 BTC/HKD+2.23%
BTC/HKD+2.23% ETH/HKD+2.29%
ETH/HKD+2.29% LTC/HKD+3.58%
LTC/HKD+3.58% ADA/HKD+1.97%
ADA/HKD+1.97% SOL/HKD+1.3%
SOL/HKD+1.3% XRP/HKD+2.62%
XRP/HKD+2.62%DeFi像是在一張白紙上建構全新的金融系統,完全滿足了這群聰明人對傳統金融體系的意,目前來看還表現不錯。Afantasyrole-playingfinancialsystem.穩定幣的設計也一樣,是一個理性代理人的經濟博弈過程,穩定幣系統中的不同角色在互動中平衡風險和收益,達到代幣幣價穩定。
Stablecoins2.0:EconomicFoundationsandRisk-basedModels
穩定幣2.0:經濟基礎和風險模型
穩定幣是一種資本化程度最高的加密貨幣。然而,它們的風險因其設計的不同而有很大的差異,而且通常人們對其了解甚少。我們以風險表征下的經濟結構的穩定為基礎,尋求穩定的理論基礎。首先,我們將現有的經濟模型與完全不同的監管系統相匹配。接下來,我們描述了在非共同市場中出現的獨特風險,并開發了一個模型框架,將經濟學和計算機科學中的現有模型結合起來。我們進一步討論這個模型框架如何適用于各種加密經濟系統,包括跨鏈協議、抵押貸款和去中心化交易。這些獨特的風險產生了尚未回答的研究問題,這些問題將構成未來去中心化金融研究的關鍵。
1簡介
穩定貨幣是通過經濟結構穩定貨幣的購買力。穩定幣有兩類:托管的/custodial,需要對第三方的信任;非托管的/non-custodial,用經濟機制代替這種第三方信任。主要的托管類實例,如Tether、BinanceUSD、USDC和TrueUSD的總市值超過100億美元。而非托管方面,在所謂的去中心化金融協議所鎖定的10億美元價值中,其Maker的穩定幣Dai占超過50%。
最近幾篇論文和行業報告提供了穩定幣的概述。它們通常根據所使用的抵押品類型、掛鉤/錨定的目標和技術機制對穩定幣進行分類,并非正式地將穩定幣機制與傳統貨幣工具聯系起來。貨幣和穩定貨幣的歷史以及穩定貨幣的制度結構在中有討論。中討論了監管視角的穩定幣,包括分類、監管漏洞和系統穩定性風險。
在這篇文章中,我們的根本目的是不同的。市場事件表明,即使是價格穩定的穩定幣,也會表現出顯著的波動性。2020年3月12日,在SARS-COV-2大流行期間,市場波動嚴重影響了穩定幣Dai,導致其進入通貨緊縮的去杠桿化螺旋,迫使其偏離緊盯的匯率制度。盡管上述論文對現有的穩定幣進行了分類了,但沒有一項研究是基于風險的模型的分析。在這里,我們試圖填補這一空白,為穩定幣設計提供可靠的經濟理論基礎,重點關注財務風險。
首先,我們從經濟學和計算機科學的角度對相關的基于風險的模型進行了概述,試圖通過僅在必要時擴展模型來避免重復工作。其次,我們借鑒資本結構理論,提出了一些形式化的開放性問題。自始至終,我們假設穩定幣系統由經濟合理的代理人使用和操作,他們的行為最終決定了這些系統的穩定性和安全性。然而,我們并沒有解決本文所述的開放性問題。這項工作建立在中確定的對去中心化穩定幣的先前工作的基礎上。
我們揭示了風險的五個主要方面。在非托管資產方面:類似去杠桿化過程對類似抵押資產的影響和潛在抵押品類事物的風險,數據傳送和治理風險,挖礦激勵的基層風險,以及智能合約編碼風險,可以應用形式化驗證文獻。相比之下,在托管穩定市場中,第一種方法以一種截然不同的方式影響發行人的激勵機制,以及審查制度和交易對手風險這一額外的核心風險維度。我們的穩定幣機制分類根據這些風險維度分解。圖1總結了我們對風險的一些最重要維度的分類。
   
貢獻
我們提供了托管穩定幣設計的功能細分,與傳統金融工具的分類和模型相對應。
我們提供了一個通用的功能框架,用于關聯所有非托管穩定幣設計的經濟機制,并討論了在這種情況下出現的新風險。
我們提出經濟穩定性和安全性問題,這些問題適用于評估非托管穩定幣。
我們提供了一個衡量穩定性和安全性的模型框架,包括基于代理決策的開放性研究問題。
我們提供了用效用函數表示的評估代理人偏好的方法,使用Maker的歷史數據提供了一個最小的工作示例。
最后,我們概述了如何將我們的模型應用于DeFi協議,包括復合穩定幣、跨鏈和共同資產,以及借貸協議和去中心化交易。
2托管型穩定幣
在托管型穩定幣中,托管人受托保管鏈外擔保資產,如法定貨幣、債券或大宗商品。然后發行人提供數字代幣來表示儲備資產的鏈上版本。數字代幣的持有人對保管的資產有某種形式的索賠權,保管資產維持掛鉤制度。保管資產包括儲備資產和資本資產。資本資產相當于銀行持有的非流動資產和貨幣市場基金持有的短期國債。
保管的資產將代幣持有人引入交易對手,審查與鏈下資產相關的風險和資本資產的經濟風險。這些風險與傳統資產的風險相似。由于與托管人共享賬戶結構以及缺乏政府存款保險,交易對手風險可能會增加。如果中央實體無法履行其義務,穩定幣的價值可能變為零。表1總結了類別、適用模型和項目。
2.1100%鏈下準備金
在準備金的穩定幣中,穩定幣保持100%的準備金率,即每個穩定幣由托管人持有的儲備資產作為擔保。價格目標通過兩種機制維持。代幣可以直接從鏈下贖回基礎儲備資產。在這種情況下,套利交易激勵外部參與者關閉任何發生的價格偏差。或者,發行人可以指定“授權參與人”單獨擁有根據儲備創建和贖回穩定幣的能力。在這種情況下,授權參與者捕獲價格偏差套利。
儲備金市場類似于電子貨幣、狹義銀行和貨幣發行局的結構。電子貨幣是一種預付不記名票據。狹義銀行的存款是由中央銀行100%的準備金支持的。貨幣發行局使用一個外幣100%的儲備金來維持一個主權貨幣的固定匯率。其中,儲備金穩定幣最接近貨幣發行局,因為穩定幣的市場價格浮動受創建造和贖回的影響,類似于主權貨幣浮動受貨幣發行局創建和贖回的影響。另一方面,電子貨幣和狹義銀行存款與貨幣本身是一樣的。值得注意的是,與貨幣發行局不同,穩定幣儲備金可能存儲在商業銀行存款賬戶中,這可能會承擔銀行擠兌風險。我們在附錄A.2中討論了建立儲備金穩定幣模型的方法。
2.2部分準備金
部分儲備金穩定幣由儲備資產和其他資本資產混合支持,并有一個目標價格。儲備金在目標資產中持有儲備,其占穩定幣供應量的<100%,以便于穩定幣的贖回。與100%儲備金設計類似,這些儲備資產可能類似于政府存款保險水平的商業銀行存款,在這種情況下,它們可能承擔商業銀行的經營風險。其他資本資產占剩余的穩定幣供應價值,并為穩定幣發行人賺取更高的利率。資本資產可以進行清算,以處理額外的穩定幣贖回,但存在價格風險。在這一類別中,重要的分界點是所持資本資產的類型:非流動資產或低風險資產。無論哪種情況,穩定幣都有浮動價格,因此通過類似的ETF套利交易維持聯系匯率制度。因此,適用的風險模型將采取ETF模型與銀行擠兌或貨幣市場模型串聯的形式,我們接下來將討論這些模型。我們在附錄A.3中提供了每種類型穩定幣的詳細信息。
美聯儲副主席布雷納德:未來可能會有很多穩定幣,問題是是否也需要發行數字美元:9月8日消息,美聯儲副主席布雷納德表示,我們需要在未來金融的背景下對央行的數字貨幣進行評估。未來可能會有很多穩定幣,問題是是否也需要發行數字美元。數字美元將作為中性的結算層。這將為(結算體系)提供一些韌性。因此,我們需要仔細考慮數字美元的設計。[2022/9/8 13:14:58]
2.3中央銀行數字貨幣
中央銀行數字貨幣是面向消費者的法定數字貨幣,旨在提供無風險的價值存儲。CBDC提出了不同的貨幣體系現狀。目前,中央銀行的準備金存款可供商業銀行使用,但不適用于消費者或非銀行企業。消費者和企業持有商業銀行賬戶。非現金貨幣供應量由商業銀行的貸款決定。政府干預這一貨幣體系,通過提供商業銀行存款保險來創建無風險的消費者存款賬戶。相反,中央銀行提供面向消費者的存款
CBDC代表了銀行體系內貨幣存款結構的變化,而不是貨幣穩定模式本身的變化。事實上,對于現有的貨幣模式來說,CBDC在許多方面都是一個更理想的環境,因為它在形式上更接近于法定貨幣,而不是商業銀行存款。像和這樣的傳統貨幣模型適用于理解法定貨幣的穩定性。這些模型通常假設,央行/政府是為了自身利益而尋求穩定,而不是上文討論的私人銀行,后者是逐利的。一種法定貨幣被假定有一個特定國家的經濟支持,它提供了貨幣經濟活動的自然需求,以及軍事力量和法律制度。在這種情況下,這些模型中的代理人對沖其當前頭寸,以應對下一個時期的需求,其中一部分以法定貨幣出現,另一部分則以外幣出現,受到攻擊代理人的潛在貨幣攻擊。在這種情況下保持聯系匯率的能力將取決于央行持有的外匯儲備與經濟需求之間的關系。
3非托管穩定幣
非托管穩定幣旨在獨立于托管設計所依賴的社會機構。他們通過建立參與者之間的經濟結構來實現這一點,這些參與者通過智能合約實現。在這種情況下,基礎區塊鏈機制可防止直接沒收資產。
非托管穩定幣在結構上類似于風險轉移工具的動態版本,如債務抵押債券和差價合約。CDO由一系列抵押資產支持,并分成若干部分。任何損失首先由初級部分吸收;高級部分只有在初級部分被消滅時才吸收損失。
從功能上講,非托管系統以某種形式包含以下組件:
基礎價值:穩定幣中基礎價值的經濟結構。這是一個抽象的抵押品概念,有以下幾種類型:當抵押品有主要是外部的是外生的/exogenous,當抵押品是為了作為抵押品而內生/endogenous創建的,當設計缺少顯式抵押品時是隱含的。風險吸收者:吸收系統中風險和利潤的投機性代理人。穩定幣持有人:構成穩定幣市場需求方的代理人。發行機制:由代理或算法執行的一種功能,用于確定穩定幣的發行,包括降低穩定幣供應的去杠桿過程。治理:由代理或算法執行的一種功能,用于管理系統參數,如去杠桿因素和價格反饋,并收取系統運行費用。數據饋送:將外部資產數據導入區塊鏈虛擬機的功能,以便系統的智能合約能夠讀取這些數據。礦工:決定基礎區塊鏈層中動作的包含和順序的代理人。組件的具體形式可能有所不同,但一般功能在穩定幣設計中是通用的。根據設計的不同,幾個功能可以由單個代理類型執行,而其他功能可能是算法功能。請注意,由于法律保護,最后三個組成部分可以簡化為傳統金融模型;在傳統體系中,我們通常假設這些過程是機械的,而不是戰略行動。因此,穩定幣很容易受到圍繞治理、價格供給和礦工可提取價值的新操縱攻擊。
與傳統貨幣體系的類比。我們提供了Maker穩定幣系統與傳統貨幣系統之間的說明,以幫助讀者理解其組成部分和功能差異。在Maker中,保險庫承擔風險并執行發行。保險庫存放以太幣抵押品,發行以該抵押品為擔保的Dai,并投資Dai發行的收益以獲得杠桿頭寸。法定貨幣Fiat系統中包括中央銀行、商業銀行和存款人。中央銀行監管商業銀行并持有銀行貨幣儲備。商業銀行通過貸款來決定貨幣供應量。存款人在商業銀行持有法定貨幣賬戶。
Maker金庫與商業銀行類似,因為它們都是根據發行激勵來決定貨幣供應量的。對銀行而言,這取決于貸款的盈利能力,貸款的盈利能力包括長期和短期利率之間的利差,受制于資產負債表和監管限制以及儲戶提款預期。金庫采用不同的押注抵押品杠桿。治理與中央銀行平行。中央銀行設定利率的目標是經濟穩定和銀行的資本要求。模型通常假設央行機械地以穩定為目標。穩定幣治理采用不同的形式。治理設定利率和附帶因素以使系統利潤最大化,我們希望這與穩定性保持一致。穩定幣持有人與儲戶平行。鑒于銀行存款人有存款贖回擔保,穩定幣持有人可能沒有此類擔保。取而代之的是,他們必須希望系統激勵機制能夠協調一致,使穩定的浮動價格穩定且具有流動性。
最后一個有用的比較是治理攻擊。通過設置系統參數,穩定幣調控器可以從本質上竊取鎖定在系統中的值,這一點我們將在下一節的模型上下文中討論。對傳統貨幣體系的一個平行的攻擊將是中央銀行為了政府的利益無限印刷貨幣。
3.1基礎價值
基礎價值是一個抽象的擔保物概念,是穩定體系中價值的基礎。它將抵押品的價值與明確的市場價格和/或參與者之間協調的“系統內”非標記化價值相結合,我們稱之為隱性抵押品。這個主要價值來自于某些系統的市場預期。對于外來加密貨幣抵押品,這是對以太坊的期望和“信心”。在隱性擔保中,它是對穩定幣系統本身的協調“信心”。相比之下,法定貨幣則是對一個國家的政府、經濟和法律體系的信心。在黃金支持的貨幣中,它是對黃金的信心。在象征性資產中,它可能是對托管人的信心,以及對基礎資產現金流的預期。
Exogenouscollateral/外生抵押品。外生抵押品是指在穩定幣系統之外的資產,并且只有一小部分可能被用于穩定幣的抵押品中。例如Maker中的ETH。穩定幣是針對該抵押品發行的,附帶因素決定了系統中允許的最低程度的過度交叉。從模型的角度來看,外生抵押品的價格可以外生地建模。
Endogenouscollateral/內生性抵押品。內生抵押品是一種資產,其目的是作為穩定幣的抵押品。這意味著它在穩定幣系統之外幾乎沒有競爭性的用途。例如Synthetix中的SNX和鑄幣稅股份中的“股份”。在鑄幣稅股份中,類似“股權”的頭寸確保了系統不受價格風險的影響,在穩定貨幣需求低且需要收縮供應時吸收損失,在需求高且需要擴大供應時接收新鑄造的穩定貨幣。由于穩定幣的使用和抵押品價值之間的內生反饋效應,內生抵押品的價格不能外生建模。它的價值來自參與者之間“信心”的自我實現協調。
例如,在信任危機中,如果穩定幣持有人的需求預期較低,那么內生抵押品的價值應該較低,這將進一步動搖對系統和需求的信心。另一方面,高期望值可以自我實現:有了高附加值,穩定幣在某種意義上更安全。若穩定幣持有人的需求很高,則內生抵押品的高價格是合理的。
外生和內生的區別最好用范圍來概念化。例如,選定的抵押品有外部用途,但與穩定幣有很大的關聯,有些穩定幣由一籃子抵押品支持,包括外源性和內源性抵押品。從模型的角度來看,這個譜可以表示為這些反饋效應的強度。
摩根士丹利報告:銀行業可能會利用穩定幣存款需求:11月8日消息,摩根士丹利(Morgan Stanley)首席加密貨幣策略師Sheena Shah在一份報告中表示,在市場呈指數級增長的背景下,銀行業最有可能試圖利用人們對穩定幣存款的需求。
這些代幣的一些顯著特點是它們提供加密存款利率和參與DeFi的途徑。摩根士丹利表示,加密貸款機構為其中一些代幣提供超過5%的利息,這反過來將導致監管機構和政府做出回應。來自政府和央行的刺激導致風險資產達到歷史最高水平,加密貨幣也不例外。她補充稱,在市場杠桿增長的支持下,加密貨幣的交易“類似于風險資產”。
Shah指出,“機構投資者對參與價格上漲勢頭的興趣正在增強”,并補充說比特幣的主導地位正在下滑,因為山寨幣由于其較低的美元價格和潛在的使用案例而表現優異。“區塊鏈之戰”可能會繼續下去,因為各方都在提高市場份額。他指出,自2020年以來,穩定幣發行量已經增長20倍。隨著越來越多的機構(如資產管理公司、交易所和公司)決定購買加密貨幣,比特幣行業最終將由更少的參與者擁有,這將導致中心化。(CoinDesk)[2021/11/8 6:39:16]
隱含抵押品。一些穩定幣的設計沒有明確的抵押品,而是提出了動態調整供應以穩定價格的市場機制。當供給需要減少時,投機者可以被激勵來吸收損失,而當穩定的供應需要增加時,期望得到回報。我們將這類投機者的頭寸與具有重要功能差異的內生抵押品案例進行比較。兩者都從參與者之間的使用和投機預期中獲得價值。內生抵押品代表了這一點的明確標記化,包括在供應減少期間吸收損失的義務,這意味著它有一個直接可觀察的市場價格。隱性抵押品沒有明確的標記化,風險承擔者沒有直接的義務來吸收損失。對于建模,隱性抵押品可以解釋為幕后的內生性抵押品,并解釋了風險吸收者的財務結構差異。這種協調的幕后“市場價格”只能在穩定的市場需求和投機需求水平上間接觀察到。然而,它們在評估投機頭寸和穩定頭寸時將扮演類似于內生抵押品的角色。內生性和隱性支持穩定性的穩定性取決于參與者如何隨著時間的推移感知和協調這個值。
一種類型包括基數和位數。在這些設計中,如果穩定幣供應增加,則授予“股份”,但在供應合同時不一定面臨直接損失。供應萎縮依賴于拋售“債券”頭寸,將穩定幣從流通中剔除,以換取未來供應增加時的回報。在基礎上,這是算法,而在NuBits中,這是通過股份投票來協調的。如果我們在緊縮期間將購買“債券”的義務標記化,并與“股票”持倉相結合,那么結果類似鑄幣稅股票。由于它不是以這種方式標記的,“抵押品”的等價物只是隱含的,沒有可觀察的市場價格。相比之下,鑄幣稅的“股份”應該以不同的價值來補償額外的債務。而下行價格的穩定將取決于當時風險吸收者的激勵,而不是提前。
我們將第二種類型稱為挖礦吸收,其目的是通過縱協議激勵來穩定區塊鏈的基礎資產。這些設計建議通過調控采礦報酬、采礦難度、交易費用或利息費用的水平和燃燒來動態調整供給。這意味著,礦工采取的是一種隱性的風險吸收機制,旨在吸收價格風險,但沒有義務繼續開采/風險吸收。在許多方面,這與Basis/Nubits設計類似。當需要增加供應時,礦工們將獲得新鑄造的穩定幣,如果他們在需要減少供應時選擇繼續開采,將面臨大幅削減的獎勵和燒掉的交易費用。
3.2風險吸收與發行
穩定幣機制在激勵投機者吸收價格風險時起作用。這些風險吸收頭寸有兩種主要形式。在股權風險吸收中,存在一項次級資產,并且該資產的任何持有人都隱含地從穩定幣。為了例如,Steem的市值隱含地支持Steem美元;Steem美元持有者可以將Steem美元兌換成新鑄造的Steem美元,并且所有Steem持有者都要承擔這一通脹成本。在代理風險吸收中,單個代理管理一個保險庫,其中包含吸收穩定幣市場風險的主要價值。在代理人風險吸收中,代理人決定以其資產參與多少,而在股權風險吸收中,二級資產的每一個持有人都按比例參與。在許多情況下,風險吸收者的作用也與穩定債券的發行相結合。
發行過程決定了穩定的供應。細節可能有很多變化,但有兩種一般類型。在代理發行中,穩定幣供給的規模,或者更具體地說是系統的杠桿率,是由代理人在優化頭寸的過程中決定的。決策者通常是系統中的風險吸收者。例如,在Maker中,金庫決定了它們在管理金庫杠桿作用時的穩定性。在NuBits中,“股權”類股票的所有者集體投票決定發行決定,以平衡需求。
在算法發行中,調整杠桿的過程被編入穩定幣協議代碼中。例如,在Duo網絡中,杠桿率是通過“杠桿重置”算法來確定的,它平衡了相對于抵押品價值的穩定供應。在鑄幣稅股票中,新發行的股票按算法授予“股權”持有人,以平衡需求。
去杠桿化過程也是發行的一部分,如果違反了去杠桿系數,或者如果允許穩定幣持有人贖回穩定幣抵押品,可以調用該流程來減少穩定幣的供應。例如,在Maker中,如果保險庫的穩定幣發行量相對于抵押品價值太大,那么抵押品將被清算以降低杠桿率。在DuoNetwork中,“杠桿重置”可能會強制清算一些頭寸,如果抵押品因素被違反。在鑄幣稅股票中,“股權”持有人承擔損失,以減少需求沖擊下的穩定供應。如果價格低于目標價,穩定幣持有人可以贖回新鑄造的Steem。
如和所述,基于杠桿貸款市場的非托管穩定幣面臨去杠桿化風險,這可能導致基礎價值的反饋螺旋上升。大多數現有的非固定資產符合這種杠桿貸款特征。這些去杠桿化風險有兩種形式。第一個是對穩定幣市場的反饋效應:由于穩定幣流動性的枯竭,抵押品價值可能在清算過程中消耗得更快。正如中預測的那樣,在危機中去杠桿化的成本可能會大大高于每個穩定幣的1美元,并在2020年3月的“黑色星期四”期間在Maker得到了驗證。二是內隱絡脈的直接反饋效應。對于內生抵押品,清算除了對預期降低產生反饋效應外,還會對抵押品資產市場產生流動性和甩賣效應。
類似的反饋也出現在隱性抵押品中,影響了風險承擔者的頭寸和穩定的需求。對于這兩種類型的隱性抵押品,有一個上限可以吸收。對于鑄幣稅股份,這是股東的滯期費。對于被吸收的礦商來說,這可能是0塊的獎勵,除了可能在系統,其中的股份可以削減作為滯期費。其結果是在參與激勵和風險吸收頭寸價值方面的反饋。例如,要想讓礦工愿意在沒有采礦獎勵的情況下繼續開采,對未來利潤的預期需要大于成本。持續參與的決定將取決于投資是否可以重新調整用途,以及競爭對手的潛在回報。在這個上限之后,剩下的靈活性只是在使用穩定幣時燒掉收費,這對持有穩定幣的吸引力有反饋作用。
這就引出了兩個普遍而基本的問題:
問題1。參與方之間是否存在互惠互利的持續參與?如果沒有,那么這個機制就不能工作,因為沒有人會參與。這個問題還包括圍繞攻擊的動機;特別是,如果激勵導致了有利可圖的攻擊,那么理性的代理人將不太愿意參與。回答完之后,我們就可以理解后續問題了:
問題2。激勵措施真的能帶來穩定的結果嗎?
INX宣布與日本金融集團GMO Trust合作推出日元及美元穩定幣:9月22日消息,受監管的加密交易平臺INX宣布與日本金融集團GMO旗下的GMO信托公司建立伙伴關系。根據合作協議,INX Limited的子公司INX Digital將為投資者推出受監管的日元穩定幣GYEN,及美元穩定幣ZUSD。(Finance Magnates )[2021/9/22 16:57:49]
請注意,特定的反饋效應可以減輕。然而,其結果通常是將風險從一個代理轉移到另一個代理。在任何一種情況下,風險都會影響參與激勵。例如,在抵押品清算中,一些穩定幣持有人可以按照抵押品資產的面值進行清算,而不是以浮動市場價格進行清算。這消除了對穩定市場價格的反饋效應,降低了風險吸收者的去杠桿風險。然而,相反,穩定幣對穩定幣持有人的吸引力可能會降低,因為他們現在承擔了更多的清算風險。
穩定幣機制的類型也會顯著影響激勵機制。當設計基于代理時,代理具有更大的決策靈活性,并且更有可能找到一個有利可圖的參與水平。相比之下,當設計更具算法性和/或具有股權風險吸收能力時,代理人受到的限制更大,參與系統的可能性相對較低。過去的幾次穩定幣事件可作為去杠桿效應的案例研究。附錄表4對此進行了說明。
穩定幣還可以結合其他保險機制來降低風險。最簡單的方法是建立一個完全抵押的看跌期權市場,在這個市場上,每個穩定幣持有人可以購買一個期權,將這個穩定幣轉換成另一個穩定幣/資產。當然,這種保險的價值只與它背后的抵押品一樣重要。其他保險機制在協議中添加了一層,旨在對不足進行全局緩沖,例如,在CDO結構的“動態”部分無法覆蓋所有損失的情況下。在某些情況下,這些可解釋為類似CDO的結構中的“夾層”部分,盡管這并不完全準確,因為這部分“部分”通常是無擔保的。特別是,許多當前的穩定幣公司從費用中產生現金流,這些費用被證券化為治理代幣。為了彌補資金短缺的情況,可以通過出售新的治理代幣來拍賣未來現金流的價值。然而,未來現金流的價值會在螺旋式死亡的情況下蒸發掉。或者,過去的一部分費用可以轉作緩沖,以彌補不足。事實上,這些選擇之間存在著一個范圍,即證券化現金流可以在任意時間出售,以保持足夠的緩沖。
穩定幣設計中對緩沖區的低估。表明,在基礎抵押品價格過程為次鞅的地區,基于杠桿借貸的穩定幣可以保持穩定,并且可以在這種情況下崩潰。雖然人們對次鞅假設的合理性有一些擔憂,但在一種寬松的形式下,它可能更為合理,即下行趨勢是短暫的。除了短暫的下行事件外,衍生設計幾乎無法幫助系統生存。在這種寬松的形式下,重要的是系統有足夠的緩沖區,以便在短暫的事件中幸存下來;我們建議,關于次鞅假設的適當性的許多關注可以轉化為對適當緩沖區大小的關注。通過這種方式,我們期望一個優化的緩沖區設計可以擴大穩定區的穩定性,而這在目前的設計中基本上沒有得到充分的研究。在中提出了另一種緩沖區形式:保險庫保險,可以緩沖去杠桿化螺旋的影響。
我們還建議,設計良好的緩沖區可以將設計可能性擴大到基于杠桿貸款的穩定幣市場之外。例如,基于貨幣準備金和貨幣緊釘匯率模型的不同基礎的穩定幣設計,其中緊釘匯率是通過內部緩沖效應維持的。這些想法的一個例子在第5.2節和中的復合穩定幣的背景下進行了更多的討論。
3.3治理、挖礦和操縱
現在我們將介紹在系統中引入操作潛力的設計組件。在監護制度中,這種操縱通常是通過依賴社會制度來避免的。相比之下,無許可系統通常不提供強身份,這會導致各種機構無法阻止的匿名攻擊。這些組成部分的精確形式會影響攻擊向量的大小和范圍,但不會實質性地改變它們的形式;因此,我們將重點討論對經濟模型很重要的函數形式。我們在附錄的表6中提供了歷史操縱事件列表作為案例研究。
數據饋送。非托管穩定幣市場要求資產價格數據與目標資產掛鉤。由于法定加密貨幣轉換只能在鏈外交易所進行,所以這些數據在鏈上是不可訪問的。因此,穩定幣依靠一種機制將這些數據導入區塊鏈虛擬機,以便穩定幣智能合約可以讀取這些數據。因此,與區塊鏈內交易有效性或區塊鏈間交易有效性等原生行為不同,導入數據的正確性在鏈上無法客觀驗證。有各種方法,包括集中的和分散去中心化的,來構造這樣的數據源。我們在附錄中對此作了簡要概述。不過,從功能的角度來看,我們可以從技術細節中抽象出來,關注這些數據所增加的經濟結構。
數據饋送引入了一個新的激勵問題:如果將數據導入到系統中有一個可提取的值X,那么攻擊者將花費最多X來操作該數據。集中化的預言機數據饋送可以被交易對手操縱,這會給交易對手帶來潛在的不正當激勵以及單點故障。去中心化的方法在面對博弈論攻擊時通常會崩潰。因此,數據饋送給我們的通用模型增加了一個固有的操縱潛力。這其中的重要因素包括誰可以操縱提要,可以操縱多少提要,以及這種操縱所涉及的成本。有鑒于此,一個合理的目標是實現數據饋送激勵兼容性,以便在組合數據饋送穩定幣系統中誠實地報告。
治理。穩定幣治理的任務是管理系統參數,如利率、附帶因素、數據饋送管理、時間延遲、系統升級和緊急系統解決。作為回報,他們通常會從系統中獲得一些費用收入。管理者可以采取治理代幣持有人的形式,他們對參數、創始公司、系統中其他代理的角色進行投票,或者可能是算法型的。
如果它是由代理執行的,那么這些代理就有能力通過這些參數操縱系統。為了使系統安全,必須阻止治理對系統進行致命攻擊。潛在的有利可圖的攻擊將反饋到系統中其他代理的參與決策中。例如,如果治理是代幣化的,那么代幣令牌估值/期望值和任何其他成本必須足夠高出攻擊的收益。我們將在下一節中討論幾種攻擊,包括操縱數據源和參數以提取附帶值。
治理也與系統穩定性密切相關。在這種匿名的環境下,可以期望治理最大化預期利潤,而不是為了自身利益而將穩定作為目標,這是央行模型中是典型的假設。各種治理結構在多大程度上使激勵措施與穩定目標保持一致,這是一個懸而未決的問題。
另一方面,如果治理是算法性的,穩定幣可能容易受到來自其他參與者的游戲攻擊。這些攻擊可以采取一種相關的形式,假設治理算法是給定的,并構建類似的最終結果:例如,賄賂所選的數據源以提取系統價值。這些攻擊的潛在收益將反饋到系統中代理的參與激勵中。
礦工。在基礎區塊鏈層中實現非托管穩定幣。這可以是智能合約形式的區塊鏈的“頂層”,也可以直接進入核心運行。無論哪種情況,基礎區塊鏈都是由一組礦工維護的。在本文中,我們將miner和validator歸入術語“miner”下。在維護區塊鏈的過程中,采礦者決定賬本中的交易包含和排序——無論是在下一個開采區塊還是在之前的區塊中,因為采礦者總是可以選擇重新開采較早的區塊,以改變交易結構。因此,他們可以完全控制賬本的歷史。
區塊鏈系統旨在讓礦工們確保賬本的持久性和活躍性。在這種情況下,持久性表示賬本中包含的有效交易最終被視為最終交易,即所有誠實的代理人都將在賬本中的相同位置報告交易。liveness屬性要求從誠實代理發送的事務最終插入到分類帳中。作為回報,礦工們將獲得報酬,包括將交易納入區塊的費用,以及用新區塊擴展分類賬的區塊獎勵。由于目前和未來的回報通常是在基礎資產中支付的,礦工們有動機避免損害這些回報的攻擊。
穩定幣兌換器Orbits將結束測試網測試,明日開啟Beta版運行:基于HECO的低滑點穩定幣兌換器Orbits Finance發推稱,在2021年2月7日開啟的測試網測試,將于2021年3月6日23:59結束。Beta版運行開啟時間:2021年3月7日,具體時間以官方公告為準。[2021/3/6 18:21:27]
然而,礦工也可以從區塊鏈協議之外的其他來源獲得報酬。例如,礦工可以在分類賬上的資產交換中抓住套利機會,或者在采礦過程中下注并操縱結果,或者為他人收受賄賂。這被概括為礦工可采價值。一個理性的礦工會考慮到MEV來決定利潤最大化的行動,這可能并不總是誠實的挖礦支持的區塊鏈。如果MEV足夠有價值,礦工們通常會被激勵通過攻擊來捕獲它。
在穩定市場環境下,MEV會帶來一些風險。首先,利用穩定幣去杠桿化事件和清算的特殊攻擊是可能的。這就產生了可能激發對穩定幣破壞穩定的襲擊的MEV機會。在這種情況下理解安全性和激勵一致性,以及許多穩定幣代理商和礦工之間的博弈論互動仍然是一個有待解決的問題。第二,礦工攻擊給區塊鏈層帶來共識風險。這種形式的攻擊可能會對區塊鏈的基礎資產產生影響,而基礎資產可能是穩定幣中的一種附屬資產。即使穩定幣本身不是攻擊的焦點,這也會對穩定幣的穩定性產生影響。第三,在基本協議中嵌入穩定幣的情況下,穩定幣可以直接操縱礦工獎勵激勵,而不是通過MEV間接操縱激勵。這就提出了一個相關的開放性問題,即此類區塊鏈是否可以運行。
其他風險。我們簡單地提到另外兩種風險。一種通常被稱為“智能合約風險”。由于穩定幣系統在沒有特定機構監督的情況下執行算法,因此它們在規范和實現中面臨缺陷的風險,例如事務排序依賴性、溢出和重入風險。通過引入一些“違約”概率和一些隨機恢復率,這些風險可以用類似于信用風險模型的方式來表示。正式的驗證方法通常用于減輕這些風險。另一個風險是來自其他協議的傳染風險。在實際環境中,這些系統不會孤立地出現。例如,ETH和BTC在多個杠桿平臺之間的連鎖清算發生在2020年3月的“黑色星期四”。我們建議,可以使用共同資產持有網絡的甩賣模型來模擬這種級聯式清算。
4模型與措施
非托管穩定幣基于非托管穩定幣中的新風險,現有的金融模型不能“開箱即用”。在這里,我們將介紹一些基本的模型,這些模型可以充分地捕捉到這些風險。首先,我們從資本結構模型中得到啟發,擴展了一個基本模型來捕捉其他方面,并給出了四個此類問題的正式例子。第二,我們考慮分叉模型,從我們提出的資本結構模型的單發性質轉向多輪博弈。第三,我們簡要回顧了一些模型,這些模型側重于非保管激勵結構是否能夠導致穩定的價格動態。最后,我們包括了一個效用函數的估計,特別是針對Maker協議。
4.1資本結構模型
我們從資本結構模型中獲得靈感,以了解穩定幣市場中的激勵和攻擊。這些模型的最初形式描述了股票持有人、債券持有人和經理人之間在IPO發行中的激勵機制。在穩定幣改編中,該模型描述了持有治理代幣、穩定幣持有人和保險庫/風險吸收者之間的激勵機制。我們把金庫和經理聯系起來,因為金庫決定了穩定幣的供應。
我們考慮三種資產:COL、GOV和STBL。在問題1-2中,我們考慮了被賦予COL的金庫,被賦予GOV的州長,以及購買STBL的穩定幣持有人。在問題3中,我們考慮一個不同的公式,其中代理人選擇資產組合,包括治理的戰略持股
=保險庫抵押品的美元價值
=列的隨機回報率
=穩定幣發行總額
=新機會的回報率;保險庫發行穩定幣
=附帶因素
=金庫支付的發行短期債券的利率
來自保險庫外部的機會
=穩定幣持有人的效用函數
=發行時的STBL穩定幣市場價格
=模型時間時的治理市場價值,終端估值參數。
該模型分為三個階段:治理決定利率,金庫決定針對抵押品頭寸的穩定幣發行,系統在盈利的情況下發生攻擊。在一個最簡單的公式中,保險庫和治理被假定為期望值最大化,并且穩定幣持有人具有風險規避效用,在該效用下需求深度不受限制,我們隨后放松該效用。
這三個模型階段產生了一系列治理代幣價格。在最簡單的形式中,這些表示在每次提供信息的情況下,治理產生的貼現現金流。請注意,優化問題中出現哪一個取決于我們建模的精確問題設置。0是管理者在0階段優化的目標。1給出了金庫和穩定幣持有人戰略性地參與治理所有權后的治理代幣估價。2給出了模型末尾的治理估值。在不發生攻擊的條件下,2=+,其中是終端評估參數。如果發生攻擊,我們假設參與者放棄系統,得到2=0。終端估值代表了穩定市場的增長潛力:例如,如果未來變大,那么政府現金流也會變大。
4.1.1問題1:資本結構不受攻擊。問題1介紹了一個沒有攻擊的簡單設置。這類似于經典的資本結構問題,在股權和經理人之間簽訂一種特定形式的合同:現在,金庫從杠桿中獲得所有利潤,并向治理機構支付利息。治理選擇問題是根據保險庫的穩定發行,使預期的費用收入最大化。保險庫選擇問題是在下列約束條件下,使杠桿的預期收益最大化:抵押品約束,參與約束,穩定幣市場價格作為持倉人持有一個穩定收益的預期效用。
請注意,為了簡單起見,對于公式化的模型有幾個限制。在一個更完整的模型中,保險庫可能會考慮抵押品清算成本和治量的最后手段保險角色,以彌補任何抵押品短缺]+的條款,并修改穩定幣定價限制)。一些穩定幣還包括支付給或由其持有人支付的利率。最后,請注意,具有vault順序選擇的設置和管理以及并發選擇都是現實的。
   
4.1.2問題2:存在治理攻擊的資本結構。我們考慮在和中描述的形式的治理攻擊向量。在這種攻擊中,擁有部分GOV治理代幣的代理能夠竊取系統中部分抵押品。如中所述,這種情況可能發生在Maker系統中,此時=0.1且=1,因為治理被授予任意更改合同的權力。
如果收益超過成本,則此攻擊是有利可圖的:
式中,包含外部攻擊成本,而是攻擊的機會成本。請注意,在傳統金融環境中,我們通常有>>:代表由于法律/聲譽追索權而產生的高成本。這將問題簡化為問題1,因為攻擊總是無利可圖。
在問題2設置中,管理者分成兩組:攻擊組和非攻擊組。如果我們認為單個調控者有單獨的攻擊代價,那么攻擊組將由最小的分數組成。如果取<0.5,則非攻擊組將決定利率,而攻擊組將決定∈{0,1}是否攻擊。如果>0.5,則攻擊組同時決定和。問題2對<0.5的情況進行了建模:治理選擇問題代表了對的非攻擊群決策,攻擊群決策由1約束表示。請注意,治理目標的簡單重新制定將模擬>0.5的情況。
動態 | Telos與金融科技公司Carbon合作推出與美元掛鉤的穩定幣TLOSD:Telos周一宣布與金融科技公司Carbon建立合作關系,推出與美元掛鉤的穩定幣TLOSD。根據公告,穩定幣將在支持Telos區塊鏈和Carbon API的交易所上市。該公司說明稱,低于500美元的購買將免除交易員的KYC的要求。(Finance Magnates)[2019/8/27]
保險庫決策擴展到包括鎖定在穩定幣系統中的抵押品金額,但須符合保險庫可用的金額;鎖定的金額可能會被治理攻擊沒收。這與問題1相比,因為沒有攻擊向量,所有金庫COL都被鎖定。為了簡單起見,該設置假設是這樣的,在成功的攻擊下,保險庫在計算后沒有抵押品可收回;這可以通過在保險庫目標中增加一個條款來放寬。作為問題2的延伸,還可以納入從保險庫到治理層的賄賂決定,以改變攻擊動機。
   
在問題2中,針對攻擊的激勵一致性將嚴重依賴于和,因為的順序是不現實的。在長期增長均衡中,對于某些貼現因子,將與幾何和1相關。這使我們能夠理解長期激勵證券依賴于一個相當于集中追索權的大期限的環境。特別是,結合非攻擊決策的條件和附帶約束,我們需要<120573;具有針對攻擊的激勵安全性,這對這些量的實際值非常有限。在保險庫沒有足夠的激勵條件下。
我們可以將其解釋為“無治理狀態的代價”概念。在這種情況下,我們可能需要測量“最佳去中心化均衡”和最佳“集中”解決方案之間的比率。協議設計者的一項自然任務就是優化這一成本。
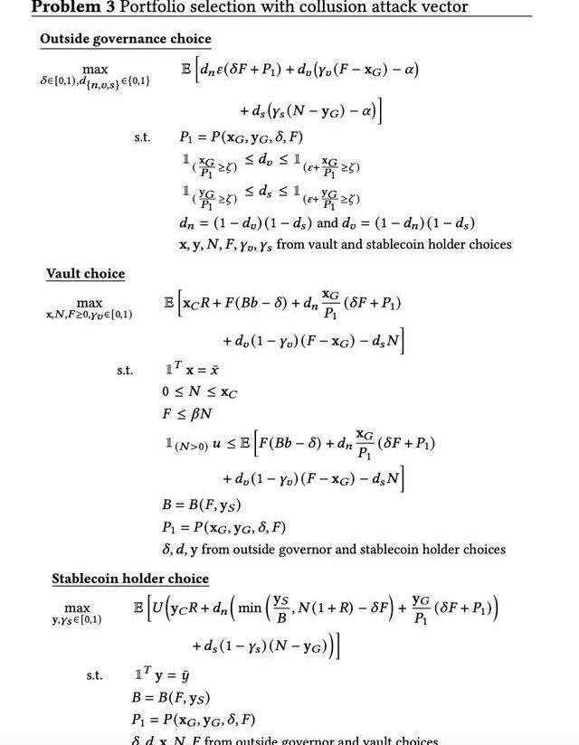
4.1.3問題3:具有共謀攻擊的投資組合選擇。現在我們考慮在中描述的形式的合謀攻擊向量。例如,一個控制著GOV治理大部分代幣的集團可以操縱價格供給并結算系統,從而使穩定幣持有人或保險庫擁有更大的抵押品份額。如果該集團還持有盈利頭寸,則攻擊可能有利可圖,除非治理代幣持有足夠的市場價值。這種51%風格的攻擊無法從本質上得到緩解。
我們在一個更復雜的環境中對這些攻擊進行建模;附錄問題3給出了完整的正式設置。在這種情況下,金庫和穩定幣持有人被賦予價值,并選擇可用資產的投資組合,其中一些資產需要參與穩定幣系統并受到攻擊。他們可能會戰略性地抬高治理代幣的價格,以確保系統的安全,或收購治理和/或行賄,試圖引發一場有利可圖的攻擊。第三個代理人是可以選擇與其他代理人串通的外部政府持有人。這些代理人做出以下戰略決策:
保險庫決定COL和GOV之間分配的投資組合x、穩定幣和的參與程度,以及外部管理者的賄賂因素。穩定幣持有人決定在STBL、GOV和COL之間分配的投資組合y,并將賄賂系數分配給外部總監。外部管理者持有政府的一部分,決定利率,并決定是否與保險庫、穩定幣持有人串通,或是否沒有發生攻擊。提供的賄賂是攻擊利潤的一小部分。如果治理合謀的部分,攻擊是有利可圖的——我們通常可以取≥0.5,但如果加入與礦工的共謀,攻擊可能會更低。投資組合x、y的組成部分以美元價值計量,其總和為總捐贈價值。
假設COL市場在給定的價格下具有完全的流動性,因此投資組合決策對COL沒有價格影響。我們將重點限制在治理和穩定幣STBL的內生價格建模上。治理的價格是通過函數確定的;我們假設這=E,沒有保險庫或穩定幣持有人參與治理市場。在該模型中,2=1,條件是沒有攻擊。如果發生攻擊,那么政府價格將為零。穩定幣STBL價格通過函數確定,以平衡供需。由于穩定幣持有人在這個問題上有一個被賦予的價值,我們不再像前面的公式那樣,假設STBL市場需求在給定的效用值下具有無限深度。這個模型的行為可能很大程度上取決于函數,的選擇。可以探索多種選擇來考慮不同的市場結構。
   
與問題2相比,保險庫現在決定了要持有的COL的數量,相當于之前的'),以及在該金額中,作為抵押品鎖定在穩定幣中的金額。類似地,x,y分別代表保險庫和穩定幣持有人投資組合中的GOV金額。我們現在有三個攻擊決策變量,其中一個將取值1。這一邏輯被編碼在外部治理選擇問題的第2-4個約束中
4.1.4問題4:礦工吸收機制。礦工吸收系統是所提出問題的變體,因為它明確地將礦工作為核心參與者進行建模。礦工吸收的穩定幣包括兩個代理人:承擔風險承擔者的礦工、治理者和礦工以及穩定幣持有人。此外,該系統還包括算法發布角色。礦工吸收機制的主要價值是隱性抵押品。在這個問題設置中,我們假設礦工是風險中性、經濟理性的代理人。此外,我們假設基礎區塊鏈包括一個單一穩定幣的STBL,并且它包含正確和最新價格的預言機數據。
我們將問題4定義為:如果一個礦工在預期將獲得報酬的情況下產生一個新的區塊,那么考慮到采礦成本,以及對系統的長期信心,那么以STBL的市場價格計算的回報率?在中,我們包含了生成塊的所有可變和固定成本。礦工的決定用表示,因此=1編碼生成一個塊,而=0則相反。
穩定幣持有人根據用效用函數表示的系統的預期穩定性,決定參與礦工吸收系統。穩定幣持有人擁有一個資產組合y。該組合由兩個資產組成:穩定幣STBL表示為y,第二個外生穩定幣表示為y。例如,這可能是一個礦工吸收系統,如Kowala和USDC作為外生系統。穩定幣持有人將投資組合的權重從一個區塊重新平衡到下一個區塊。這一決定是基于以表示的STBL價格和以表示的外生性穩定標志的價格為基礎的。此外,收購STBL也有成本。穩定幣持有人投資組合再平衡對抽象函數表示的價格有影響。如果穩定幣持有人出售大量持有的STBL股份,這將對價格產生嚴重影響。最后,我們定義了一個抽象函數,它決定了對系統的置信度。例如,穩定幣持有人可以在不影響系統長期信心的情況下,短期出售STBL。這類似于穩定幣持有人使用STBL支付賬單,但計劃長期使用該系統。
礦工獎勵按發行量調整算法發布算法是抽象的。然而,發行算法的目標是使價格變動最小化。我們注意到,在PoW系統中,由于發布算法在最壞的情況下可以支付零獎勵,但不能“拿走”現有的價值,因此在PoW系統中,獎勵被限制為≤0。在PoS系統中,這可以通過大幅削減PoS礦商來實現,在鑄幣稅共享系統中,如果礦工額外持有一項風險資產,如COL。發行算法將價格函數作為輸入,但必須假設=1。miner吸收問題采用了以前的組件,并添加了新組件,如下所示:
=開采區塊的成本
=獲得穩定成本
=StableCoon持有人對外部STBL機會的效用
=下一個區塊支付的獎勵
考慮到問題4,取決于穩定幣持有人對STBL價格的預期以及投資組合y的后續重新平衡。如果穩定幣持有人預期價格穩定,他將增加其持有的STBL或保持其當前持有的股份。另一方面,價格不穩定將導致投資組合權重向外生穩定方向重新分配13。我們討論投資組合配置的變化,因為這些變化會對產生更嚴重的影響。
   
案例1:STBLy0S<y1S的需求增加。為了保持價格穩定,發行算法設置>0。反過來,這增加了總供應量。假設>,礦工應選擇開采一個=1的區塊。值得注意的是,發行算法只需增加采礦獎勵就可以增加以滿足任何需求。然而,這里仍然存在一個問題:是直接支付給礦工的。如果礦工沒有將STBL重新分配給穩定幣持有人,那么即使是發行也會導致價格上漲。相反,如果的設置過高,而礦工直接出售露天礦,露天礦的價格可能會下降。因此,在投資組合分配和礦工決策不可能先驗已知的情況下,找到一個穩定價格的發行算法是非常重要的。
案例2:對STBLy0S>y1S的需求減少。在這種情況下,穩定幣的持有者出售STBL,轉而購買外生穩定幣。發行算法減少,以限制的增加或根本不增加。然而,支付低報酬的問題帶來了兩個截然不同的問題。首先,即使在=0的情況下,如果市場供應過多,仍有可能減少。如果穩定幣持有人和礦商對用1表示的系統有長期信心,短期價格上漲可能仍會受到反作用。然而,第二,如果沒有區塊獎勵,礦工的預期效用可能是負的,因為他們開采區塊的成本只能用長期置信度1來補償。如果礦工們只考慮下一個區塊,那么賬本的活力就會因為“缺口游戲”而犧牲。更糟糕的是,礦工可能會將之前區塊中最有價值的交易分拆開來,繼續賺取回報。如果不存在礦工吸收系統的活力,這也可能會影響穩定幣持有人和礦工對該系統的長期信心。
此外,如果礦工能夠輕松地在不同的鏈條之間切換,他們很可能會放棄目前的穩定幣鏈,轉而選擇一個高回報的鏈條。如果轉換成本很高,例如,如果一個礦工沒有在給定的時間內生產區塊,那么他們就會像PoS系統那樣大幅削減。然而,難以離開也意味著難以加入:一個礦工需要確保他的回報將是積極的預期。通過增加預先的需求,如專業硬件或購買某種貨幣,預期的回報將通過購買成本和維護硬件/硬幣股份的機會成本最小化。
4.1.5進一步變更。
內生性抵押品。我們現在需要考慮內生性COL價格:如果COL的主要用途在穩定幣系統內,則穩定幣代理的行為將對COL產生直接的價格影響。一種方法是將COL價格回報定義為決策變量的函數,并使用此價格公式更新保險庫和穩定幣持有人的目標。這樣,一個驅動隨機變量描述了外界對系統的信任,這將是除了代理決策之外價格函數的輸入。與問題1-2中的函數,一樣,這個價格函數的精確表達在問題中起著重要作用,但是我們可以探索一些不同的市場結構。此外,如果GOV=COL,則治理和保險庫角色可以合并到同一位置。治理也可以是沒有明確標記的外部方,例如由創始公司控制的地址。
算法發行。當穩定幣發行由算法協議自動完成時,保險庫不再是玩家。相反,發行過程變成了對剩余參與者的約束,如問題4所示。發行過程將直接影響治理代幣的價值,在這種情況下,可能值得考慮擁有治理的參與決策。如果所有COL均隱含支持穩定幣,保險角色將納入一般COL持有人持有COL的決定,并因此納入COL定價。如果GOV=COL,那么這一切都歸結于GOV的定價。如果COL的特定投資組合支持STBL,而不是所有COL,那么貨幣市場模型可能是有用的。等模型可用于考慮治理在具有附加攻擊向量的穩定環境中的投資組合和最后手段保險作用。
MEV:礦工額外可提取價值。一些單周期MEV攻擊可以在資本結構框架內建模,方法是將礦工作為第二個治理類型的代理,由后者決定事務的包含和排序。例如,礦工可以從預先作出的短期禁令發行決定中獲得潛在利潤,或通過賄賂來限制其他代理人的行為。對于更豐富的MEV攻擊,我們將在下一節描述區塊鏈分叉模型的適應性。
4.2分叉模型
資本結構模型考慮一個單一的時間步驟:根據代理人的期望,他們將選擇在下一輪中執行某些行動。在這一節中,我們擴展模型來探索多輪代理決策如何影響穩定幣系統的穩定性和安全性。具體地說,我們需要考慮多輪交互中不同代理之間的反饋機制。在這種情況下,代理根據對其他代理的操作的信念和集成算法的輸出來調整其未來的操作。此外,我們認為非定制設計中使用的無許可賬本缺乏最終性。礦工們能夠在賬本的一定深度內對交易進行重新排序并重寫歷史。這也允許代理調整過去的行為。由此產生的分叉模型非常復雜,尤其是在考慮復雜的非托管系統與基礎區塊鏈的組合時。
下面,我們考慮一個更簡單的公式,在基礎區塊鏈和應用層的其他獨立模型之間具有特定的耦合。一層的輸出將作為另一層的外部輸入,反之亦然。例如,在應用層參與中確定的MEV的大小反饋給基礎層的分叉攻擊的激勵,而基礎層的分叉攻擊又反饋給應用層激勵機制中的攻擊概率。通過這種方式,一個復雜的分叉模型可以簡化為更簡單的問題,這些問題可以迭代求解以找到平衡點。本節是非正式的,以便我們描述所需的擴展,但不包括正式問題。
基礎區塊鏈。正如區塊鏈定理中所探討的,礦工們有動機在最長的鏈上進行協調,以增加他們找到下一個區塊的成功率。然而,如果一個礦工已經投資于一個分叉,那么礦工會根據他的既得利益來決定是否轉換到另一個鏈。在討論MEV時,我們需要考慮到這兩種相互競爭的激勵機制,MEV是對礦工向特定鏈條的隱性賄賂。分叉模型可以根據礦工先前的激勵機制來探索賄賂礦工的成功概率。分叉模型認為,已經在分叉上開采的礦工,在投資于岔道時,將有更高的動機接受賄賂,而不是對所有擁有相同激勵的礦工進行建模。另外,文中的設置可以被網絡游戲擴展為隨機動態系統或具有噪聲觀測的全局博弈。此外,我們還可以考慮礦工的風險偏好、自私采礦以及與交易費用相比的區塊回報的影響。
應用層。作為應用程序構建在基礎區塊鏈之上的穩定幣會產生兩個方向的攻擊效果。在一個方向上,應用層創建了MEV,它影響了基礎層的激勵。例如,希望阻止Maker中的清算交易的代理可以向以太坊上的礦工提供另一種代幣支付。此外,礦工自身也能夠從他們確定賬本歷史的能力中獲利,例如,執行套利機會、“時間強盜攻擊”或預言機操縱。先前關于去中心化交易中MEV的研究和數據饋送問題描述了這個方向的一些影響。另一個方向影響應用層的參與。分叉模型可以模擬基礎區塊鏈中外部賄賂的成功概率。如果成功,攻擊將捕獲鎖定在穩定幣中的值。這種攻擊的可能性將對穩定幣的參與激勵產生影響,類似于資本結構模型中的描述。穩定幣參與決策反過來決定了MEV機會的大小,這些機會作為賄賂輸入到基礎層模型。因此,在穩定幣系統中創建的激勵措施會影響基礎區塊鏈系統的安全性,反之亦然。
4.3價格動態模型
我們提供了一個簡單的回顧模型,這些模型探討了更高層次的問題,即非托管穩定的激勵結構是否能夠導致穩定的價格動態。這里的一個挑戰是對代理決策的反饋效果進行建模,如前一節所述。舉例來說,在最密切相關的傳統金融模型中,假設的穩定資產是針對抵押品借入的,而在非托管穩定資產設置中,借入的“穩定”資產具有內生價格和/或參與水平。其他代理人的決定將影響該內生價格和穩定持有者的參與水平。
和構建了外生抵押品系統中內生穩定幣價格的隨機模型,考慮了非完全彈性穩定需求下的去杠桿和清算行為。在這種情況下,考慮到發行涉及對抵押品資產進行杠桿式押注,他們對金庫發行激勵進行了建模。它們說明了穩定市場上潛在的去杠桿化反饋效應,這些反饋效應會導致穩定石油價格的上漲,并描述了穩定市場的穩定和不穩定區域。因此,在危機中,金庫可能不得不支付高于面值的去杠桿化費用。Dai在“黑色星期四”上的行為證實了這一點,實際上是在一年前的中預測到的。
有幾個開放的后續問題。例如,評估去杠桿化事件對穩定幣持有人參與激勵的影響,探索許多保險庫的戰略互動、攻擊的不穩定影響,如前面提到的分叉模型,并擴展到內生抵押品模型。
其他一些文獻也適用于穩定幣的穩定性。和模型加密貨幣抵押貸款平臺。這些不包括對穩定資產市場的反饋效應,但包含了對抵押資產流動性的反饋效應。一個更簡單的不涉及反饋效應的穩定幣問題在中進行了建模。在文獻中,期權定價理論被應用到一個建議的穩定幣中,使用偏微分方程方法對所提出的穩定幣中的部分進行估值,同樣在沒有反饋效應的情況下。一些穩定公司也進行了穩定性分析,盡管這些分析通常范圍有限,并包含大量假設。
4.4代理人、風險偏好和態度
代理的風險偏好,反過來作用他們的行為,是穩定幣設計的中心目標。在附錄A.5中,我們首先描述了一個可以用來模擬偏好的框架,然后概述了兩種可以用來估計代理人風險態度的方法。明確了解代理人的風險態度將有助于改進協議設計和參數選擇。
5從穩定幣到去中心化金融DEFI
在本節中,我們將討論我們的資本結構模型的可能含義。此外,我們概述了本文提出的建模框架如何適用于其他密碼經濟系統,包括復合資產、跨鏈協議、合成資產、抵押貸款協議和去中心化交易所Dex。
5.1可持續性的激勵措施
正如在我們的資本結構模型中所討論的,為了長期維持激勵安全性,治理代幣的價值可能需要與系統增長脫節。尤其是,在長期的“穩定狀態”下,系統增長率不太可能很高。然而,如果治理代幣的價值來自于貼現的未來費用,那么只有在預期增長率實質上很高,并且有可能從未來借款時,才可能提供激勵性保障。如果僅從費用中獲得治理表征性價值,就價值鎖定而言可能很小,因此沒有大的未來增長預期的長期均衡可能是不可能的。相反,系統的其他方可能需要持有治理代幣,以抬高治理代幣令牌的市場價值。這將反饋到其他各方的參與激勵;在這種情況下,也不能保證均衡參與的存在。為了說明這一點,穩定幣持有人可能需要在風險治理資產中持有重要的頭寸,以確保其穩定的頭寸,這可能會破壞其持有穩定幣的目的。這導致我們在模型的背景下對許多當前系統進行了令人沮喪的不可能猜想:
猜想1。在完全去中心化的穩定幣市場中,有多類利益相關方和治理設計的高度靈活性,在現實參數值下,不存在長期參與的均衡。
一個類比有助于說明某些設計的不可能性:如果激勵性證券要求銀行的股票市場價值是存款總額的倍數,那么就沒有儲戶參與。該行的長期市盈率需要在100或1000倍之間,這一推測進一步證明了研究相互激勵機制在選擇正確的穩定方案時的重要性。請注意,預言機激勵兼容性問題也與穩定幣治理激勵問題非常相似。以完全去中心化分散的方式解決這些問題仍然是一個開放的問題。
目前由于穩定幣實現的解決方案本質上集中了治理。這個解決方案依賴于一種形式的機構責任,并轉化為高值。這不一定是個問題;許多傳統金融體系都是這樣運作的。這就是為什么銀行不需要是存款總額的倍數。然而,我們應該公開承認,這種信任線是存在的,而且可能是至關重要的。
5.2復合穩定幣
到目前為止,我們關注的是主要的穩定機制。另一類復合穩定幣包括一籃子初級穩定幣,以進一步吸收風險。最簡單的是ETF穩定幣,它使用ETF套利機制創建/贖回針對籃子的復合穩定幣。
DEX穩定幣的目標是分散風險,同時在各組成部分之間提供交換服務,因此籃子權重隨匯率需求而變化。DEX穩定幣承擔向這些交易所提供流動性的風險。對于基于固定功能做市商的交易所,這種風險在中有描述。其他DEX穩定幣設計建議有限的1對1穩定幣交換。現有的DEX穩定幣承擔著籃子的價值可能會轉移到價值最低的組成部分的價值的風險。
CDO復合穩定幣將穩定幣的風險分為分期付款例如,這個籃子可能有“穩定幣”和“rances”。在結算時,優先份額持有人獲得優先選擇贖回哪個穩定債券,而最低級份額持有人選擇最后一個。因此,初級份額持有人承擔了首個穩定幣失敗的風險,并通過支付利息獲得補償。這種結構引入了一個類似的參與問題:在利息支付的均衡水平下,需要足夠多的代理人愿意采取不同的立場。
正如和中所介紹的,一只基金RDFstablecoin持有一籃子資產,通過套利、費用和其他抵押品用途,隨著時間的推移,這些資產會累積到安全緩沖區。抵押品籃子的目標是1美元,而應計緩沖旨在消除隨著時間推移出現的任何資產故障/偏差。
其他復合穩定幣也可能。所有復合穩定幣的穩定性依賴于不高度相關的主要穩定幣失效。表3總結了復合穩定幣、適用模型和項目的類別。
5.3跨鏈和合成資產
本文的基礎還可以更廣泛地應用于綜合資產和跨鏈資產。在附錄A.6中,我們解釋了目前情況下這些資產類型之間的相關差異,并闡述了我們的基礎如何適用。
5.4貸款協議和DEX
貸款協議。抵押貸款協議的結構與非托管穩定幣類似。我們的模型很容易適應于描述這樣的協議。貸款協議比非托管穩定幣更簡單,因為借出的資產是外生的,而不是協議內生的。這使得系統時延的保護措施更加有效。在非定制穩定幣設置中,除非保險庫可以重新購買穩定幣,否則它無法去杠桿并退出。因此,在發生治理攻擊時,協議中內置的系統時間延遲可能無效,因為穩定幣持有者之間的聯盟可以簡單地等待延遲,從而阻止許多保險庫退出。相反,在抵押貸款環境中,借入資產的外生性的一個重要安全含義是,它可以允許協議參與者在完全實現治理攻擊之前離開協議。典型的借入資產要么有更大的市場,要么是一個保管的穩定市場,在這種情況下,保險庫總是可以通過發行人按面值創建新的穩定資產,以降低杠桿。因此,系統時間延遲可以通過允許參與者在許多即將發生的治理攻擊實現之前退出來保護參與者。
DEXs。有些dex直接或間接地具有治理層。當與存放資產位于同一本地區塊鏈上時,類似于抵押貸款協議,DEX也可能允許參與者在完全實現治理攻擊之前退出。然而,當dex操作自己的區塊鏈并控制其治理,參與者退出攻擊的能力可能會受到根本限制。在后一種情況下,激勵安全性是一個重要的問題,治理和其他參與者的相互參與可以像我們的資本結構模型那樣進行建模。
對于dex,費用與交易量成正比,而治理攻擊的潛在支出與流動性提供者存款成比例。因此,協議設計者感興趣的一個關鍵比率是體量相對于存款。對于DEX,年化交易量可高達100×存款。相比之下,對于抵押品的穩定公司,借款資產應計費用,此類費用可低至存款的1/4。這個400×因子使得針對治理攻擊的激勵安全的可行區域在dex中可能比穩定幣更大。這使得我們在模型的背景下得出以下猜想:
猜想2。考慮到完全去中心化的系統具有多個利益相關方的類別和在治理設計上的高度靈活性,在現實參數值下,DEXs比穩定幣具有更廣泛的可行長期參與均衡。
一種解釋是,從根本上講,在經濟上保護dex免受治理攻擊可能比穩定幣更容易。這一推測還提出了一些方法,可以更好地協調廣泛的穩定市場治理權力:通過對交易/經濟活動征稅,而不是對管理下的資產征稅。當然,這樣的稅收會降低用戶對這些穩定方案的興趣,同時也會增加靈活治理的成本。
6結束語
我們介紹了一個聯系所有穩定幣市場經濟機制的基本框架,并針對傳統金融模型不多的非托管穩定幣市場建立了三類模型。這些模型評估了經濟穩定性和基于激勵的安全措施,考慮到機制運行所需的代理人的相互參與激勵。這些模型考慮了攻擊向量,包括治理、數據饋送、礦工和去杠桿化市場反饋效應。
Tags:穩定幣區塊鏈STB為什么換穩定幣DAI穩定幣是由哪個國家提出的鑄造穩定幣區塊鏈工程專業學什么區塊鏈存證怎么弄區塊鏈技術發展現狀和趨勢STB價格STB幣
外媒:著名的暗網市場,白宮市場,已經放棄了比特幣支付,現在只接受monero。Darknet市場管理員詳細說明,付款處理器阻塞Tor出口節點存在問題,但始終計劃向monero全面過渡.
1900/1/1 0:00:00來源:央視 北京時間2021年1月9日早8時,比特幣價格再次突破4萬美元,并繼續呈現出波動上漲狀態.
1900/1/1 0:00:00如今的過年,可以說想吃什么能買什么,想買什么有什么,雞鴨魚肉,山珍海味已不是稀罕奇缺的東西。羊肉餃子油炸糕這些傳統美食,也不僅僅是過年過節時才能吃到,平素什么時候想吃了可以隨時制做,或是到超市里.
1900/1/1 0:00:00本文轉自; 導語 2020年,一場突如其來的疫情席卷全球,新冠病肆虐,無數人因此喪命。比病更可怕的,是與之相伴的謠言:吃大蒜可預防新冠肺炎、新冠病系人工合成……在舉國抗疫之時,它們卻在制造.
1900/1/1 0:00:00MichaelWu以AmberGroup創始人兼CEO的身份為業內所知,但他更是一位交易老手。他從在達特茅斯學院讀大一時便開始了金融交易;此后,從摩根斯坦利的投行交易員做到五億美金管理規模的對沖.
1900/1/1 0:00:00cybtc.com作者cncoin近期波卡和KSM跨鏈插槽的拍賣得到了市場不斷的預熱,波卡生態的炒作可能會在今年迎來一波熱潮,而波卡也被譽為“造鏈機器”,這使得未來公鏈的開發難度可能會大大下降.
1900/1/1 0:00:00