BTC/HKD-3.37%
ETH/HKD-1.42%
LTC/HKD+0.76%
ADA/HKD-0.24%
SOL/HKD-1.73%
XRP/HKD-5.59%老子曰:“人法地、地法天、天法道、道法自然”。在區塊鏈的實踐中,由于是建立Code is Law的體系,遵循 In Math We Trust 的法則。在一個不受個體控制的網絡,遵循自然的法則尤其重要。我提倡Filecoin的設計從簡、自然。也是這個道理。
自然常數 e,是一個神奇的數,在數學中又極為自然。本文講一講 Filecoin 的共識機制的實現進化與自然常數 e 的關系。
初期預期共識空塊率過高:1/e
預期共識的實現是一個不段發現的過程
tipset區塊數預期提升(至5),安全性和效率的兼顧
讓每一個字節都參與投票:優雅的密碼抽簽 + e
[預警:數學、概率與分布]
e 被成為自然常數,在數學家的眼里,這個常數非常自然。但是,對于普通人而言,對于 e,由于沒有形象化的描述,就很難理解。本文通過 e 在 Filecoin中的應用,希望能夠找到一些點,能夠幫助大家 1)了解Filecoin的一些設計;2)通過 Filecoin 得到一點 e 的形象化的描述和印象。
常見的比較復雜的有意思的數學常數有兩個,一個是 π,一個是 e。大家對π 都非常熟悉,因為它有一個非常形象化的名字,叫圓周率,也就是說是任何一個圓的周長和直徑的比值。非常形象,非常容易理解。小學不學的話,初中總會學到了。
聲音 | 以太坊聯合創始人:加密貨幣是貨幣的自然進化形式:據CCN消息,以太坊聯合創始人Joseph Lubin在其發表的文章中表示,“加密貨幣在很多方面都是先前代表制度的自然演變,盡管這種制度有利于國家認可的權力。”[2018/9/27]
其實 e 是與 π 同等重要的一個數學常數,在數學中的使用一點也不比 π 少。比如就在我們今天所討論的 Filecoin 區塊鏈中,e 在很多地方被使用,而 π 則不然,基本上沒有被用到。
π = 3.1415926535897......
e = 2.718281828459045......
π 和 e 同為超越數,即不是代數數(有理數方程的解),當然也是無理數,無限不循環小數。
但其實,e 和 π 在數學中有非常緊密的關系。甚至可以說,e 就是 π 的另一種表示方法。為什么呢,請看最優雅數學公式 - 歐拉公式:

為什么優雅,這個一個簡單的公式把數學中的5個元素(0, 1, i, π, e)十分簡單地統一在一起了。就像物理學家希望統一力場一樣,數學家也有把總結簡潔規律的偏執。
這個公式也表達了 e 和 π 的簡單直接的關系。當然,他們之間還有一些有意思的關系,比如:
動態 | 世界自然基金會意大利分部現在接受加密貨幣捐款:根據Coinrive消息,世界自然基金會意大利分部加入了AidCoin的AIDChain生態系統,人們可以捐贈23種加密貨幣。世界自然基金會承諾將所有資金用于加密貨幣而不轉換為法定資金,以便捐助者可以追蹤進一步的資金再分配。該組織表示,“認識到利用區塊鏈技術促進各方之間信任的重要性,這些信任過去因明顯缺乏組織責任而遭到破壞”。[2018/8/23]

但是,這些仿佛把事情更加復雜化了,對于 e 本身的理解并沒有幫助。到底 e 是什么呢?數學中會講,e 是自然對數的底,它的一個總要特點就是 e^x 的導數還是 e^x,同時,e 可以通過下式來表達和計算:

稍微形象一點的表達,就是在復利的計算上,e 表達一個在一段時間內翻倍增長的利率,進行極限的連續復利計算能夠達到的極限值。也就是說,如果年利率是100%,你如果無限細分一年到 n 個時間段,那么每個時間段的利率為 1/n,而最終你能得到的連本帶利的收入為 e 倍,也就是2.7倍多一些。
這仍然不夠形象,那么下面映射到 Filecoin 的共識機制來看一看。
任澤平:技術驅動型獨角獸以區塊鏈等高科技為主要推動力,具有自然壟斷特征:恒大集團首席經濟學家任澤平8日發布中國獨角獸報告稱,按創新形態來看,獨角獸主要可以分為平臺生態型和技術驅動型。其中,技術驅動型是以高科技為主要推動力,例如大數據、云計算、人工智能、區塊鏈技術等,代表企業多為高新制造業。這些企業大多夠持續創新且具有自然壟斷特征,重點在于帶來區別化。[2018/4/9]
先來復習一下Filecoin白皮書里面描述的預期共識。在go-filecoin的早期實現中,采用的是簡單的預期共識,也就是說,每一個礦工按照自己的算力與總算力的比來獲得出塊權的概率。因為所有礦工的算力之和等于總算力,所以系統每一輪的總出塊概率的期望值為 1。簡單來說,就是每一輪平均出一個塊,但是,每個礦工獨立計算,因此,每一輪的出塊數可能是各種各樣的。
那么在這種情況下,我們建立一個簡單(也是有效的)模型來進行一個推演。假設系統中的礦工數為 n,每個礦工的算力占比為 1/n,那么,每一輪呢每個礦工的出塊概率為 1/n。
這樣,一輪中出現空塊的概率為:

如果 n 足夠大,那么,可以求得:

金色財經獨家現場報道|丹華資本創始合伙人張首晟:區塊鏈是結合自然科學和社會科學的技術:在硅谷2018全球區塊鏈投資峰會上,張首晟表示:“區塊鏈是結合自然科學和社會科學對技術。”張教授用物理學的角度獨家解讀了區塊鏈技術,他表示所有的東西由電子組成的,電子的之間是沒有共識的,但冰箱貼的南極和北極達成一致,所以才能貼在冰箱上,共識的貨幣的核心價值,貨幣的內部價值是共識。[2018/3/31]
也就是空輪的概率超過三分之一,這個就太高了。
那么出塊數為 1 的概率有多大呢,可以簡單做如下計算:

仍然只有三分之一多一點。剩下的不到三分之一的概率都是多塊的輪次。這個結論與開發網當時的測試是完全吻合的。
從這里,我們找到了一個對于自然常數 e 的一個更形象化的解釋,那就是:在一個有很多人(大數)參與的獨立投票選舉中,每個人的贏得選舉的概率相同,同時預期贏得選舉人數為1的情況下,不能得出選舉結果的概率為 e 的倒數,也就是 1/e。
開發網出現的空塊率過高的情況,我們做了模擬,并與Filecoin研究開發團隊進行了討論。顯然,這么高的空塊輪次比例是不好的,這是的區塊時間不固定,交易時間預測起來也比較困難。
世界自然基金會開發區塊鏈解決方案 提高金槍魚供應鏈透明度:澳大利亞、斐濟和新西蘭的世界自然基金會已經聯合起來,用區塊鏈技術打擊金槍魚捕魚業的非法捕魚和奴隸勞動。通過與美國軟件公司?ConsenSys?和信息通信技術公司TraSeable合作,世界自然基金會得以更好的幫助金槍魚捕撈行為,并使用區塊鏈技術追蹤金槍魚從捕撈到分發至經銷商的全過程。[2018/1/8]
那么,一個簡單的改動是什么呢?那就是增加每一輪的區塊預期數量。因為預期共識本來一輪就可能出現多個區塊,在實現中采用tipset的方式進行組合,那么增加區塊的預期數量,對于設計實現而言非常簡單。
在測試網之前,Filecoin實現引入了預期每輪區塊數這個概念,這個被定義為 E (ExpectedBlocksPerEpoch)。當前默認:E = 5
既然,預期區塊數提高了,最簡單的方法就是把每個礦工的出塊概率提高5倍。但是,礦工出塊的計算采用擲骰子的方式。也就是產生一個 256 位空間中的一個數,來比較自己的算力占比,從而判斷是否擁有出塊權。這里就有一個數據越界的問題。Filecoin的實現在這個判斷上走過三個階段:
階段一:每個礦工按照自己的算力再進行切分,分別按照更小的份額進行選舉,如果贏得選舉就獲得一票。相同默認算力都按照每 25 個 sector來進行統一切分(剩余部分單獨算)。這個辦法的好處是每一個選舉人算力都基本一樣,進行公平選舉。但是,由于每25個sector都要進行單獨計算,每一個部分都需要I/O訪問,時間消耗較大。Filecoin團隊的最初目的是把這個出塊權和時空證明放在一起。但是,最后從安全的角度來考慮,由于計算相對復雜,還是放棄了。
階段二:直接極致簡化,不考慮越界的問題,直接乘以5進行比較計算。這個是在時空證明已經通過WindowedPoSt替代 SurprisedPoSt的情況下的一個簡化措施。但是,這樣做有兩個問題:1)對于算力大于 20% 的礦工肯定是吃虧的;2)當礦工算力足夠大時,一定能夠贏得選舉。這第二個問題比較嚴重。我們慎重提出,這是一個安全問題,應該改。
階段三:采用密碼抽簽的方式,借鑒Algorand采用的算法。逐漸走向完善。
Algorand的密碼抽簽是一個非常好的概率分布在選舉上的應用,對于區塊鏈POS網絡而言,非常棒。實現起來比較簡單直接。其具體算法如下:

這里不做詳細解釋,需要的人可以查詢相關資料。簡單地說,就是在POS選舉過程中,當你憑借自己產生的可驗證隨機數進行抽簽的時候,可以通過你自己的份額和相應二項式分布來看你落在哪一個區間,從而判斷你獲得了多少選票。
二項式分布是 n 個相同概率的獨立時間單獨計算而后相加的一個分布,而且整個分布正好切分整個概率空間。因此只需要看你的可驗證隨機數在那個空間就可以了(這個部分比較難說清楚,有意者線下探討)。
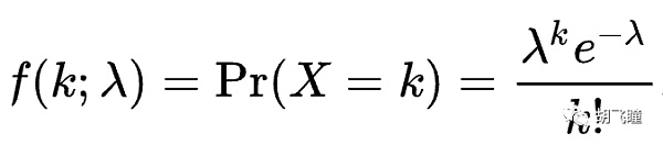
那么對于Filecoin而言,參與選舉的份額就是你的算力。如果按照前文中說的階段二的方式,可以再進行細分,那么可以考慮為每一個字節都參與投票。這樣一來,參與投票的選舉人數量非常大,整個計算不用采用二項式分布,完全可以采用泊松分布來進行計算。泊松分布的計算公式如下:

這里 λ 是自己的份額與預期總選舉票數的乘積。在Filecoin中,它就是
E * mPow/totPow;k 是獲得選舉權的數量。
看一下上式,是不是很神奇?自然常數 e 再一次用到了 Filecoin 的選舉的計算之中。采用泊松分布進行計算是 Filecoin 的一個改進,非常符合Filecoin的特點,同時計算也非常簡單。
采用密碼抽簽之后,就不能保證每一輪都一定會有礦工拿到出塊權了,這很正常,因為每個人都自己擲骰子,出塊權的計算是獨立的。這樣的話,實際上每一輪贏得不同的出塊選票的概率有多大呢?簡單做一個模擬可以得出下表:

這里空輪的概率是 e^-5。
也就是說,預期大約不到200個高度就會出現一個空輪。看起來還好。而每輪選票數為 3,4,5,6,7分布較多也比較均勻。選票數高達15張的情況也不少,大概萬分之1.6。
看到這里(如果你真的有耐心看到這里),您可能會想,e是不是與概率的關系比較大,其實我可以告訴你,π在有些時候也會用到概率計算之中。因為這兩個常數就是有牽扯不清的關系。
自然常數 e 在選舉之中的使用,至此顯得非常自然,而且也比較優雅。
同時,Filecoin在Token釋放上,也利用 e 進行計算。這個與概率無關,而是與衰減有關。Filecoin 不采用周期性減半的方式進行Token釋放,而是模仿放射性衰減,也就是指數衰減。白皮書設計為6年減半。而一般說來,衰減的公式可以寫為:

上式可以理解為:初始Token為 N0,隨時間推移,系統通過釋放,在 t 時間點系統中還應該保留的Token量N(t)的計算公式。
看這里,再一次出現了自然常數 e。當然這里不一定非要用 e 的。但是由于 e 的使用非常廣泛了,用起來方便順手。所以基本上現在這是一種統一的用法。
Tags:COICOINOINFILBitcoin GoldBLCoinThe People’s Coinfilecoin幣今日人民幣價格
ETH終于借到東風了,幣價突破300美元大關,領漲現貨行情。在“DeFi牛市里”,很多朋友都問阿空,怎么以太坊利用率那么高,ETH還老在“陣痛”呢?阿空覺得關鍵問題就是在兩者的關聯性.
1900/1/1 0:00:00相信這兩天被預言板塊的漲勢,漲服了很多人,簡直上天的節奏。DeFi 系列許多代幣也是緊跟其后,一通暴漲。今天主要分享預言機板塊的代幣和DeFi板塊的代幣近來一段時間的漲幅.
1900/1/1 0:00:00一項新的調查似乎推翻了土耳其作為加密貨幣國家的普遍看法。土耳其主要的加密貨幣交易所Paribu有個簡單的目標:找到1000名沒怎么聽說過加密貨幣的土耳其公民.
1900/1/1 0:00:00如果說一個新人投身加密領域,最應該熟讀一百遍的話是哪句?我想下面這句,極有可能入選:“行情總在絕望中誕生,在半信半疑中成長,在憧憬中成熟,在希望中毀滅”.
1900/1/1 0:00:00這兩天,又出現了兩個小熱點,一個是EOS上的DeFi類項目DFS,另一個是跨鏈項目IRIS。DFS是EOS上的一個DeFi項目,圈內俗稱大豐收.
1900/1/1 0:00:00前不久震驚全球的推特賬號大規模被黑事件破案了。2020年7月15日,大批名人和知名企業官方推特賬戶遭黑客入侵,發布比特幣空投騙局.
1900/1/1 0:00:00