 BTC/HKD+2.09%
BTC/HKD+2.09% ETH/HKD+1.87%
ETH/HKD+1.87% LTC/HKD+2.25%
LTC/HKD+2.25% ADA/HKD+1.5%
ADA/HKD+1.5% SOL/HKD+0.75%
SOL/HKD+0.75% XRP/HKD+1.29%
XRP/HKD+1.29%前言
上一篇文章中,我們在"F_101"上找到了17個點滿足橢圓曲線方程,他們構成一個循環。那么在"F_101"中元素作為坐標的點中還有沒有其他的點也滿足方程呢?換句話說,上篇文章列出的17個點是不是就是滿足方程的全部的解呢?并非如此,比如可以驗證(3,38)也滿足橢圓曲線的方程,但是他不是上面17個點中的一個。另一個子群
實際上,我們甚至可以通過將(6,44)作為生成元來得到一個102個元素的循環群,這個循環群涵蓋了曲線在"F_101"上的全部點。但是,曲線在"F_101"上的循環周期為17的循環群卻只有中篇列出的一個,也就是說在"F_101"上討論的話,循環周期為17的點已經被我們全部找到了。
在中篇中,我們也提到數域的擴張會直接影響我們需要討論的點的多少,那么如果我們對"F_101"進行擴張,是否能夠得到更多的循環周期為17的點呢?METASTATE的博客中給出這樣一個例子,我們將用這個例子說明這個命題的真假。首先我們選擇滿足j^2mod17=15的j用于對"F_101"的擴張,過程就像我們上一篇文章中進行的那樣,擴張后的域記為“F_101的二次擴域”。在這個擴張下,我們可以找到另一個循環周期為17的群,下面的表格列出這個群的全部元素:
密碼極客成立2000萬美元波卡生態基金Crypdot capital:密碼極客宣布成立2000萬美金波卡生態基金Crypdot capital,資金來自密碼極客社區和部分阿里技術高管,該基金將專注投資polkadot生態項目投資和孵化。據悉,密碼極客在2017年和2019年兩次投資了總計400萬美金的Dot,密碼極客團隊及本次出資的阿里技術高管一致認為polkadot是繼以太坊后最值得關注的web3.0項目之一,Crypdot capital正是基于對web3.0的前景預判成立的。[2020/8/31]
   
我們隨機選擇(66,0+23j)這個元素來驗證其滿足曲線方程:
左側:y^2mod101=^2mod101=23×15mod101=42
密碼專家認定“澳本聰”最新密碼主張是無稽之談:在過去四年中,“澳本聰”克雷格·懷特(Craig Wright)一直在證明自己就是中本聰,但是根據業內密碼學專家評估,克雷格·懷特最近關于比特幣消息簽名是如何工作說法是完全錯誤的。此前一位匿名用戶使用相同密鑰簽署145個公開消息,并斷言克雷格·懷特沒有用于簽署相關信息的密鑰。然而在REIMAGINE 2020虛擬會議上,克雷格·懷特認為“沒有任何消息被簽名,因為你不能擁有匿名數字簽名,你可以運行數字簽名算法,但不是在簽名消息。所以要么必須具有身份屬性,要么必須具有身份才能簽名消息。你不能說‘嘿,我有密鑰,我正在簽名’,如果有這種想法意味著根本沒有理解數字簽名意義。”Symbolical Software應用密碼學家Nadim Kobeissi表示,對克雷格·懷特表述感到非常驚訝,因為數字簽名使用確實是正確的,而克雷格·懷特所所謂'這不是數字簽名工作方式'的主張似乎含糊且存在誤導。約翰·霍普金斯大學副教授兼密碼學家Johns Hopkins也認為,克雷格·懷特的表述對密碼學家來說毫無意義,簡直是胡說八道。(coindesk)[2020/7/24]
右側:x^3+3mod101=41^3=3mod101=42
公告 | 火幣錢包今日啟動“解鎖減半行情財富密碼”系列活動:據官方消息,為讓用戶更加全面的了解即將到來的減半效益,火幣錢包聯合ETC、BCH、BSV、BTC、DASH等各個減半幣種社區發起了“解鎖減半行情財富密碼”的系列活動。據火幣錢包運營團隊介紹,每個系列活動都有新用戶瓜分減半幣種的環節,旨在讓更多用戶了解減半幣種,并體驗減半所帶來的投資機會。第一波活動的主題是圍繞下個月出現減半的 ETC 展開,包括空投和社區 AMA 等系列活動。[2020/2/14]
左側等于右側,驗證完畢。
在發現通過域擴張后還能找到更多的17階點后,我們不禁會想:
繼續對”F_101的二次擴域”進行擴張,能否找到更多的17階點呢?
或者是:為了找到全部的17階點,我們需要對F_101進行幾次擴張呢?
動態 | 重慶年內將組建密碼區塊鏈技術研究院:8月25日,重慶市科技局、重慶兩江新區管委會與迪菲教授團隊及美國加密實驗室團隊簽訂了合作框架協議,三方將在2019年內組建重慶密碼區塊鏈技術研究院。未來五年,頂尖科學家們和國內外的研究團隊將在密碼學、區塊鏈技術、網絡安全、人工智能、云安全等諸多關鍵領域展開研究工作,努力將重慶打造成全國,乃至全球密碼學領域研究的高地。(科技日報)[2019/8/26]
嵌入度其實就是描述這個問題的一個概念。E是定義在F_101上的橢圓曲線,我們已經有一個包含n=17個點的子群,我們稱這個子群的嵌入度是滿足17整除q^k-1的最小的k。在這個例子中,k=2。計算嵌入度的價值在于事實證明,當對F_101進行擴張以期其上的橢圓曲線包含全部17階點時,最小的擴張次數就等于嵌入度。也就是說在”F_101的二次擴域”上,我們已經找到全部的17階元素。
現場 | 劉昌用:密碼技術是無幣區塊鏈和通證的交集:金色財經現場報道,今日西安舉辦的“首屆區塊鏈嘉年華”活動上,重慶工商大學區塊鏈經濟研究中心主任劉昌用認為:密碼共識基礎設施由開發平臺、密碼貨幣和共享存儲組成,通證和無幣區塊鏈雖然不是去中心化體系,但密碼共識基礎設施、通證和無幣區塊鏈也有交集,交集就是密碼技術。他提到,token相當于血液系統,無幣區塊鏈相當于機器人,但區塊鏈行業需要有血液才能流動。[2018/8/26]
Millier循環
下面給出計算雙線性映射的Millier算法,當計算e(P,Q)時,該算法根據P的坐標創建一個二元多項式,然后將P坐標的x和y分量帶入求值:
   
METASTATE的博客中作者已經計算了e((1,2),(90,82u))點的結果為97+89j。我們給出另外一個計算的例子,并且稍后通過對比這兩個例子的結果說明雙線性對的一些屬性。
   
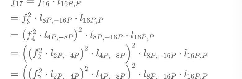
其中f_17是二元的多項式,通過一個稱為Millier循環的過程我們可以生成該多項式,這個過程類似于計算指數運算時的mul-and-square操作。但是為了更直觀的展示原理,我們選擇根據上文定義直接展開計算f_17,這會增加一些計算量。
   
因此我們需要計算
   
的表達式。通過查詢上一篇文章的列表我們可以找出P,±2P,±4P,±8P,±16P的值,其中P=(12,32)=5G:
   
接下來我們來計算這些直線的方程:
   
這樣我們已經可以計算f_17的結果:
   
最后我們計算(81+52j)^600
   
   
完全解決curve101配對問題
實際上,我們可以計算出GT的生成元e(G1,G2),也就是e((1,2),(36,31j)),其值為7+28j。這樣我們能夠完全掌握GT中全部的元素:
   
可以看到GT也是一個循環群,他其實是在“F_101的二次擴域”上滿足方程x^17=1的17個根。根據該表我們不加以計算就可以知道這個配對的任何一個計算結果,例如e((12,32),(36,31u))=e(5G1,G2),因此其值就是上表的第5個元素:93+25j。我們之所以能夠完全解決curve101的配對問題,是因為curve101的一系列參數決定其足夠簡單,而實際零知識證明算法中使用的配對就要復雜很多。例如一些標準中要求其配對曲線的嵌入度至少為12,這意味著GT的元素至少是基礎素域的12次擴張!如果其素域特征為常見的256位,那么為了表示一個GT元素就需要256*12/8=384字節的大小。對于任何一個實際使用的曲線,其計算復雜度和規模都使我們當前絕無可能計算出其映射表,這也是離散對數問題困難的所在。
通過系列文章,我們計算了一個簡單的配對曲線,加深了對雙線性映射的理解。后續,我們繼續使用這個配對曲線來講解和演示零知識證明中Groth16算法的過程和原理,敬請期待。
   
喬沛楊趣鏈科技基礎平臺區塊鏈底層密碼學小組
Tags:區塊鏈DOTMODCAP區塊鏈工程專業學什么女生比較好dot幣價格今日行情非小號mod幣圈是什么意思capt幣價值
10月27日,由萬向區塊鏈實驗室主辦的“2021上海區塊鏈國際周·第七屆區塊鏈全球峰會”在萬向區塊鏈董事長兼總經理肖風博士的閉幕演講中圓滿結束.
1900/1/1 0:00:00巴比特訊,10月29日,區塊鏈游戲平臺Forte和MagnusVentures在BitDAO論壇提出關于投入5億美元構建區塊鏈游戲生態加速器DAO計劃Game7的提案,其中,除Forte外.
1900/1/1 0:00:00據彭博社10月28日報道,QuickNode是邁阿密最新一家吸引主要風險資本投資者關注的加密貨幣初創公司.
1900/1/1 0:00:00Taproot的BTC改進提案(BIP)令人興奮不已,因為它是自SegWit以來,四年來最大的升級。但是,我們需要明確的是,softfork并不會在一夜之間改善網絡的功能和隱私性.
1900/1/1 0:00:00加密貨幣借貸公司BlockFi向美國證券交易委員會(SEC)提交了文件,以推出一個實物支持的比特幣交易所交易基金(ETF),這將開啟加密市場重要的一周.
1900/1/1 0:00:00美國財政部宣布將對加密貨幣交易所Chatex及其支持網絡實施制裁,據稱該交易所為勒索軟件行為者提供交易便利.
1900/1/1 0:00:00