BTC/HKD-0.11%
ETH/HKD-0.11%
LTC/HKD+0.07%
ADA/HKD-0.28%
SOL/HKD-0.33%
XRP/HKD-0.35%風險平價模型
在傳統市場里,風險平價模型(Risk Parity)試圖通過將資金分配到更廣泛的類別,如股票、政府債券、信貸相關證券和通脹對沖(包括實物資產、商品、房地產和通脹保值債券)等,來均衡風險,同時通過金融杠桿作用實現收益最大化。據Bridgewater Associates的首席投資官Bob Prince的說法,傳統風險平價投資組合的定義參數是不相關的資產、低股票風險和被動管理。
關于投資,有一條廣為人知的投資理念是不要把所有的雞蛋放在一個籃子里。那么,如果有人建議你把90%以上的雞蛋放在一個籃子里,你會認為這樣就足夠分散投資了嗎?可是很多傳統的60%的股票和40%的債券的平衡投資組合的人都是這樣做的,盡管60/40的投資組合并不能提供真正的風險分散。
ShelterZoom聯創:區塊鏈技術可以解決人工智能造成的安全風險:金色財經報道,Web3智能文檔和網絡彈性SaaS提供商ShelterZoom首席執行官兼聯合創始人Chao Cheng-Shorland撰文稱,人工智能 (AI) 具有改善人們生活的巨大潛力,但也帶來了可供黑客利用的新攻擊媒介,例如醫院和醫療機構容易遭受勒索軟件攻擊和數據泄露風險,而區塊鏈技術可以作為該問題的解決方案。通過以去中心化和不可變的方式存儲數據,區塊鏈可以拒絕未經授權的修改或篡改用于訓練人工智能模型的數據集。區塊鏈應用程序還可以阻止人工智能濫用未經授權的內容智能生成。由于涉及人工智能的企業經常需要相互發送安全信息,基于區塊鏈的平臺可以促進組織之間的安全共享。區塊鏈固有的安全性和透明度甚至可以通過其不可變和可追蹤的性質來保護所有權,從而幫助打擊深度偽造和其他偽造的人工智能生成內容。[2023/7/26 15:58:35]

美聯儲理事:美聯儲將列出央行數字貨幣的風險和好處:美聯儲理事鮑曼稱,央行數字貨幣可能將令風險和擔憂增多。美聯儲將列出央行數字貨幣的風險和好處,不確定美聯儲有關央行數字貨幣文件公布的時機。目前的美國支付系統是安全高效的,沒有看到創建央行數字貨幣的商業理由。 (金十)[2021/11/9 6:40:00]
來源:
https://en.wikipedia.org/wiki/Risk_parity
為什么會這樣呢,因為“蛋”(風險)的大小是不一樣的。股票的風險是債券的9倍左右。假設股票和債券收益率有每年的標準差分別為15%和5%。那么,從方差來看,股票的風險是債券的9倍。假設我們將6個股票 "蛋 "和4個債券 "蛋 "分別放在兩個籃子里。股票的風險對總體風險的貢獻是93%。
英國央行副行長坎利夫:加密貨幣還沒有開始形成金融穩定風險:英國央行副行長坎利夫表示:從金融穩定的角度來看,采取行動的時機是風險開始形成的時候,而加密貨幣還沒有開始形成金融穩定風險。[2021/7/13 0:48:04]
雖然我們的雞蛋比喻可能看起來很簡單,但它與實際情況相差不遠。例如,從1983年到2004年,羅素1000指數的超額收益率年化波動率為15.1%,雷曼綜合債券指數的年化波動率為4.6%,而兩者之間的相關性為0.2。由此可見,60/40的投資組合在資本配置上可能看起來是平衡的,但從風險配置的角度來看,它是高度集中的。

聲音 | 法國央行副行長:穩定幣可改善支付系統 但存在風險 須予以解決:法國央行副行長Denis Beau近日指出,盡管穩定幣為改善支付系統提供了機會,但也可能帶來相當大的風險,必須予以解決。其為監管機構制定穩定幣采用政策提出了三項建議。1.法國和歐洲監管機構應對穩定幣創新可能帶來的積極潛在影響作出回應;2.監管者需站在國際角度來協調監管框架;3.政策制定者應進行現場試驗等措施,以解決當前支付和結算領域的不足。Denis Beau表示,盡管如此,但我們應該對包括金融行業在內的各種創新保持開放的態度,并進行深入了解,如試驗等措施。(forbes)[2020/2/1]
模型的計算
事實上風險平價的實際推導過程蘊含著不同資產的長期表現與復雜的數學求解,它基于一個長期觀察的假設,即大類資產的Sharpe Ratio (單位風險的收益) 是接近一致的。如股票、債券、黃金及其他大宗商品1971-2009年的Sharpe Ratio都在0.3左右。Bitcoin的5年滾動Sharpe ratio為1.25——從這個角度來看看未來數字貨幣興許將迎來更低的收益或更高的風險。

來源:Messari
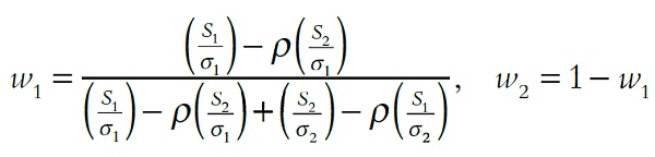
風險平價的本質實際是假設各類資產的Sharpe Ratio長期趨于一致去尋找投資組合的長期Sharpe Ratio的最大化。我們不妨看一個最簡單的例子,假設兩個資產的Sharpe Ratio分別是S1與S2,他們的波動率分別是σ1與σ2,他們的相關性為ρ。兩種資產的風險貢獻分別為RC1與RC2,投資策略組合的Sharpe Ratio為SR。



來源:Newbloc 資產組合的Sharpe Ratio及其導數
通過對資產組合的Sharpe Ratio(藍色),及其導數(紅色)分析和運算可知在當前的假設下兩種資產的資金配比分別為以下比例時產生的Sharpe Ratio是最大的。

在數字貨幣市場中的實踐
Newbloc, 基于AI的量化交易系統,通過機器學習,挖掘市場特征,通過歷史和實時數據訓練交易決策引擎構建了包括因子、套利、對沖、趨勢四大類幾十種子策略。基于Newbloc資管團隊在傳統金融市場中的風險平價模型的研究,我們將其運用在復合類策略的構建與優化之中,旨在獲得最大的單位風險收益。以下是子策略自2019年1月1日以來的表現。可以看到從單策略長期的表現來看最好的Sharpe Ratio是2.61, 最好的最大回撤為16%。通過平價模型優化的策略組合年化為132%,最大回撤可以控制在10%以內。

來源:Newbloc

文 / New Bloc CIO 馬潔
Tags:ARPRATRATIOSHAarpa幣是哪個國家的strat幣價格Ratio ProtocolBasis Coin Share
文章系實盤大V uTy 供稿,發表言論僅代表其個人觀點,僅供學習交流!金色盤面不會主動提供任何交易指導,亦不會收取任何費用指導交易,請讀者仔細甄別,謹防上當.
1900/1/1 0:00:00南強北弱,這一格局是中國經濟發展現狀,亦是國內各省市區塊鏈發展現狀。5月初以來,貴州省發布了加快區塊鏈技術應用和產業發展的意見;廣州印發了推動區塊鏈產業創新發展的實施意見;湖南印發了區塊鏈產業發.
1900/1/1 0:00:00區塊鏈涉及5G、大數據、人工智能、工業互聯網等領域的新基建產業機會很多,比如新基建當中數據的產生、采集、確權、流轉以及交易等問題都離不開區塊鏈.
1900/1/1 0:00:0001 文化傳媒產業總覽隨著互聯網與傳統媒體的深度融合,傳媒產業已經成為中國數字經濟的重要組成部分.
1900/1/1 0:00:00Bakkt和紐約證券交易所的母公司洲際交易所的前首席執行官、美國參議員凱利·洛夫勒(Kelly Loeffler)已將有關其交易活動的文件交給了美國司法部,美國證券交易委員會(SEC).
1900/1/1 0:00:00Overview 概述 Staking 幾乎是區塊鏈世界最特殊的產品,它提供了可預期的現金流和相對固定的收益。即便這樣類似于傳統金融市場債券的產品,背后依然隱藏了容易被忽視的風險.
1900/1/1 0:00:00