BTC/HKD+1.32%
ETH/HKD-1.19%
LTC/HKD+0.54%
ADA/HKD-0.98%
SOL/HKD-0.07%
XRP/HKD-2.22%從數學角度論證和解釋 Uniswap 創始人與 Paradigm 研究團隊設計的全新做市模型 TWAMM 的工作原理。
最近,Paradigm 研究合伙人 Dave White、Dan Robinson 與 Uniswap 創始人 Hayden Adams 一起合作設計了一個全新的做市模型「時間加權做市商 TWAMM」(The Time-Weighted Average Market Maker)。根據其發表文章介紹,TWAMM 可以在以太坊上有效地交易大額訂單,工作原理是將長期大額訂單分解為無限多個無限小的虛擬訂單,在一定時間內使用嵌入式 AMM 平滑地執行這些交易。
關于 TWAMM 的虛擬交易所涉及的數學,Dave White 在文中并沒有多費筆墨,只在最后給出了非常簡單的數學結論,這對于理解 TWAMM 的數學原理非常不利。本文將重點對 TWAMM 的數學原理進行嚴格的論證和解釋,至于 TWAMM 模型詳細的設計原理,可以前往 Paradiagm 官網查看,本文不再做詳述。
Jirnexu聯創推出加密貨幣基金公司Halogen Capital:7月27日消息,馬來西亞金融科技公司Jirnexu的聯合創始人Hann Liew和Lucas Ooi宣布成立加密貨幣基金管理公司Halogen Capital。據Halogen網站稱,其客戶的資產將通過馬來西亞證券監督委員會 (SC) 注冊的受托人得到保護。Halogen已推出的特色基金包括Halogen Shariah比特幣基金,能夠以機構質量的方式獲取符合伊斯蘭教法的現貨比特幣,以及Halogen Shariah林吉特收入基金,以最小的資本風險獲得穩定的收入。[2023/7/27 16:02:03]
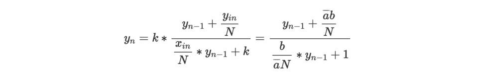
假設 TWAMM 執行大額虛擬交易需要 N 個區塊,出售 X 的池子以每區塊 xrate 的速率出售,而出售 Y 的池子以每個區塊 yrate 的速率出售。因此,在整個期間售出的 X 總量為 xin=Nxrate,售出的 Y 總量為 yin=Nyrate。
第110次以太坊ACDC會議:CL客戶端團隊正考慮將EIP 4788納入Deneb升級:6月4日消息,據 Galaxy 研究副總裁 Christine Kim 記錄報道,以太坊核心開發人員于本周召開了第 110 次全核心開發人員共識 (ACDC) 電話會議。開發人員在會上討論和協調對以太坊共識層 (CL) 的更改。本周,以太坊基金會研究員 Dankrad Feist 介紹了一項關于以太坊主網節點傳播大量數據的能力的數據實驗結果。根據他的發現,他建議將 EIP 4844 規范從每個塊最多 4 個 blob 增加到 6 個。
此外,CL 客戶端團隊正在考慮將 EIP 4788 納入 Deneb 升級。據悉,EIP 4788 為智能合約和去中心化應用程序 (dapps) 引入了一種信任最小化的方式來訪問 CL 和驗證者余額、活動和獎勵等信息。[2023/6/4 11:56:33]
同時,我們將此時間段嵌入 AMM 的初始儲備 xreserve 和 yreserve 分別表示為 x0=xammStart 以及 y0=yammStart。
福布斯:捷克有效利他主義團體使用FTX捐贈的350萬美元購買百年城堡:2月28日消息,據福布斯發文稱,捷克非盈利教育組織兼有效利他主義團體ESPR在獲得FTX基金會450萬美元捐贈后,使用其中350萬美元在捷克購買了一座百年城堡。[2023/3/1 12:35:03]
按照 TWAMM 的設計,大額訂單是隨著區塊進行交易的,每個區塊出售 xrate 得到 yout,或者出售 xrate 得到 yout,同時 AMM 會更新 xreserve 和 yreserve 的值,整個過程總共交易 N 次。
值得注意的是,AMM 的每個區塊交易總是遵循恒定乘積做市。

Jack Dorsey將每年向Signal捐贈100萬美元,以示對開放互聯網發展的支持:12月14日消息,Twitter 創始人Jack Dorsey表示,他將每年向加密消息應用程序 Signal 捐贈 100 萬美元,以示對開放互聯網發展的支持。其表示,社交媒體不應掌握在單個實體或組織手中,社交媒體空間應該對企業和政府的影響具有彈性。只有原作者可以刪除他們制作的內容。其還承認,他曾經的失誤無意中給 Twitter 的內部結構賦予了過多的權力,而不是它的用戶。[2022/12/14 21:44:45]
首先,在執行第 n-1 區塊的交易后,我們假設此時 AMM 的 xreserve 和 yreserve 值分別為 xn-1 和 yn-1。
接下來執行第 n 區塊的交易,X-Pool 和 Y-Pool 分別向 AMM 輸入 xrate 和 yrate,命:
日本博報堂與波卡平行鏈Astar開發商成立Web3合資公司:12月5日消息,日本大型廣告與傳播集團博報堂宣布,將與波卡平行鏈Astar Network開發公司Stake Technologies成立Web3合資公司“博報堂キースリー”。新公司將通過Web3黑客馬拉松的策劃和管理來促進新服務的開發。在開展以Web3相關服務開發為主題的黑客馬拉松過程中,キースリー將利用博報堂的網絡招募贊助商。
此前3月份消息,日本博報堂發布應用區塊鏈和NFT的新項目“博報堂 DY Play Asset”。(Coinpost)[2022/12/5 21:22:49]

因為 xrate 和 yrate 非常微小,且區塊的交易 AMM 遵循恒定乘積做市商,我們可以得到,

化簡,

在得到 xout,n 和 yout,n 的值后,我們進一步可以獲得 n 區塊的交易后 AMM 的 xreserve 和 yreserve 值 xn 和 yn,

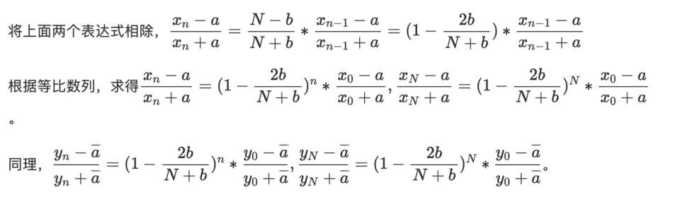
通過觀察,我們發現 xn*yn=xn-1*yn-1,這正好符合 AMM 的循恒定乘積做市的前提要求。
令, xn*yn=xn-1*yn-1=...= x1*y1=x0*y0=k,這是一個常數。
先對 xn 求得一般公式,并獲得 xammEnd=xN 的值,yn 同理。

yn 的分式線性遞歸表達式如下:

首先,若 yin 等于 0,xin 不等于 0,則


計算得到,

而,

xin 等于 0,yin 不等于 0 時,討論同上。
若 xin 和 yin 都不等于 0,對于一般的分式線性遞歸,我們可以采用不動點的方法求解。

進一步計算,

TWAMM 的基本假設是將長期大額訂單分解為無限多個無限小的虛擬訂單,也即是 N 可以取無窮大,這時候可以獲得 xN 的極限值。

其中,

相似的,

最后,經過簡單的驗證 xammEnd*yammEnd=xammStart*yammStart=k, 依然滿足 AMM 的恒定乘積。
至此,我們完成了 TWAMM 的數學原理嚴格的論證和解釋,并得到了與 「時間加權做市商 TWAMM」 一文完全相同的結論。
撰文:luffy
DeFi流動性挖礦火爆一時,吸引了大量投資者參與。為了方便投資者及時了解DeFi挖礦項目的相關信息和挖礦流程,金色財經推出了“金色說明書”系列挖礦教程。本文由金色財經和Themis合作推出.
1900/1/1 0:00:00近期幣圈公鏈生態可謂百花齊放,盡管BTC行情有所回調,但市場對新公鏈項目參與的熱情并未受到太大影響,尤其在SOL、FTM、LUNA、AVAX等公鏈代幣的持續大漲刺激下.
1900/1/1 0:00:00DeFi的黑暗藝術仍然是最有利可圖的。下面是我們至今遇到過最具戲劇性的故事之一。一個虛假魔術,混亂及指控的故事,導致了迄今為止最大的DeFi黑客事件.
1900/1/1 0:00:00《How to DeFi:Advanced》是CoinGecko出版的DeFi經典讀物《How to DeFi》?的進階版.
1900/1/1 0:00:00據Cointelegraph 5月14日報道,美國證券交易委員會(SEC)數字資產和創新顧問Valerie Szczepanik在5月13日舉行的2019年共識大會上表示.
1900/1/1 0:00:00據cryptoslate.com報道,華盛頓州州長杰伊·英斯利上周簽署了SB 5638法案,“承認分布式分類帳技術的有效性”.
1900/1/1 0:00:00