個代理人A總是可以通過簡單地創建一個項目并對他自己和代理人B進行一筆大金額的捐贈來提高他和B的不協調系數。如果每一個A都創建一個項目

,那么其點積就不會受到任何影響。因為不會有其他的人向

捐贈,但這會增加他們的

價值到無限大,使得分式為0并且對于所有的j
來說

。
Vbuterin提出了約束的相關系數,其屬性是,兩個參與者向同一個項目捐贈會增加他們的相關分數,但兩個參與者向不同的項目捐贈不會減少他們的相關分數。他認為如果Zoudavid想有一個系統,其中兩個參與者捐贈給不同的項目將減少他們的相關分數,那么需要以某種方式擊敗發送至自身的攻擊。
而Zoudavid有針對性地提出,發送至自身的攻擊并不會帶來很大的問題。并給出了三點理由。
首先,自發送攻擊代價高昂,因為攻擊者需要在他的“假”項目中鎖定大量資金。而與此同時,其回報將是有限的。假設攻擊者創建了一個只有他投資而沒有其他投資者投資的項目。的確,通過增加對這個項目的投資,他可以增加對他和其他投資者之間相關性的估計。然而,他可以從他的“假”項目中提取的補貼仍然是0。對于其他項目,由于攻擊而增加的補貼應該是非常有限的,而且這種增加不能被攻擊者獨享。
其次,在計算不協調系數時,可以簡單地排除任何只有一個投資者的項目。例如可以認為這些項目融資失敗,沒有資格獲得QF補貼。在法幣眾籌中,通常有一個門檻機制:任何一個項目在一定時間內無法獲得足夠的支持或資金承諾將被認為是失敗的,之后任何資金承諾將被返還。Zoudavid認為QF可以納入類似的機制。
最后,可以利用前幾輪QF的數據來估計不協調系數,使其估計受單個數據點的影響更小。
另一方面,PeterWatts察覺到協調懲罰似乎依賴于一個假設:誠實的用戶會將資金分散到多個項目中,完美地反映出他們的偏好。而實際上,他懷疑許多用戶會因為方便或強烈的偏好而只投資一小部分。因此,真正的公共產品將會有很多高度相關的資助者,而得不到足夠的補貼。
進一步探討
Vbuterin提出了一個方法,就是將重點再移開一步,不關注項目本身,而是關注向同一項目捐贈的一對捐贈者,并提出用3條規則來判斷:
1.如果代理人i和j都向項目p捐贈那么他們是更加相關的;
2.如果代理人i和j都向項目p和q捐贈,而存在某個代理人k也是都捐贈了p和q,那么i和j是更加相關的;
3.如果代理人i和j都向項目p和q捐贈,而存在某個代理人k只捐贈了p或者q中的一個,那么i和j的相關性變弱。
規則將在所有代理中進行匯總,因此,捐贈給你自己的項目比捐贈給其他100人也捐贈的項目所帶來的不相關要少得多。
Vbuterin提出用更復雜的矩陣乘法的使用來描述這個問題。如果M是一個矩陣,將個人貢獻的平方值映射到項目上,那么

會給出個人之間的原始相關性,然后可以做一些其他的事情來計算出高階測量,但是這個方法需要進一步考慮。
針對Vbuterin“高階相關測度”的建議,Zoudavid做了一些初步的研究。基本上,除了不同投資者之間的相關性,還應該考慮不同項目之間的相關性。就像協調的投資者傾向于做出相似的投資決策一樣,相關的項目也傾向于吸引相似的投資者群體。在利用投資數據估計投資者之間的相關性時,應該意識到項目之間的相互依賴性。對于此,Zoudavid提出奇異值分解是研究這一問題的合適工具。然而,該解決方案可能過于復雜,難以與投資者社區溝通。此外,解決方案可能容易過擬合。
PeterWatts認為當試圖減少欺詐時,最重要的是不要失去CLR的核心租戶。在完全基于協調懲罰的局部最大值確定之前,可能還有更多的機制可以探索,要么補充協調懲罰,要么取代它們。衡量成功的標準不應僅僅是減少欺詐的程度,還應是資金分配到真正的公共產品的程度。針對這個問題,他提出了幾個想法:
負的偏好
對于每個用戶來說,項目實際上可以分為三類:
A)我愿意資助的項目
B)我沒有資助的項目,但不介意他們是否得到補貼
C)我不想要補貼的項目
目前,還沒有辦法區分B和C。也許UI可以允許用戶對某些項目投反對票,這些信息會影響補貼。其反對票只會影響沒有資助的項目之間的補貼分配。因此,否決所有其他項目就相當于否決零。而這源于這樣一個現實,即用戶不會為每一個能讓他們受益的項目提供資金。公共產品的本質是,它們中的許多人都喜歡給予小的、間接的好處,因此更容易識別那些明顯是欺詐性的或不可能以任何方式使之受益的項目。
給一些獨特貢獻者更高的權重
大多數攻擊通過貢獻大量的資源來利用執行超額影響的能力。這是因為在一個抗盜版的系統中,它比捐助者更容易積累資金。因此,降低“假”項目有效性的一個簡單方法是,為有更多貢獻者的項目提供更高的補貼。這限制了強烈偏好的影響,但值得權衡。
一個極端是,有CLR,它允許強烈的偏好,但很容易被共謀。另一個極端是,可以根據一個項目收到的獨特貢獻者的數量來劃分補貼。PeterWatts的想法是用一個系數來選擇這個光譜上的最佳點。
結論
為解決在去中心化自治組織中最優公共產品供應的方法中存在的共謀問題,在Buterin提出了配對協調補貼的基礎上,Zoudavid提出了一種新的方法對這一具有豐富經濟意義的配對協調補貼進行了調整和改進,他提出了一種新的不協調系數的規范,并對配對邊界進行了調整,使得估計結果更加穩健。其與當前現有的方法相比,在對不協調進行調整之外,還對邊界進行了調整,使得補貼更為嚴格。該方法用點積來直接估計多個協調者之間的不相關關系,是一個突出亮點,但也同時存在潛在的應對發送至自身的供給的問題,以及真正的利益相關者得不到足夠補貼的問題。針對這一方法,還有很多值得探討和進一步深入挖掘的方向,包括“高階相關測度”和懲罰協調的機制等。
參考文獻
Buterin,Vitalik,Zo?Hitzig,andE.GlenWeyl,2018,“LiberalRadicalism:AFlexibleDesignforPhilanthropicMatchingFunds”.URL:https://papers.ssrn.com/sol3/papers.cfm?abstract_id=32436561
Buterin,Vitalik,2019b,“PairwiseCoordinationSubsidies:ANewQuadraticFundingDesign”.URL:Pairwisecoordinationsubsidies:anewquadraticfundingdesign
原文作者:?Zoudavid?
討論者:Vitalik、Vbuterin、PeterWatts
貢獻者:?Demo,DAOctor@DAOrayaki
原文:AProposaltoImprovePairwiseCoordinationSubsidies
據報道,全球管理資產百大銀行中,有一半以上是基于加密貨幣和區塊鏈技術的主要公司和項目的投資者。據報道,全球銀行業巨頭正在通過為該行業的項目和企業提供早期和后期資金的方式,加大對新興加密貨幣和區塊.
1900/1/1 0:00:00風險提示:本篇內容僅結合當下DeFi市場熱度、應用場景、數據指標等進行宏觀判斷,予以分享推薦,并無任何DAPP背書離場、投資指導意見等,市場有風險,參與需謹慎,風險自擔.
1900/1/1 0:00:00當地時間8月17日,美聯儲主席鮑威爾與全美教師和學生進行線上市政廳會議。他在會議上表示,目前尚不清楚德爾塔株的蔓延是否會對美國經濟產生顯著影響.
1900/1/1 0:00:00“波卡知識圖譜”是我們針對波卡從零到一的入門級文章,我們嘗試從波卡最基礎的部分講起,為大家提供全方位了解波卡的內容,當然這是一項巨大的工程,也充滿了挑戰.
1900/1/1 0:00:00半可替代代幣是什么? SFT是一種新的代幣集合,在其生命周期中是可替代的,也可以是不可替代的。首先,SFT表現得像正常的可替代代幣,因為它們可以與其他的SFT進行同類交換.
1900/1/1 0:00:00NFT的熱度已經炸了。 23日,Visa宣布以15萬美元購入一枚CryptoPunk,由此引發搶購熱潮,23日CryptoPunks成交額27821ETH,約合9222萬美元.
1900/1/1 0:00:00