BTC/HKD-0.88%
ETH/HKD-1.95%
LTC/HKD-2.32%
ADA/HKD-2.89%
SOL/HKD-2.77%
XRP/HKD-2.31%原標題:《Bulletproofs技術調研報告》
作者:北京大學初澤良,本文僅代表作者觀點
原文鏈接:https://mp.weixin.qq.com/s/q3YRoCQzC4NxZkwu4QQd5w
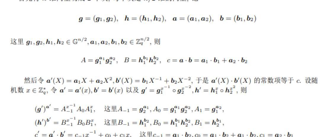
Bulletproofs是由斯坦福大學、倫敦大學學院、區塊鏈協議公司Blockstream共同提出和維護的非交互式零知識證明,得到了美國國家科學基金會、美國國防高級研究計劃局、美國海軍研究局(ONR)以及西蒙斯基金會的支持。本文是對Bulletproofs的調研報告。



被動資產管理協議Nebula Protocol正式向LUNA質押者發放空投:4月16日消息,Terra生態被動資產管理協議Nebula Protocol正式向LUNA質押者發放空投,并開啟治理質押模塊,符合條件的用戶現已可認領和質押NEB。
此前報道,被動資產管理協議NebulaProtocol宣布將于4月15日正式啟動上線流程,總量1%的NEB Token將空投給截至區塊高度7169420的LUNA質押者,用戶可以在4月15日領取。[2022/4/16 14:28:16]



Modular聘請Lightbulb Capital創始董事擔任首席投資官:3月9日消息,由投資管理公司Millennium Management(千禧年管理公司)分拆出來的對沖基金Modular Asset Management聘請了Daniel Liebau作為首席投資官,負責專注于可持續區塊鏈技術的戰略。據悉,Daniel Liebau是Lightbulb Capital的創始董事,入職后將向Modular首席執行官Jimmy Lim匯報,并在新加坡辦公。Modular管理著大約10億美元的資金。
此外,康奈爾大學S.C.約翰遜商學院的金融學副教授Lin William Cong和倫敦商學院的金融學教授Alex Edmans正在作為學術顧問加入該區塊鏈戰略。(彭博社)[2022/3/9 13:45:47]


潮玩NFTGunbull宣布與Portal達成合作,將于邁阿密再次登展:11月26日,潮玩NFT Gun bull宣布與Portal達成合作,繼NFT.NYC展覽后,將于邁阿密再次登展。Gun bull NFT系一款潮玩NFT,實現NFC芯片與NFT鏈上信息相結合,實體玩偶與手機互動,可查詢NFT鏈上信息,備份并實現所有玩偶信息IPFS儲存的備份系統。[2021/11/26 22:19:54]




動態 | 比特幣挖礦公司Golden Bull因缺少財報而受到納斯達克警告:金色財經報道,納斯達克最近向比特幣挖礦公司Golden Bull發出警告,稱其未能提供2019年6月30日之前六個月的6-K財務報表,不符合上市規則,可能會被納斯達克下架。但納斯達克給了Golden Bull 60天時間制定并提供一個計劃以符合在納斯達克上市的規則。該公司也回應稱會在2020年1月底之前提供必要的信息。[2020/1/9]



動態 | 金條交易商J.M. bullion接受BTC付款:據cryptocoinspy報道,美國最大的金條交易商之一J.M. bullion現在接受BTC作為一種付款方式。[2019/1/11]



























Tags:BULBULLNFTPROSUSHIBULL幣BullionHADO NFTKwikSwap Protocol
據TheBlock9月10日消息,Aave聯合創始人StaniKulechov以350ETH的價格將名為“Yield”的NFT出售給了一位匿名競標者.
1900/1/1 0:00:00國產標簽可能是一些NFT項目希望回避的話題。河里人Rivermen是值得關注的國產NFT項目,這主要是因為Rivermen背后的IP價值,以及項目方本身IP影響.
1900/1/1 0:00:00在電影《盜夢空間》中,建造夢境的人被稱作建筑師,建筑師可以憑借自己的想象力,在夢境中自由地構建場景、設計空間,甚至可以擺脫物理規律的束縛.
1900/1/1 0:00:00據forbes9月21日消息,數字足球NFT收藏平臺Sorare宣布完成6.8億美元B輪融資,投后估值達43億美元,軟銀領投.
1900/1/1 0:00:00注:原文作者是MulticoinCapital管理合伙人KyleSamani,其最近透露Multicoin已購買了價值千萬美元的Loot,在這篇文章中,他講述了自己對Loot的看法.
1900/1/1 0:00:00新聞學中有一條經典的論斷:我們所認為的“真實世界”在很大程度上僅僅是媒體信息建構的“擬態環境”,它能在多大程度上還原“真實世界”,取決于媒體提供的信息的真實性和客觀性.
1900/1/1 0:00:00