BTC/HKD-5.06%
ETH/HKD-6.41%
LTC/HKD-3.53%
ADA/HKD-5.66%
SOL/HKD-9.53%
XRP/HKD-4.53%作者:Eric|PuzzleVentures(@ericych2)
如果看?下最近3個?的NFT交易量市場流量排名,不難發現Blur的總交易量超過了OpenSea,?乎所有的NFT項?的地板都掛在Blur上。
究竟是什么原因讓Blur如此成功?
它的成功可以持續下去嗎?
本?會帶你詳細剖析?下Blur的前世今?。

NFTGO最近三個?交易市場數據
市場環境
2022年三?底,?條不起眼的融資消息在推特上,Blur融資11M,領投的是?名??的Paradigm,?其他的天使投資?則是?眾NFTKOL,包括Deeze,Zeneca,6529等。公告給出的項?信息不多,他們要做的是:NFT專業交易(pro-trading)。
正值上?輪?市末期最后?波?情,NFT市場也在散發余熱,各種新晉藍籌項?層出不窮,各種新興NFT交易市場也各顯神通。?從looksrare開啟了空投代幣來激勵交易的先河之后,打開了原本的交易市場的新思路。x2y2則是另外?個加?到這場競爭中的,引?了掛單激勵的概念。
此后這些市場的交易量蒸蒸?上,雖然?部份交易量是為了賺取代幣?進?的洗售交易(wash-trading),但是真正的流量卻不可?覷,據統計平均有超過15%-20%流量在OpenSea以外發?。
NFT市場脫離了以OpenSea?家獨?的形勢,?成為了以OpenSea為主導的市場。雖然?今還有許多?只知道Opensea,但是對于degen們來講,哪怕就算是0.1個以太的價格差,他們也不會吃這個虧,所以他們在各?平臺不停切換來獲取NFT的最低報價,在這樣的需求下,聚合?具?然應運??。?
聚合工具的誕生?
NFT聚合器有兩種不同的?戶,他們分別看重兩種不同的功能。
第?種是想要購買某?個NFT,使?聚合器的?的是為了更加便捷得快速瀏覽所有掛單的NFT,最后購買某個喜歡或者定價錯誤的NFT。
另外?種?戶是想?批量的購買某個NFT項?,這樣他就會使?聚合?具,因為如果在單獨的市場上掃地板會很虧,?且在此之前各?交易所還沒有批量購買的功能。(Trader)
知情人士:此前呼吁暫停AI訓練的馬斯克購買1萬塊GPU推進新項目:金色財經報道,兩位知情人士透露,盡管馬斯克簽署公開信,呼吁暫停先進人工智能研究6個月,但推特卻暗中推進新AIGC項目,并為此購買了上萬個GPU。馬斯克的人工智能項目還處于早期階段,項目涉及一個大型語言模型(LLM)。他已從Deep Mind聘請了多位工程師。(BusinessInsider)[2023/4/12 13:58:13]
以Genie為?的?眾聚合器開始展露頭?,Genie上線后就吸引了不少的交易量。但數?之后被Gem所取代,原因是后者的UI/UX更好,信息更新更快,交易失敗率更低。?Genie卻?蹶不起,最后被Uniswap所收購。這說明聚合器?常需要看重使?體驗,因為他們僅僅幫助?戶更便捷得購買NFT,并沒有強?的護城河;如果產品體驗不佳,?戶還不如直接去市場購買,所以更好更快的產品會迅速占領市場。
專業工具的需求
市場上的交易量?部分是由?戶主導的,往往可以套?3/7定律,即70%的交易量在30%的?戶?上,所以這些?戶的需求才是重中之重。?Gem等聚合?具的使?體驗和普通交易市場并沒有多?的區別。他們都是類似于購物類?站的界?,加載速度相對較慢,可以讓?戶很好得瀏覽每個NFT,慢慢決定購買,?不是從事專業交易。
NFT交易員對于信息的及時度,操作的流暢感和專業交易功能是相當看重的,往往可能因為?秒鐘的時間?錯失良機。
在Blur之前,也有?些專業的?具,例如TraitSniper等,但是他們?多是收費的,功能也主要在于項?開圖時秒殺稀有NFT。市場迫切需要?個更強?得聚合?具來整合瀏覽,秒殺和批量購買,減少信息滯后和??加載時間,?且還要免費使?,Blur就這樣誕?了。

市場營銷
從2022年中旬開始,Blur就開始在NFT?戶圈?中傳播,其得益于天使投資?KOL的強?陣容。隨后他們開展了平臺封測,規則很簡單,邀請制。他們從?戶過去?年在OpenSea的交易數據來給?戶打分,?戶還可以通過發送邀請碼給其他?戶,根據新?戶的交易數據賺取積分,分數排名越?,就優先給予測試資格。因為市場是由?戶主導的,所以這些有這些擁有流量的?戶來測試就已經可以代表很?的市場份額。
知情人士:交易平臺Poloniex業務將完全并入Huobi:3月9日消息,據知情人士披露的 Huobi 全員信顯示,加密貨幣交易平臺 Poloniex 多部門將并入 Huobi,包括資產、市場&運營、產品設計、流動性、客服、合規等相關工作的員工將融入 Huobi 團隊。Poloniex Business Center 下設二級部門 Engineering 與 Infrastructure。
此前報道,Justin Sun 于 2022 年 6 月聯合波場聯合儲備收購加密貨幣交易平臺 Poloniex。此后,Justin Sun 于 2022 年 11 月斥資約 10 億美元通過百域資本收購 Huobi 約 60% 股權。[2023/3/10 12:52:53]
Blur從?開始就針對專業?戶來開發,也就是說Blur的各種功能在封測的時候就有?個?概?向了,它不需要多花?思來博取普通散戶的喜好。相反的,像OpenSea這樣的平臺雖然?戶數量很龐?,但是它的交易量也并沒有?Blur多多少。Blur在選擇這條路的同時,節省了很多營銷資源,不需要去和looksrare或者x2y2,gem?樣去做散戶營銷來讓他們使?產品。讓?戶使?Blur的同時,這些KOL會在twitter上間接宣傳Blur,其效果?常顯著。如果產品本?質量?現有的競爭對?要好,散戶們也樂于嘗試。
加入交易市場
對于?個聚合器來講,聚合功能并不能賺錢。因為?旦決定收錢,很多?戶就不會愿意使?這個平臺,他們可以在平臺上獲取NFT的掛單信息,然后繞過平臺在掛單得交易市場上進?直接購買。但如果信息不透明的話,將會很少有?戶來使?,因為他們想要獲得的服務就是信息的聚合。所以聚合器必須要作為?個流量??,通過另外?個產品來獲利。
像Gem和Genie,這?類聚合器最后沒有找到這個收?來源,最終的命運就是被收購。OpenSea為了留住?戶流量,最終也是會把Gem融???的UI。?Uniswap則是通過Genie來實現??雄?勃勃的引?defi?戶購買NFT的計劃當中。從上?可以看出單?的聚合器產品是?不通的,必須要打出組合牌。
?Blur就?然?然得想到了交易市場,它在保證了?戶獲得市場上最優報價的同時,讓?戶可以在同?個平臺?掛單和出價。?在其他平臺中卻做不到這?點,這樣?戶就留在了它的平臺上,獲取了?戶在使?聚合功能得時候順便在平臺上買賣的收?。這?點也讓looksrare和x2y2嫉妒不已,以?于他們也在開發??的聚合?具,x2y2即將推出pro,?looksrare也在基于reservoir開發聚合?具。但是他們的思路和blur是相反的,為了平臺引流?開發聚合。
知情人士:AAX更有可能解散而不是恢復正常運營:12月1日消息,據AAX前通訊主管透露,加密貨幣交易所AAX現在更有可能解散而不是恢復正常運營,“我認為更有可能的情況是,該公司采取一種更合法的披露程序,信息流正在迅速惡化,決策變得更加不透明”。
此前報道,11月21日AAX表示有機會在未來幾周內獲得足夠的資金并恢復正常運營,隨后AAX已刪除官方Youtube頻道及Facebook賬號。(CoinDesk)[2022/12/1 21:14:17]
封閉市場
雖然Blur得API正在開發中,但開發的速度相當緩慢,使得外界?法接?Blur??市場的流動性,這樣就暫時形成了?個只進不出的系統。也就是說Blur可以聚合外部的流動性,但是其他聚合器?法聚合Blur。然??因為Blur占有了很??部分底部流動性,所以使得其他聚合器的競爭?下降,所以它收到了不少對于惡性競爭的猜疑。

可選版稅之爭
?個聚合器如何能做到??市場的流量甚?超過了OpenSea?代幣獎勵、產品運營是其次,最主要的還是因為可選版稅。正因為可選版稅的問題,OpenSea和Blur為此?打出?。
在Blur上線之初,最引?注?的是可選版稅,當然它不是第?個這樣做的項?,早在??底x2y2率先宣布他們?持可選版稅。這引來了很多?的質疑,因為項??的持續收??部分是靠?級市場的版稅。很多?都覺得這對整個NFT系統的?態發展不好,然?這恰恰成為了這些?線交易市場賺取流量的切?點。
NFT版稅是?個在NFT買賣中需要?付給項??的款項,由項????設定,?般在5%-10%左右,但基于標準的ERC-721合約,項??并不能強制征收版稅,完全是靠交易市場??的合約來實現。正因為版稅得?額度使得?戶不情愿?付,所以很多?更愿意選擇這些可選版稅的市場來掛單。那么既然賣家在可選版稅市場會?強制版稅平臺獲得更多的利潤,他們就更愿意以更低的價格在可選版稅市場掛單,這樣就把整個交易市場的地板價格給拉了下來,也就是說像OpenSea這樣的強制版稅的交易市場價格往往?較?,這樣就降低了買家在這類平臺上購買的積極性,于是流量就開始流失。
聲音 | 知情人士:高盛和貝萊德擬與支持區塊鏈的中國四大銀行共建合資企業:據知情人士向財新透露,美國投資管理公司高盛(Gold-man Sachs Group)和貝萊德(BlackRock)正在進行談判,以獲得新成立的中國合資企業的多數股權。據報道,這些合資企業將與中國各大銀行合作,而后者向區塊鏈新項目投入了數十億美元。報道稱,高盛正尋求與中國工商銀行組建一家財富管理合資企業,擬持股51%。據了解,中國工商銀行管理著4萬億美元資產。而貝萊德正在和新加坡的淡馬錫控股公司討論與中國四大國有銀行之一中國建設銀行建立另一家財富管理合資企業的可能性。貝萊德和淡馬錫正尋求在合資企業中獲得60%的股份。對中國基金表現出興趣的美國公司并不止高盛和貝萊德。摩根大通(中國)目前正尋求獲得其總部位于廣東的合資企業的多數股權,并已于2019年11月成為首家獲得中國監管機構批準的華爾街公司。值得注意的是,與此同時,中資銀行正積極推進區塊鏈計劃。中國四大國有商業銀行,包括中國工商銀行和中國建設銀行,都參與了基于區塊鏈的金融服務項目。(The Daily Hodl)[2020/1/22]
其實早在Blur剛出來不久,x2y2就已經意識到了Blur的潛在威脅,因為Blur是零?續費,?同樣作為可選版稅的x2y2卻還有0.5%的?續費。x2y2曾經?度通過限制APIkey的?式來抵制Blur,最后雖然解決了在Blur上購買x2y2NFT的問題,但是?今仍然?法通過Blur在x2y2上掛售NFT。
?對于OpenSea,它流失的交易量遠?x2y2更多,以?于由數周的交易量近乎要被Blur趕上,正值熊市的幣圈?暴,OpenSea終于決定出招了。當時它有兩個選項,第?個是宣布也變成可選版稅,第?則是出臺?個新的強制版稅的?案。但是迫于輿論壓?和就算是第?種OpenSea?額的交易費也?法和Blur的低?續費競爭的緣故,不得不選擇了后者。
OpenSea黑名單
2022年11?,OpenSea發布了“OperatorFilterRegistry”,是?段以?名單的?式來阻隔可選版稅市場的合約代碼,并規定,1?之后所有新的項?必須在可選版稅和強制版權中做出選擇,如果選擇了強制版權必須使?他們的“OperatorFilterRegistry”代碼。?這代碼中攔截的交易市場,不?多說?然有Blur。這條消息的影響?之?不得不使得的?些交易市場妥協,?如x2y2,他們的營銷策略是獲取?尾新項?的流量,所以如果當這些新項?選擇了OpenSea的?名單代碼之后,在x2y2就?法交易了。于是x2y2強制了版權,順理成章得從?名單中剔除。這?名單策略的效果是有?點滯后的,當?家還在歡慶圣誕假期Blur流量創新?的時候,暗流已經開始涌動。
聲音 | 知情人士:委內瑞拉國有石油天然氣公司或擁有大量秘密比特幣儲備:據之前報道,應委內瑞拉國有石油天然氣公司PDVSA的要求,委內瑞拉中央銀行正在進行內部測試,以確定是否可以在其國際儲備中添加加密貨幣,特別是比特幣和以太坊。而據知情人士透露,PDVSA或已擁有大量的的秘密比特幣儲備,因此希望委內瑞拉中央銀行使用所獲得的比特幣和以太坊向公司的供應商付款。而委內瑞拉政府本身可能已經從沒收的挖礦設備中開采出大量加密貨幣。(CCN)[2019/9/27]

2023年期待已久的兩?新NFT項?,打破了寂靜。Memeland的Captainz,和YugaLabs新發?的SewerPass,??例外采?了OpenSea?名單,?把Blur拒之門外。所有的流量都在OpenSea和x2y2,當?創下新?,Blur的流量頓時變成了第三。
于是Blur陷??個怪圈之中,雖然對于已經發?過的?項?,版稅?法強制,所以這些?藍籌的流量仍然會在Blur上,但隨著時間推移,新的項?越來越多,Blur?法通過這些項?來賺取未來的?續費,換句話說它只能吃?本了。
然?天?絕?之路,不久前這些加??名單的項?居然可以在Blur上架了!究竟是為什么呢?原來Blur利?OpenSea??的底層交易協議Seaport開發了?個新的交易市場。這Seaport因為是OpenSea??的協議,所以并沒有被?名單。雖然問題被解決了,但是因為Seaport強制了版稅,所以在Blur上掛單的新NFT仍然需要繳納版稅。不過這已經很不錯了,在Blur仍然有2.5%交易費?的節省,地板?開始出現在了Blur上。雖然優勢不再很?,但?以挽回?局。美中不?的是Blur?法上架這些新項?的出價功能。
受爭議的空投
對于?個新的平臺?什么樣的?法來吸引?戶來使?呢?Blur作為?個Web3Native?Protocol,使??法?然是空投!
?戶只要在Blur上list?個NFT超過14天就可以獲取空投,空投的數量以他們之前在OpenSea交易數據決定。但是空投的卻不是代幣?是神秘的盒?,這些盒?在最后代幣發?的時候可以開啟來獲取代幣。換句話說就是滯后發幣,發給?戶?些鏈下積分。這么?做很多?戶都在批評,以?于剛開始?天很?的交易量并沒有保持很久。不過這?點也是沒有辦法,因為2022Q4的時候市場實在慘淡,整個NFT的市場的價值已經從巔峰時候下降了80%,不如稍微緩?緩把空投分為好?個周期。于是他們就這么做了,?共分成了三個周期。
第?波空投是由在Blur上的掛單和交易量決定的,在11?份發放,但是由于數據統計和售洗交易的原因它發放的時候的箱?數量并不正確,很多?戶只拿到了?常少的箱?,也并沒有按照之前說的第?波空投的量是第?波的10倍,在發放的同時再讓?戶知道這不是最后?波空投,第三波空投以及正真的代幣發?在2023年Q1。這讓社區的批評聲?變多,甚??度很多FUD,最后Blur也不得不低頭,重新把空投的數量調整了變成了第?次空投數量的10倍左右,誰想到這招來了更多的質疑,因為像這樣撒幣,讓?家意識到這些空投的盒?并沒有價值多少錢。?且在未來代幣經濟學不明朗的情況和熊市?環境的影響下,?家第?想到的是拋售空投。很多?覺得這會引起下?波NFT熊市。不過這并沒有影響Blur的交易流量,反?因為第三波空投的條件把Blur推向了巔峰。
這第三波空投的獎勵是基于?戶在Blur交易市場上掛出買單。規則是項?交易量越?,掛單的價格和地板價越接近獲得的空投越多。于是為了空投,很多市場上的閑散資?就開始在blur上出價,?度使得某些藍籌項?的買賣價差趨近于零。?部分藍籌項?的買單的總額甚?超過了所有買單價格的總和!這樣使得Blur上的NFT的流動性達到了?個極點,交易量?然?然得變?了,因為交易的不再只是單純的購買賣單的交易(buylisting),更多的是接受買單的交易(acceptbid)。

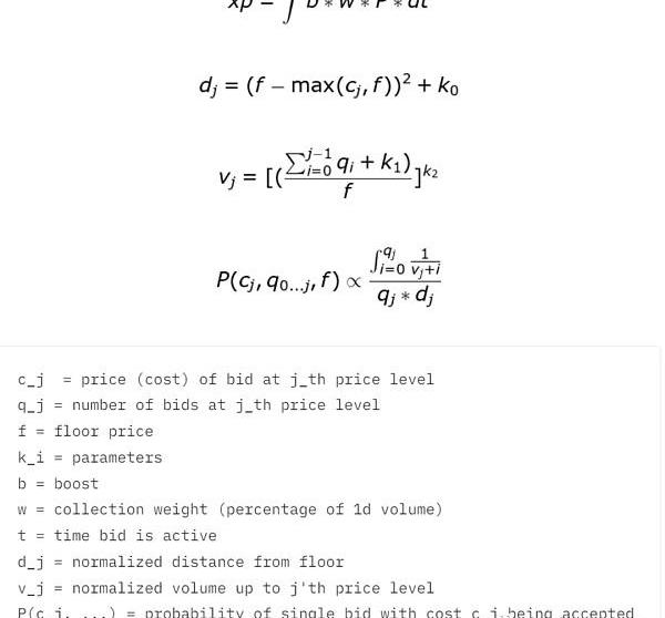
第三波空投獎勵公式
買單代幣經濟學
2?14號將迎來Blur的第三波空投和期待已久的代幣發?。因為空投預期,買單的資?池中已經有將近兩萬五千以太的額度(https://etherscan.io/address/0x0000000000a39bb272e79075ade125fd351887ac)。這其實相當于是?種通過預挖礦的?式來租賃流動性,但它聰明的?點在于,它并沒有公布空投的實際數量,所以讓?家來speculate。在空投之后這些流動性是否還能夠維持下去,則必須要有?個良好的代幣經濟模型才?。

最開始使?代幣經濟學的交易市場是Looksrare,他們引?了NFT交易挖礦和掛賣單挖礦,甚?為了提?買單流動性,設計出了?套離地板價越近,獲得的獎勵也越多的系統,這樣做也是迫不得已,畢竟價格越低才會有買家來購買。然?以獎勵交易的?式會引起洗售交易,最后并沒有給平臺帶來多?的增?,只是相當于持續發幣。Blur?然明?其中的道理,它??率會獎勵掛單為主來吸引真正的實際交易量和市場份額。
尤其是買單,原因是它的低?續費和可選版稅,已經?夠吸引了?家來Blur上掛賣單,所以它不需要過多的獎勵賣?。?其他交易市場并沒有?套成熟的買單激勵機制,使得市場上的交易員們和鯨?更愿意在Blur上掛買單來賺取激勵。在NFT市場上,尤其在?市,?戶接受賣單是遠遠?于買單的,因為NFT有低流動性?險,但是對于?個成熟的市場來講買賣雙?應該是平衡的,如果有?個良好的激勵模型,買單流量的潛?是不可估量的。?前從它得空投模型可以猜出未來可能也是離地板價越接近買單獲得的獎勵越?。
讓我們來量化得分析?下,如果它可以維持每天?萬以太的流量,假設Blur會未來會收取0.4%的?續費。假設它拿出?半的收?0.2%來維持Blurtoken來發放獎勵,那么?年的話可以給出相當于7300以太左右的代幣獎勵,如果它仍然維持?前兩萬五千以太的流動性TVL,那么它的APY將會在30%左右。雖然做市的?險?較?,但是這樣?看,似乎它的流動性在空投后并不會減少太多,畢竟現在還沒有到達?市的流量,并且和代幣本?價格也有關系。代幣發?究竟會如何,讓我們拭?以待。
產品可提升的空間
在代幣發?之后,除了良好的代幣經濟學,Blur同樣也可以在產品上做出改進來穩固??在NFT專業交易領域的?頭。
對于NFT專業交易員們來講,除去更快速的數據更新速度和操作流暢度,他們更喜歡?站式的體驗。Blur在這個??已經做到了讓交易員出了可以在??平臺上買到聚合的NFT掛單,也可以在??的平臺上掛單和出價。但是這?點對于交易員們還遠遠不夠,未來還有很多提升的空間。這邊提到有?個思路:
專業圖表
對于交易員來講,他們不僅需要知道某個項??前的地板價,也需要知道地板價格的變動,就和在中?化交易所看到的K線圖?樣。另外他必須對于市場上?戶的持倉有所了解,這些都離不開分析圖表。?如NFTGO所提供的?些分析就很適合植?Blur。

買單聚合
雖然Blur可以讓?戶在平臺上掛買單,但是它并沒有聚合市場的所有的買單,?如在Blur就?法獲知OpenSea的出價,這樣很有可能?個套利機會就錯過了。Skillet是?個NFT買單聚合平臺,可以讓?戶以更好的價格來清算NFT。Blur同樣也可以加?這??的功能。

專業下單?具
對于專業交易員來講,除了需要批量買賣的功能外,他們需要更加?級的掛單功能,?如像sudoswap那樣的bondingcurve,具有復雜邏輯的買單,或者是可以?動成交的限價單。這些可以參考Tensor的?些功能。

總結
綜上所述,到?前來看,Blur算是?個?較成功的項?。它的?戶體驗良好,吸引了市場上?部分專業交易員使?,并且讓他們養成了?期的交易習慣。通過空投預期來增加流動性的?式,讓它的流量在短時間內超過OpenSea,成為?匹??。
Blur將會在未來很??段時間內作為?個?常重要的NFT交易市場。如果它能解決版稅問題,增加產品功能,在?個好的代幣經濟加持下,將會有進?步的發展。
從去年元宇宙、虛擬數字人和Web3.0的風靡,到今年年初聊天機器人ChatGPT的“出道即爆火”,一場關乎人工智能的狂飆拉開大幕.
1900/1/1 0:00:00金色財經報道,加密礦企StrongholdDigital完成近5500萬美元債務重組協議,將允許該公司將5490萬美元債務的本金償還推遲到2024年6月.
1900/1/1 0:00:00作者:沈浪 元宇宙這把火,從2022繼續燒到了2023。目前來看,資本市場對扎克伯格的元宇宙故事依舊抱以希望.
1900/1/1 0:00:00因對新興技術和資產的投資,ARKInvestment及其創始人CatherineWood的觀點和投資行為在市場上一向引人矚目.
1900/1/1 0:00:002月9日,SEC宣布與加密交易平臺Kraken達成和解,Kraken同意「立即」停止為美國客戶提供鏈上質押服務,并支付3000萬美元罰款以了結SEC對其提供未注冊證券的指控.
1900/1/1 0:00:001、數字貨幣不被承認其合法性年前的時候,有一位數字貨幣的玩家因為平臺出現問題,來咨詢我們想要進行刑事報案以維護自己的權益,但是一路聽下來再加上我的詢問,發現他的維權之路可能沒有那么簡單.
1900/1/1 0:00:00