BTC/HKD-1.97%
ETH/HKD-1.29%
LTC/HKD-0.83%
ADA/HKD-1.36%
SOL/HKD-0.23%
XRP/HKD+0.89%撰寫:KristofLommers
編譯:深潮TechFlow
在這篇文章中,我們討論了去中心化自治組織的估值框架。盡管我們是基于公司金融的概念框架,但我們引入了DAO原生估值概念。
*注:擬議的DAO估值框架是初步的,因為我們剛剛了解到DAO的特異性以及市場參與者如何評價它們。
與DAO背后的開發公司相比,DAO代幣的估值是一個獨立的估值框架。估值框架將使社區能夠衡量DAO在為代幣利益相關者創造價值方面的表現,并有助于對DAO背后的開發團隊引入更多的責任。
本文重點關注DAO代幣的估值,以及在估值工作中可能要考慮的各種代幣的具體因素。
首先,我們需要正確定義我們的定價。在本文中,我們將DAO視為在智能合約上自主運行并由利益相關者社區管理的組織。許多協議都采用了公司-DAO的雙重結構,公司作為DAO的開發公司和底層協議的運營商。協議背后的公司往往是在DAO之前創建的,并保持對相關知識產權和資產的所有權。例如,Uniswap可以被看作是一個擁有治理令牌的DAO,其開發工作由UniswapLabs公司負責。
Web3利用代幣經濟學來實現股權和代幣的激勵,以創造出適當的去中心化。代幣也被用來作為冷啟動問題的部分解決方案,其中代幣激勵被用來獎勵用戶適當的用戶行為。從根本上說,代幣的價值是通過社區成員資格、代幣在生態系統中的效用以及附帶的治理權來體現的。DAO創造的價值通常不是為了在代幣持有人之間分配產生的價值,而是為了提供效用和治理參與。
在不涉及關于證券的情況下DAO一直很謹慎,不直接向代幣持有人分配價值,因為這有可能導致代幣被歸為證券。
DAO創造的價值可以通過各種渠道間接流向代幣持有者。例如,人們可以重視質押的價值、社區的利益、會員資格和DAO的總體增長。根據具體情況,人們也可以像一些協議那樣,將價值直接分配給代幣持有人。
估值方法
首先,沒有通用的估值方法,一個DAO可以涵蓋眾多不同的概念。例如,Hennekes將DAO分為八類:協議DAO、贈款DAO、慈善DAO、社會DAO、收藏DAO、風險DAO、媒體DAO和子DAO。
FriendWithBenefitsDAO是一種基于社區的努力,其大量價值來自社會資本,而OrangeDAO是一種集體風險投資的努力。
Paxos發布加密寒冬如何幫助拯救數字資產經濟白皮書:金色財經報道,數字資產公司Paxos發布《加密貨幣冬天如何幫助拯救數字資產經濟》白皮書。白皮書匯集了Paxos領導團隊和加密貨幣市場數據提供商Kaiko的內部人士的見解,《加密貨幣之冬如何幫助拯救數字資產經濟》提供了對2022年底和2023年初歷史性破壞后的加密貨幣行業的看法。
為了對數字資產領域在這一動蕩時期的過去、現在和未來提供一個全面的看法,《加密貨幣之冬如何幫助拯救數字資產經濟》深入探討了2022年加密貨幣之冬之前的幾年,FTX和Alameda Research的高調崩潰所帶來的影響,以及由此造成的2.1萬億美元的市值損失。該白皮書還研究了一些關鍵的前瞻性話題,如監管環境、加密貨幣行業的運營路徑、該行業如何與消費者、風險投資公司、機構投資者重新建立信任等。[2023/4/12 14:00:08]
因此,每個DAO都需要一個針對其類別的估值方法,不同因素的重要性將根據DAO的類別而有所不同。
然而,我們可以提供一個思考估值的一般框架,只要做出適當的調整,就可以大致適用于不同的DAO。
我們認為,DAO代幣的估值主要有基本面估值或可比分析法。
在基本面估值方法中,人們嘗試根據與持有代幣的效用和預期的代幣價值有關的基本面來評價DAO代幣。
在投資可比性方法中,人們試圖根據各種指標來比較DAO代幣。
顧名思義,基本面估值方法更符合試圖根據基本面給代幣定價,而可比方法是一種更符合市場的估值方法。
基本估值模型
人們可以用以下方式思考DAO代幣的基本估值模型。

估值既是一門藝術,也是一門科學,許多子組件需要酌情估計和假設。
A)折扣系數
貼現率可以通過加權平均資本成本來估計,WACC是通過取其資金來源的加權平均貼現率來計算的。這些資金來源可以包括債務或股權。WACC的計算方法如下:

其中D代表DAO的債務價值,T代表DAO的代幣總價值。
美聯儲威廉姆斯:加息的時機和速度將取決于通貨膨脹和經濟如何發展:美聯儲威廉姆斯:加息的時機和速度將取決于通貨膨脹和經濟如何發展。美聯儲在看到勞動力市場大幅改善和高通脹后,采取加息和取消寬松政策是有道理的。 (金十)[2022/1/15 8:50:19]
對于債務成本,人們應該簡單地采取債務收費利率的價值加權平均值。然而,在大多數情況下,DAO的資金結構中沒有杠桿,這意味著WACC基本上等于代幣資本的成本。
我們可以通過在DAO原生因子模型框架內計算預期收益來估計代幣資本的成本。文獻表明,加密貨幣市場是一個獨立的資產類別,有自己的特異運動,與其他宏觀資產類別的相關性有限。然而,與股票的相關性相對較強且不斷增加,更具體地說,是與科技股票市場的相關性。特別是對于DAO代幣來說,因為這些代幣可以被看作是Web3組織的利益相關者。
可以借用股票中資產定價的概念,然而,鑒于這種資產類別的特殊性,需要一種DAO原生的模型方法。因素模型在股票市場上很流行,用于估計預期收益和估計貼現率。
以前的研究表明,三因素模型捕捉了加密貨幣中很大一部分的系統性回報。從Botte和Nigro的主成分分析中可以看出,前三個因素占據了大約70%的聯動性,這與股票中的三因素模型基本一致。
我們看到加密貨幣市場發生了變化,從代幣回報與比特幣密切相關,到代幣與比特幣的關聯度越來越低。因此,在加密貨幣市場內有更多的特異性風險-回報,人們可以認為DAO代幣與DAO代幣市場部分的相關性更高,并且在中長期內與加密市場的相關性通常較低。
在有足夠歷史的交易DAO代幣,我們可以使用因素模型來估計預期收益。在沒有交易的代幣的情況下,我們可以使用一組可比較的DAO代幣,并校正相關因素,如規模和非流動性。
**因素模型分兩步構建:**首先構建因素回報,其次對DAO代幣的因子回報進行回歸。因素回報被估計為多空投資組合的回報,這些投資組合每月重新平衡并根據價值加權計算。
然而,JiasunLi和GuanxiYi發現加密貨幣中的多頭因素具有更大的意義。多頭更重要可能是由于在加密貨幣中做空的成本相對較高,造成的下行壓力較小。
因素研究的一個標準做法是對投資組合進行價值加權,然而,在加密貨幣中,某些代幣在市值方面往往存在很大的優勢,這將使價值加權的結構向少數代幣傾斜。因此,我們建議使用對數價值加權方案,以確認頂級代幣的市值,但不要使投資組合過于偏向少數選定的代幣。此外,因素應該在沒有幸存者偏差的數據上估計,并包括失敗的DAO項目。
李禮輝:如何進行必要的數字金融制度建設等問題值得關注:12月31日,由清華大學經濟管理學院數字金融資產研究中心主辦的“數字金融:創新、發展與監管”高端研討會中,中國銀行原行長李禮輝表示,如何能滿足適用于我國規模化可靠應用的需求、如何進行必要的數字金融制度的建設、負責數字人民幣技術架構的研發、維護、運行等方面工作的機構體制如何設立及如何探索我國主導的全球化數字貨幣的可行路徑是值得關注的重要問題。[2021/1/4 16:22:26]
我們建議將DAO市場、生態系統、規模、價值、流動性和動量作為DAO因素模型的因子。這是一個傳統的5因素模型,并輔以區塊鏈生態系統因素。
市場因素反映了廣泛的加密貨幣市場風險,并被計算為DAO代幣領域的平均回報。
生態系統因素反映了與DAO所在的L1生態系統代幣的系統相關性。人們可以認為,DAO代幣的存在與它所處的生態系統有著根本的聯系。例如,以太坊上的DAO依靠以太坊網絡來執行智能合約,并將在ERC-20框架內擁有代幣。
規模因子反映了規模風險,為了計算做多小型DAO代幣而做空大型DAO代幣的投資組合的回報。傳統意義上的價值因子在DAO中很難定義。人們可以根據本文可比性部分討論的一些指標來構建價值因子,因為這些指標代表了基于金融和商業變量的價值衡量。
流動性因子反映了流動性風險,通常為了計算投資組合的回報,該組合在低流動性的DAO代幣上做多,而在高流動性的DAO代幣上做空。可以使用各種流動性衡量指標,如交易量、買賣價差或Amihud非流動性措施。
動量因子反映了動量或趨勢風險,計算為做多表現最好的DAO代幣而做空表現最差的DAO代幣的投資組合的回報。
最后,DAO代幣對因素收益的回歸按照以下等式定義:

其中Rt代表DAO代幣的回報,RFt代表無風險利率或資金利率回報,代表DAO代幣的阿爾法回報,i代表DAO代幣對因子i的風險,Fi,t代表因子i的回報。
“無風險”融資利率反映了流動性成本。例如,以太坊生態系統內的流動性是通過ETH處理的,其中ETH的質押回報可以被視為基本資金利率。估計的貝塔系數可以用來計算適當的預期收益和貼現率。
幣情觀察室 | 全球經濟蕭條 如何抓住幣圈投資機會:4月2日10:00,金色盤面邀請行情大V幣業生做客金色財經《幣情觀察室》直播間,將分享《全球經濟蕭條 如何抓住幣圈投資機會》,敬請關注,掃描下圖二維碼即可觀看。[2020/4/2]
B)未來代幣流的估值
最普遍的基本估值模型之一是貼現現金流模型,該模型基于實體未來現金流的貼現估值。使用類似的思路,人們可以考慮對代幣流進行貼現,在這里可以計算出DAO的自由現金流。DCF模型使用三個主要部分:現金流、貼現率和對未來預期現金流的假設。在DAO的情況下,我們可以引入自由代幣流一詞,它包括DAO產生的真正的代幣流動性,可以使用凈收入、資產折舊、工作代幣流動性的變化和系統代幣支出進行計算。更具體地說,自由代幣流可以計算為:

凈收入、資產折舊、周轉資金流動性和資本支出可以按照傳統會計和公司財務慣例來定義。
*注意:DAO會計領域還很早期--參見Lommers,Ghanchi,Ngo,Song,andXu(2022),他們討論了DAO會計,并且可以根據加密貨幣會計和DAO的特殊性進行各種方法學調整。
折現的代幣流量可以計算為:

其中FTFt代表第t年的自由代幣流量,rt代表第t年的折現系數,TV代表最終價值。
人們也可以假設DAO會隨著其細分市場的發展而增長,并使用該增長率來估計未來的自由代幣流量。
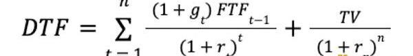
麥肯錫最近的一份報告主張用現金流折現模型來評估科技初創公司的價值。他們建議分析初創公司所針對的細分市場的預期長期發展,并以此為基礎進行倒推。DTF計算變為:

其中FTFt代表t年的自由代幣流量,rt代表t年的貼現率,gt代表t年的增長率,TV代表最終價值。模型中的一個主要假設包括未來的增長率,但這可以通過情景分析來處理。
聲音 | 羅玫:金融機構非常重視如何對加密貨幣進行計量:據數字金融資產研究中心微信公眾號消息,清華經管數字金融資產研究中心主任羅玫稱如何對加密數字貨幣進行計量是國際國內證券監管機構、稅務和會計準則制定機構都非常重視的領域,國際會計準則和美國GAAP都沒有對加密數字貨幣的會計計量和確認制定單獨準則。建立新的財務報告規范需要會計準則制定委員會的參與,也需要和正在經歷變化的加密數字貨幣的證券規范、以及稅務規范同時融合更新。[2018/11/27]
這種代幣流可以直接和間接地累積到代幣持有人身上。例如回購和燃燒機制。擴大代幣持有人的價值,直接分配等。
C)DAO效益的價值
DAO中的代幣所有權可以帶來各種好處,包括成為社區的一部分、某些成員權利、治理權利等。DAO中沒有一刀切的做法,各種DAO可以通過DAO目前啟用的一系列可用選項提供不同的好處。Agarwal認為,社區本身就很有價值,因為它們允許建立基于社區的合作倡議,利用共同的資源,分享知識和技能等等。
治理權是持有DAO代幣的另一個常見好處,反映了社區參與決策的程度。為了衡量治理質量,Regner提出了各種措施,如提案數量、提案門檻、提案接受度、投票參與度等。最近社區內一直在討論治理權是否對代幣價值有影響,Buterin認為治理權不應該對代幣價值有影響。
我們認為,治理權可以根據具體情況來決定:價值是否分配給代幣持有人,社區對DAO運營的參與程度,等等。
DAO的利益可以根據代幣持有量而有所不同。例如,MnemaDAO根據代幣持有量將所提供的利益分成幾個等級,最高等級的利益相對于最低等級的利益要高很多。作為一個大股東,在治理方面有一定的戰略優勢,這可以說是類似于傳統企業融資中的控制權溢價。每個代幣持有人對DAO利益的估價可能不同,所以在這種估價工作中存在著自由裁量的因素。
人們可以嘗試估價所提供收益的近似平均值,這可能是未來研究的一種途徑。
效益的折現值可以計算為:

其中DBt代表第t年的DAO效益價值,rt代表第t年的貼現系數,TV代表第t年后DAO效益的最終價值。
我們也可以假設DAO效益會隨著市場細分而增長,并使用這個增長率來估計未來的效益。在這種情況下,DVB的計算結果是:

其中,DBt表示第t年的效益價值,rt表示第t年的貼現率,gt表示第t年的增長率,TV表示效益的最終價值。模型中的一個主要假設包括未來的增長率,但這可以通過情景分析來處理。
D)預期質押獎勵
大多數有原生代幣的Web3項目允許將代幣用于區塊鏈共識的生成、代幣經濟學激勵或協議開發,而代幣獎勵則由這些持有者獲得。
在金融方面,我們可以把這看作是通過鎖定一定時間的資本來創造被動收入。因此,人們可以計算出以適當的折現率折現的預期質押回報。如前所述,ETH的質押收益可以被視為以太坊生態系統中的流動性成本。因此,人們可以認為,以太坊生態系統內的代幣流動性成本等于ETH質押收益率,并增加了風險溢價。
質押的代價主要包括失去靈活性,因為代幣被鎖定了一段時間:原生代幣的價格波動,項目的失敗,以及潛在的平臺黑客。應該注意的是,在早期階段,為了激勵早期用戶,質押收益率可以相對較高。在這些情況下,質押收益率可能大大高于風險調整后的流動性成本。
可比性
假設DAO代幣的價值與DAO的價值掛鉤,我們可以使用各種相關指標的可比性來評估DAO這個實體。可比分析使用比率或指標來確定估值估計。更重要的是,它使用基于類似競爭對手的估值,因此是一種更符合市場的估值方法。可比分析利用基本會計和商業信息來計算與盈利能力、財務狀況、用戶吸引力等有關的關鍵指標。我們想說的是,需要開發DAO原生的指標來評估這個新范式下的組織。
可比性的DAO可以按類別和規模來定義:
如果在正確的規模和類別方面沒有可比較的DAO,則需要找到最接近的。
如果在同類別中找到了可比較的DAO,但規模相差很大,我們可以估計出一個規模修正。例如,可以估計類別內大型和小型DAO的平均估值差異,并將其作為估值修正。如果可能的話,人們應該嘗試采取各種競爭者并計算出一個估值范圍。
標準可比性包括收入、利潤、EBITDA和利潤率等指標。有許多流行的指標用于Web2公司,其中一些最重要的指標包括每月獨立訪客、跳出率、平均訂單價值、活躍用戶數、客戶轉換率、流失率、每訪客成本和病系數。這些指標可以用來比較公司,從而根據這些指標對其進行相對估值。為了構建相關的可比性,必須將DAO與傳統科技公司區分開來。
正如Hsu所認為的,Web2中的估值傾向于關注客戶獲取和用戶活動。我想說的是,DAO中的相關因素包括去中心化程度、社區參與、協議用戶、協議開發活動、與其他協議的整合、區塊鏈生態系統指標和協議收入。
因此,我們可以為Web3的估值提出以下指標:單一的協議用戶和代幣持有人,收取的協議費用,代幣持有人對治理的參與,協議交易量,代幣交易量和速度,社區互動,國庫支出和增長,協議生態系統的增長,以代幣激勵方式獲取用戶的成本,以及用戶凈現值等等。
可比估值最好通過研究不同的指標來進行,這些指標可能是針對DAO不同的類型。
例如,與社會DAO相比,結構DAO的DeFi協議需要不同的衡量標準。鎖定的總價值被認為是人們在分析DeFi協議時關注的核心指標之一。
例如,MakerDAO提出了未償還風險資產總額、利息收入相關性、凈利息收入、未償還DAI總額、DAI市場份額、DAI鏈上交易量、毛利息收入和開設的金庫。
人們可以比較DAO相對被高估/低估的各個維度,并根據有關維度的相對重要性取一個加權平均值。
估值中與代幣相關的其他考慮因素
由于代幣價格是代幣需求和供應平衡的結果,因此考慮代幣供應的也很重要。
可持續和健全的代幣經濟學成為代幣估值工作的一部分。協議代幣經濟學的組成方式應促進和最佳地激勵生產價值的產生。
由于大多數流通的加密貨幣代表了實用代幣,人們可以認為,代幣價值應該代表持有代幣的效用,并描繪出協議生態系統提供的效用。從根本上說,一個可持續的代幣經濟設計將促進代幣價值和生態系統的效用之間更緊密的聯系。
在比較DAO代幣時,應該對未來的代幣供應進行修正,以便進行適當的逐一比較。例如,與固定的代幣供應相比,"開放"的代幣供應給未來的估值帶來更多的不確定性。
在對代幣進行估值時,必須考慮到代幣的流通速度。生態系統的增長并不一定意味著價格的上漲,因為高速流通的代幣,如果沒有什么動機來持有代幣,那么價格升值就會比較少。Samani提出了一些協議可以降低速度的方法,如引入利潤分享機制,建立質押功能,平衡燒毀和鑄造機制以及游戲化來激勵持有。
大多數DAO代幣都在去中心化交易所上市。因為在中心化交易所上市可能是一個漫長而昂貴的過程。特別是對于非藍籌股的代幣,流動性可能很薄,交易的價格影響很大。這給基于非正常交易活動的價格波動帶來了巨大風險。例如,如果一個區塊持有人將出售他們的頭寸,這可能對代幣價格產生重大的負面影響。與此論點相關的是代幣的分配,其中鯨魚持有者的情況可以被認為會帶來重大風險。然而,在這里,人們應該對協議庫中持有的代幣、交易所池合約中的代幣等進行抽象,因為這些代幣往往更有粘性,或者為了特定的目的匯集在一起。
早期投資者和開發團隊往往有一個歸屬時間表,即代幣不能在指定時間內出售。事實證明,歸屬時間表是代幣價格變動的一致信號,因為投資者傾向于借機獲利。因此,估值應考慮到代幣歸屬時間線,這有可能在短期內造成巨大的價格下行壓力。
國庫內的流動性很重要。正如Regner所說,DAO傾向于在國庫中持有大量自己的代幣。對于國庫業務來說,擁有流動性很重要。如果沒有其他代幣的流動性,國庫就需要出售自己的代幣,造成價格下行壓力。特別是在中小型DAO代幣的情況下,流動性相對稀薄,國庫出售代幣可能會對價格產生很大影響。
為代幣持有人社區提供價值并與之接觸也很重要。一些領先項目的大量效用或治理代幣表現不佳。這主要是因為他們未能為其代幣持有人提供增值服務。這又回到了DAO和企業之間的討論,更重要的是兩者之間的激勵不一致。
如前所述,在許多協議中,協議背后的公司往往是在DAO之前創建的,并保持對相關知識產權和資產的所有權。該協議可以經歷強勁的增長,協議背后的公司經歷了急劇的估值增長,而代幣則停滯不前。協議背后的公司所有者和代幣持有人之間可能存在相對較大的激勵錯位。然而,正如Walden所論證的那樣,協議可以逐步去中心化,他們開始時很集中,然后逐漸變得變得去中心化,這一點可以被考慮在內。
https://mirror.xyz/kristoflommers.eth/koszUqhfZ83GN5_UuxIo7orjSmRB1lBRL24EWMYfJ64
Tags:DAO加密貨幣數字金融WEBmakerdao創始人mushgain加密貨幣交易所排名數字金融欺詐的特點不包括web3.0幣怎么提現到賬號
1.金色觀察|2023年值得關注的6個DeFi敘事流動性質押衍生品正呈現爆炸式增長:LDO漲了114%;RPL漲了89%;SWISE漲了128%;FIS漲了74%;SD漲了165%.
1900/1/1 0:00:00原文標題:《DCGShareholderLetterfromBarrySilbert,Founder&CEO》原文編譯:czgsws&Leo.
1900/1/1 0:00:001.金色觀察|2023八大Web3游戲主題人們如此癡迷游戲的原因是什么?因為游戲能讓我們測試并磨練我們的技能。在具有深度的游戲中這一點尤為明顯,深度游戲提供了豐富的策略、戰略玩法可能性.
1900/1/1 0:00:00原文標題:《盤點2023年Layer2潛力未發幣項目》 原文作者:追風Lab 在廣義的理解中,區塊鏈是比特幣的底層技術,它一共有六層架構:數據層、網絡層、共識層、激勵層、合約層和應用層.
1900/1/1 0:00:002023年新年伊始,各個城市在元宇宙上的角力與較量已悄然展開。在剛結束的各省市兩會中,多個代表和委員提出了元宇宙相關的提案和建議.
1900/1/1 0:00:00原文標題:《一覽DeFi代幣現狀及2023年展望》原文作者:MatasAndrade、KyleWaters去中心化金融是一種快速增長的區塊鏈技術應用,旨在提供金融服務.
1900/1/1 0:00:00