BTC/HKD-4.45%
ETH/HKD-2.91%
LTC/HKD-6.72%
ADA/HKD-5.68%
SOL/HKD-8.95%
XRP/HKD-4.46%本文分析了2022年區塊鏈的主要趨勢,“NFT-Fi”將定義2022年,創新DeFi和質押協議的開發,多鏈互操作性解決方案的興起,L2上DeFi的采用增加...
2021年對區塊鏈來說是非凡的一年。加密貨幣市值超過3萬億美元。NFT越來越受歡迎,交易量超過230億美元。美國推出首只比特幣期貨ETF。薩爾瓦多將比特幣作為法幣。以太坊改變了收費方式。DeFi總鎖倉價值(TVL)超過2000億美元,同比增長了7倍。許多新鏈也在這一年誕生,區塊鏈錢包用戶增至7000萬。
近期加密貨幣被用作一種對抗監管的跨境匯款方式。烏克蘭戰爭爆發后,盡管加密市場最初受到重創,但現在已反彈至之前水平。自戰爭開始以來,烏克蘭軍隊不斷收到加密貨幣捐款。而在加拿大卡車司機抗議活動中,抗議者在被GoFundMe等傳統眾籌渠道屏蔽后,收到了加密貨幣捐款。人們未來可以使用加密貨幣為慈善事業捐款,這是傳統金融基礎設施無法實現的。

加密貨幣采用的大量增加有利于區塊鏈生態系統多個領域的發展,包括區塊鏈基礎設施的改進、區塊鏈應用程序的開發、更主流且對開發人員友好的編程語言的采用以及監管和機構采用的增加。該報告分析了2022年區塊鏈的主要趨勢。
區塊鏈領域的改進
2022年,隨著新Layer 1 (L1)區塊鏈的引入,以及共識協議、交易成本、交易時間和代幣經濟的改進,預計區塊鏈領域將獲得進一步的發展。與此同時,Layer 2(L2)解決方案也有望取得進步,這將進一步提高現有L1解決方案的可伸縮性,更加關注橋接解決方案的開發,用戶進行跨鏈轉賬將更為簡便,從而實現多鏈化未來。對可拓展性的關注,即以更快速度處理更多交易的能力,將決定誰會在L1和L2解決方案角逐中獲勝。
1.多鏈互操作性解決方案的興起
2021年出現了多個L1區塊鏈和L2解決方案,對跨鏈流動性的需求一方面成為區塊鏈被廣泛采用的明顯瓶頸,但這也提供了重要的發展機遇。
從2017年到2021年,幾個旨在提高交易速度并降低成本的L1和L2解決方案相繼問世,其中最知名的區塊鏈包括Polygon、Avalanche、Optimism、Terra和Solana。這些區塊鏈利用智能合約功能,吸引了開發人員構建多個開源金融應用程序和游戲等。

為了利用不同區塊鏈的獨特特征,如交易成本和等待時間,并使投資回報最大化,跨鏈轉賬能力變得至關重要。
目前存在一種趨勢,即去中心化交易所(DEX)聚合器,比如Paraswap,通過跨DEX交換幫助用戶獲得最優價格,開始與跨鏈橋集成,不僅允許用戶交換同一個區塊鏈上的代幣,還允許用戶跨鏈交換代幣。對于未在多個鏈上部署的應用程序,有一些跨鏈解決方案可以解決這些問題,如Symbiosis Finance、Multichain或Atlasdex。Multichain是一種跨鏈代幣轉移協議,已經跨幾個鏈吸引了超過77億美元的總鎖倉,有助于促進跨鏈轉移和本地交換。
一些最知名的DeFi應用,如Aave、Curve和Uniswap等,最初只部署在以太坊區塊鏈上,但現在已經在多個區塊鏈上部署。這意味著,用戶不必為了與特定應用程序交互而在其他區塊鏈之間轉移流動性。
2.DEX用戶體驗和資金配置效率的改善
今年,去中心化交易所(DEXs)的用戶體驗在易用性和資本效率方面講有所改善。
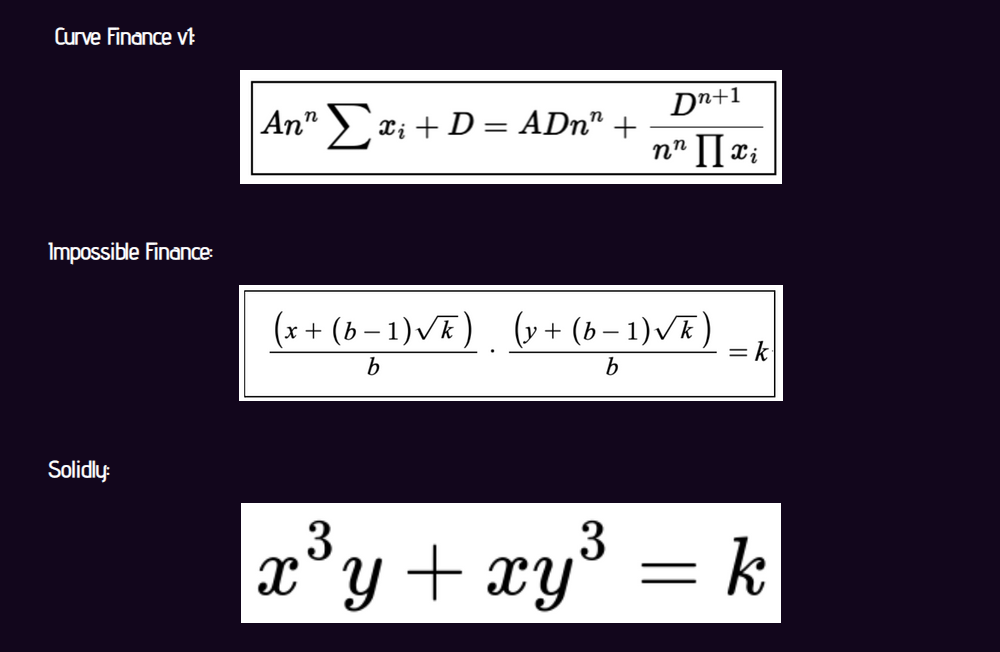
DEX的底層算法將變得更加復雜。Uniswap遵循一個簡單的定價算法x * y = k(常數乘積公式)。其中x和y是組成流動性池的兩種代幣的各自數量。雖然這很容易理解,但它對類似資產的交易有相對較大的價格影響,從而導致虧損。
Citadel Securities指控前雇員創建Portofino時竊取商業機密:金色財經報道,做市商Citadel Securities起訴了兩名前雇員,此前兩人離職成立了一家加密貨幣做市商公司Portofino Technologies。根據周三提交的一份起訴書,該公司聲稱,Leonard Lancia和Alex Casimo還在Citadel Securities工作期間,便已開始籌集資金并建立他們的高頻交易公司Portofinos,同時還能獲得專有信息。該公司正在尋求審判,以確定經濟損失的程度和可能的賠償。去年9月消息,加密做市商Portofino Technologies完成5000萬美元融資,Valar Ventures、Global Founders Capital和Coatue參投。
據悉,該公司由Citadel Securities前高管Leonard Lancia和Alex Casimo于2021年4月創立。Portofino正在開發數字資產高頻交易技術,并已經在CEX、DEX以及場外交易中完成數十億美元交易。該公司可能會與Wintermute、B2C2和Jump Trading等其他加密貨幣做市商競爭。[2023/5/18 15:09:59]
許多新的DEX對算法/曲線進行了改進,使其更加復雜但也更為高效。一些著名的例子包括:

這些算法尋求降低對交易的價格影響,即當用戶將一個代幣交換為另一個代幣時,代幣X相對于代幣Y價值的波動較小。這些新的轉換算法允許小額交易的價格可以保持在更穩定的水平(大約在1左右),確保價格影響較小,同時允許創建更小的流動性池。
許多DEX都采用了訂單簿模型。Uniswap v3已經將經典的自動做市商(AMM)模型轉變為一種更接近于訂單簿的模型,流動性供應商能夠將其流動性限制在特定的價格范圍內。這被稱為集中流動性。
dYdX是一種采用訂單簿模型的新型DEX。dYdX的總鎖倉價值(TVL)正在迅速上升(2021年11月為11億美元),并且交易量已經接近Uniswap的水平(Uniswap的日交易量約為13億美元,而dYdX的日交易量約為9.5億美元)。然而,Uniswap的營收仍遠高于dYdX,其日內最高營收達到1770萬美元,而dYdX的日內最高營收僅為680萬美元。Sushiswap計劃在未來推出一款類似產品,而更多DEX很可能也會效仿。

為改善用戶體驗,DEX領域也做出了其他一些改進,如單邊流動性部署、非永久性虧損保險、批處理和交易凈額、限價訂單、杠桿交易和采用L2解決方案。
3.L2上DeFi的采用增加
截至2021年12月31日,各種去中心化應用(dApp)的資產已超過2410億美元。借貸協議,如MakerDAO、Aave、Curve和Anchor Protocol居于領先地位,約占總鎖倉價值(TVL)的25%。截至2021年12月31日,像Uniswap、PancakeSwap、spookswap、Serum等去中心化交易所也創造了130億美元的TVL。
除了L1 區塊鏈TVL實現迅速增長,得益于流動性挖礦的高收益,自2021年上半年以來,L2解決方案的TVL也顯著增加,其中的佼佼者為Polygon,其TVL迅速從1億美元上升至最高峰的80億美元。Arbitrum、Optimism和更多L2解決方案在2021年下半年發布,并獲得了DeFi參與者和開發者社區的大量關注。

算法股票投資平臺Delphia為其平臺添加數字資產功能:9月28日消息,算法股票投資平臺Delphia為其平臺添加數字資產功能,允許用戶獲得實用性代幣Phi (PHI)獎勵。
此前消息,算法股票投資平臺Delphia完成6000萬美元融資,Multicoin Capital領投。(CoinDesk)[2022/9/28 5:58:41]
隨著越來越多市場參與者進入數字資產世界,并參與新應用程序的開發,DeFi領域正迅速變得擁擠,導致交易成本增加和交易速度降低。隨著區塊鏈的參與者越來越多,這些問題將繼續惡化,主要的L1區塊鏈將迅速飽和。因此,大多數L1區塊鏈的gas費用將會上漲。

Gas費用的高波動和延遲將導致交易滑點,而這也將成為以太坊的一個永恒難題,因此越來越多的人將大量資產轉移到不同的層。
L2解決方案和側鏈的出現不僅提高了交易速度,還節省了gas費用,DeFi領域的發展將更為強勁。到2022年,預計會有更多的DeFi應用程序采用L2解決方案。L2解決方案(如Arbitrum、Optimism和Boba)TVL的增加有力地證明了社區已經開始接受rollup。
隨著交易速度提升、費用降低以及Optimism V2等創新,將L1智能合約部署至L2的過程將得以簡化,因此可以充分相信在不久的未來,所有主要的代幣都將推出L2版本,而橋接將確保它們能夠有效地在不同層之間移動。
除了區塊鏈基礎設施的主要發展,多個區塊鏈應用程序也在2021年呈現了巨大繁榮,并將在2022年繼續增長。下面將詳細闡述這些應用。
3.“NFT-Fi”將定義2022年
多個平臺的NFT交易額已超過230億美元,其中OpenSea占據領先地位。2021年第三季度NFT的交易量超過100億美元,幾乎占2021年NFT總交易量的一半。
借貸/擔保NFT技術將主導該領域,并將與代幣交換市場競爭。2021年,NFT進入公眾視野,并對藝術界產生了重大影響,還獲得了主流的認可。到2022年,NFT可能會延續這一趨勢。Swap.Kiwi等公司允許在托管賬戶中與其他各方直接交換NFT。NFT不僅可以將資產代幣化,還可以將頭寸代幣化。例如,大型機構可以將其在流動性池中的現有頭寸創建代幣,無需先平倉便可進行互換,然后交易這些資產。此外,Taker Protocol等公司正允許用戶使用NFT作為抵押來借錢,使NFT持有者能夠獲得流動性。
2021年,75%的NFT交易是在以太坊上進行的。到2022年,NFT交易可能會轉移到其他L1和L2鏈,包括Ronin、Flow、Immutable和Solana。允許NFT跨鏈轉移的多鏈解決方案將重新定義該領域。自Solana及其NFT交易市場于2021年下半年推出以來,Solana的NFT總交易額已超過13億美元,其中SolanArt處于領先地位。與此同時,Polygon已經完成超過4.8億美元的NFT交易,其中4.13億美元來自OpenSea,這主要得益于用戶能夠通過OpenSea平臺直接在Polygon發布NFT。
NFT在游戲中的應用將是另一個重點。游戲道具的交易將催生多種商業模式,如強調道具性能、稀缺性和實用性的鏈上分析。
NFT應用于DeFi的一些例子包括:
Uniswap V3中的流動性提供者頭寸由NFT表示,因為它們是不可替代的。
NFT平臺Ubisoft Quartz允許人們使用加密貨幣購買稀缺的數字產品。
加州大學伯克利分校拍賣了兩項諾貝爾獎發明專利的NFT:CRISPR-Cas9基因編輯和癌癥免疫療法
NFT作為參與獨家活動的門票
韓國加密金融公司Delio與Blockdaemon合作推出零售質押服務:9月23日消息,韓國加密金融公司Delio與區塊鏈基礎設施提供商Blockdaemon達成合作,在Delio現有的貸款、存款等加密銀行產品之外,Blockdaemon為Delio提供了以零售為重點的質押服務。[2022/9/23 7:16:24]
藝術家向粉絲出售音樂流媒體版權,并允許粉絲分享流媒體版權
5.加強對安全的關注
2021年,共有140億美元的加密貨幣被盜,再次創歷史新高。而DeFi平臺總共被盜22億美元。這個數字令人擔憂,并且可能會阻止機構參與鏈上協議。
中心化市場Crypto.com和Wormhole協議都成為了黑客的最新目標。據Crypto.com披露,2022年1月17日,約有價值3000萬美元的比特幣和以太坊被盜,大約500名用戶的賬戶被攻擊。Wormhole協議允許用戶在以太坊和Solana區塊鏈之間轉移資產,該協議于2022年2月2日遭到黑客攻擊,損失約3.2億美元。這些黑客攻擊事件表明,數字資產平臺在被更廣泛的采用之前,還有很多工作要做。
由于加密項目的開源性質,白帽黑客將在保護生態系統方面發揮重要作用。在ETHDenver 2022年大會上,白帽黑客Jay Freeman發現了L2解決方案Optimism代碼的一個關鍵漏洞,他強調了漏洞獎勵對于激勵白帽黑客和抑制惡意黑客的重要性,有利于提高整個系統的安全性。白帽黑客積極參與尋找漏洞,公開聯系團隊,或攻擊平臺并返還資金。在2021年8月Poly Network的6億美元黑客事件中,白帽黑客將資金返還給了項目團隊,并隨后接受了該項目提供的一份工作。
隨著加密貨幣的普及,詐騙將不可避免。例如,一些無聊猿(BAYC)持有者被誘騙以低價出售了他們持有的BAYC,因此加強用戶在網絡安全和區塊鏈操作安全方面的教育變得至關重要。
隨著更多資金被部署到DeFi協議上,安全審計必須引起重視。隨著更多DeFi創新的產生,更多漏洞將被發現,這將反過來推動安全方面的創新。隨著監管要求趨于嚴格,鏈上安全將引發更大關注。
6.創新DeFi和質押協議的開發
DeFi
2021年,Uniswap V3的做市商賺取了2億美元的傭金,并遭受了2.6億美元的暫時性虧損,其中凈虧損6000萬美元,占傭金收入的30%。為巨大的暫時性損失(由于代幣的波動性而造成的損失)尋找解決方案將成為2022年的重點。在Univ3中管理LP頭寸比UniV2復雜得多,算法將根據鏈上和鏈外的不同數據點調整流動性范圍。對精確索引協議的需求也將增加。像Chainlink這樣的協議也將被更多使用,并面臨更多競爭。為減少暫時性損失,將建立更多解決方案。
雖然在2021年,NFT和元宇宙受到了大量關注。到2022年,市場對DeFi領域新協議的興趣將重新點燃。更傳統的金融應用,如利率掉期、期貨、對沖基金和保險將在區塊鏈上推出。全新的協議也將出現。
許多新項目將從Curve的代幣經濟以及它幫助Convex 和Votium等協議演進的方式中獲得靈感。Curve的代幣經濟允許用戶投票決定哪個池子獲得CRV獎勵(利息)。
根據目前的使用趨勢,以太坊主網將變得更加昂貴,這將進一步提高主網的使用門檻,而L2對新手則更為有利。最終,只有鯨魚和專業交易者才能使用以太坊主網。甚至新的DeFi協議也更適合專業人士使用。例如,集中的流動性對做市商確實有好處,但對散戶交易者則并不友好,因為他們的利潤會因為額外的交易費用而大幅下降。
質押
新的流動性質押協議將推出,允許人們在不同的區塊鏈和項目中質押代幣,然后使用這些質押代幣的衍生品(稱為流動性質押代幣)參與DeFi。這些流動性質押代幣將由當前持有和鎖倉的代幣支持。
分析 | Delphi Digital:以太坊新經濟模型不足以保證其網絡安全:據The Next Web報道,Delphi Digital的一份報告顯示,以太坊的成功歸結于正確地激勵持有者鎖定他們的加密貨幣。2018年下半年,新代幣的銷量已大幅下降,這也導致ETH市場缺乏根本的購買力。由于可供購買的基于以太坊的ICO要少得多,散戶投資者購買ETH的動機也就更少。現在甚至有項目售出ETH以籌集資金,這進一步放大了這種效應。研究人員認為,這是以太坊整體價格下跌的一個重要因素。 此外,研究人員表示,他們對以太坊長期生存能力最大的擔憂之一是驗證器的凈收益率。使用目前的模型,在考慮了股權成本后,他們認為驗證器的收益率可能太低,從而無法獲得大規模的吸引力。以ETH計價的年收益率低于3-4%,考慮到其他投資機會的風險回報權衡,可能會阻止那些有能力確保以太坊網絡安全的人加入。[2019/3/8]
例如,ETH-merge將使用質押證明 (PoS)的方法來驗證以太坊交易。人們會開始使用stETH等流動性質押代幣來持續賺取利息,目前年化收益率為4.4%左右。
7.DAO的崛起
去中心化自治組織(DAO)與傳統組織類似,不同之處是DAO的管理規則由智能合約編寫和執行,并且DAO的所有交易對區塊鏈上的任何人都是公開可見。DAO已經獲得了巨大的關注,他們通過融資來購買高價商品,比如足球和高爾夫俱樂部,甚至是美國憲法的13份原件之一。
到2022年,DAO將證明可以集體構建更多的業務模型,比如TreasureDAO。這是Arbitrum上一個成功的NFT市場,專注于收益平等分配和社區所有權。在新的一年里,隨著BitDAO持有的流動資金超過25億美元,DAO資金管理將變得比以往任何時候都更加重要。BitDAO變成了一個Master DAO,構建社區,購買世界多個DAO的少數或多數股權。BitDAO與世界知名大學合作,組成eduDAO,用于推動研究、發放項目資助和開發新產品。DAO還將更廣泛地用于捐贈,旨在支持烏克蘭的UkraineDAO已獲得大量捐款,而旨在為朱利安·阿桑奇法律費用籌資的Assange DAO已經籌集到750萬美元。
與此同時,更多科技公司將轉向去中心化組織,其中不僅包括小型公司,還將包括大型公司。Shapeshift等公司已成功實現從中心化實體轉變為去中心化實體,并將此前的股東權益代幣化,空投給超過100萬名Shapeshift用戶,這是加密貨幣歷史上最大的空投。
DAO為協議和平臺提供了一個快速籌集資金和機會,同時可以讓更多社區成員參與決策過程。這可能會促使新協議和現有協議進行ICO,例如L2(如Boba)和DEX(如Sushiswap和Uniswap)推出Boba、SUSHI和UNI代幣。
盡管允許人們集中投資的DAO越來越受歡迎,但它們并非新生事物。“The DAO”是第一批讓用戶集中資金進行投資的DAO之一,它于2016年推出,已經從大約1.1萬名投資者手中籌集了1.5億美元,但由于智能合約中的一個漏洞,The DAO資金被盜,而這一事件導致了2017年以太坊的硬分叉。
DAO存在的一個共同問題是社區規模擴大導致的決策進程緩慢和任務管理不善。圍繞DAO管理的服務工具將變得越來越重要,并成為防止DAO社區對資本管理不當的關鍵因素。
8.去中心化游戲/P2E經濟的大規模投資和元宇宙
2021年,游戲領域共有三大主題,分別為“邊玩邊賺”(P2E)、游戲公會和鏈游Axie Infinity的代幣經濟。鏈游區塊鏈Flow已經誕生了一段時間,但Axie Infinity近期為所有即將發行的游戲創造了自己的生態系統區塊鏈。
開發商選擇在區塊鏈上開發游戲,為玩家提供低成本交易、快速執行和結算,從而可以吸引大量用戶。目前,只有某些元素是直接部署在鏈上的,如代幣和NFT。基礎設施公司為這些功能提供支持,如Stardust為用戶外包NFT管理。到2022年,可能會有越來越多的傳統游戲,如國際象棋和西洋雙陸棋轉向P2E模式,并完全部署在鏈上,包括計算和圖形。
動態 | 美國SEC與EtherDelta創始人達成的和解:據coindesk消息,美國證券交易委員會(SEC)與EtherDelta創始人達成的和解,EtherDelta創始人Zachary Coburn在不承認或否認這些指控的情況下,同意根據和解協議支付總計38.8萬美元的罰金、遣散費和利息。[2018/11/9]
2022年,將有更多游戲直接部署在鏈上,提供永久存儲并支持不同級別的NFT在游戲市場上交易。Animoca Brands在區塊鏈游戲領域處于領先地位,他們目前擁有8款基于區塊鏈的游戲,包括虛擬世界,Sandbox(該游戲獲得了軟銀等公司的大量投資,并與阿迪達斯和雅達利等品牌合作)。Animoca Brands還與F1方程式賽車和知名足球俱樂部(如拜仁慕尼黑和曼城)合作推出NFT收藏品系列。未來還將繼續看到致力于游戲和NFT項目的區塊鏈娛樂工作室的崛起。
此外,2022年還將有更多傳統游戲公司(如EA、動視暴雪等)的游戲開發者進入區塊鏈游戲領域。盡管如此,許多正在開發中的P2E游戲將不得不在上市時間和游戲質量之間做出權衡。
2022年將顯示哪些區塊鏈最適合游戲開發。Flow已經證明了其適合部署游戲,然而其他區塊鏈,如Solana(低交易成本和高吞吐量)仍具有很大的的靈活性。
因為基于區塊鏈的游戲要求玩家擁有該游戲的原生NFT,然后允許玩家在玩游戲時賺取代幣,這也導致了一種狀況,即一些玩家沒有足夠資金購買游戲的原生NFT。這便產生了獎學金項目,即游戲NFT所有者將它們借給玩家,稱為“學者”。這些學者隨后會在游戲中投入時間并獲得獎勵。然后,獎勵將在學者和游戲NFT所有者之間進行分配。這也催生了游戲公會。Yield Gaming Guild就是一個典型的例子,該公會成立于2018年,擁有10萬名會員,18500名Yield Guild徽章持有者,32名獎學金經理,以及超過1萬名Axie Infinity學者,遍布東南亞、印度、拉丁美洲、巴西和歐洲。
公會經理需要確保擁有穩定的會員數量,才能讓公會賺取更多的代幣。然而,對于價值變化很快的NFT,資金管理將非常困難。圍繞公會管理的軟件管理系統將是2022年一個新話題。
與此同時,如何開發一款能夠長期吸引玩家興趣的區塊鏈游戲也值得關注。Axie Infinity的日營收從2021年3月初的1萬美元一度增至巔峰時期的1750萬美元,但隨后收入一直在下降,這突顯出人們對區塊鏈生態系統的興趣轉變非常迅速。
收益的快速上升和下降在某種程度上可以歸因于玩家興趣的轉變和區塊鏈新游戲的發行。2022年依然會呈現類似狀況,因此焦點將轉向如何制作一款帶有P2E機制的區塊鏈原生游戲,以吸引玩家的長期興趣。

此外,隨著更多的資金將投入到P2E項目中,也將誕生很多專注于投資區塊鏈游戲的風投基金。例如,Spartan為其元宇宙和游戲基金籌集了5000萬美元。而近期FTX宣布成立一個價值20億美元的基金,專注于游戲領域的投資和并購,由Amy Wu領導。
除了游戲領域的巨額投資,2021年對元宇宙的關注顯著增加。到2022年,這一趨勢將繼續下去。在元宇宙或虛擬電子商務平臺上直播的活動將為參與者提供活動商品,比如在Decentraland舉辦的多倫多時裝秀。更多的NFT系列收藏品將在元宇宙中發行,如澳大利亞網球公開賽推出NFT系列,Dolce & Gabbana系列也將在Metaverse中發行。在虛擬體驗方面,更多游戲、和銀行體驗也將在元宇宙中呈現。銀行和保險公司也在元宇宙中創建各種各樣的虛擬服務。摩根大通在Decentraland開設了一個虛擬休息室,綜合性金融服務公司IMA Financial計劃在Decentraland銷售保險。瑞典的Mecro銀行已經宣布,正在研究在元宇宙中提供銀行體驗。
9. 存儲將繼續由中心化公司主導
從財務角度來看,數據存儲的成本在過去幾十年里不斷降低,尤其是去中心化存儲。目前,全球存儲的數據超過80 ZB,這相當于大約2.4萬億部4K電影或4.8萬億個電子游戲。如果假設亞馬遜可以存儲所有這些數據,并每月收取0.0125美元/ GB的費用。這意味著亞馬遜每月僅通過存儲這些數據就可能賺取1000億美元。這些數據歸個人、公司和機構所有。存儲業務為大型科技公司所有,是它們收入的主要來源,尤其是亞馬遜(AWS收入占其總收入的14.5%)。去中心化存儲將繼續壓低大型科技公司的利潤率,并允許世界各地的人們通過諸如Slik Photos這樣的解決方案,重新獲得對自己數據的控制權。
從隱私的角度來看,去中心化存儲允許人們將數據存儲在分布式節點網絡上,而非中央服務器上。在分布式節點網絡中,人們的文件存儲在多個設備上。存儲內容只對上傳者和其共享的用戶開放,類似于谷歌Drive。
一些知名的去中心化存儲協議包括Arweave, Filecoin和Functionland。這些都是開源的、社區治理的去中心化存儲解決方案,允許用戶在區塊鏈上存儲應用程序和文件。還有一些公司沒有區塊鏈代幣,但仍然使用Web3應用程序,例如Filebase,它以S3兼容的加密方式跨多個去中心化存儲網絡存儲用戶數據。預計將開發出更多圍繞存儲、索引和身份進行的業務模型。這些將是任何區塊鏈項目的先決條件,有助于將Web3項目與區塊鏈或加密貨幣項目區分開來。

10. 區塊鏈開發者的激勵
2021年,Web2向Web3的人才流動創下歷史新高。2022年,如何留住人才以及為開發者提供明確的長期和短期盈利目標將成為主題。
優秀的區塊鏈開發人員不斷在各項目之間跳槽,這導致了很大的變動。2021年Electric Capital的開發人員報告顯示,只有25-30%的區塊鏈開發人員在第三年之后仍然在同一個項目中擔任兼職或全職工作。Solana、NEAR和Polkadot等區塊鏈都是使用流行的編程語言Rust與C++結合編寫的。在開發人員中,Rust編程語言比Solidity(以太坊的編寫語言)更受歡迎。這主要是因為Rust存在的時間更長,且應用范圍更廣,同時Solana為了吸引開發者提供了高額獎勵。自從Solana啟動以來,它已經提供了大量資金來支持基于其建立的項目。Solana和NEAR的開發者增長速度是2021年所有區塊鏈中最快的,全職開發者增加了超過4倍,但他們只擁有一小部分的Web3開發者。Solana、NEAR和Polkadot總共有2700名開發者。
如何長期留住人才將會引發更多關注。盡管發放代幣可以減少開發者流失,但代幣的快速推出和代幣價格的下降可能會導致人才流失更快。黑客活動也將加速這一進程。
隨著越來越多的人接受區塊鏈并意識到它的用例,將會有大量開發人員涌向Web3。很快,區塊鏈將從一個流行詞和一個產品賣點,發展到與產品完全集成。
Rust將繼續作為以太坊生態系統之外新項目的主流編程語言。Rust是一種以安全和速度為主要目標的系統編程語言。Stack Overflow開發人員調查顯示,Rust已連續六年被選為“最受歡迎的語言”,顯示了開發人員對Rust越來越多的支持。希望學習一門新語言的開發人員應該認真考慮Rust,因為多個新區塊鏈采用Rust作為編程語言,比如Solana(于2021年推出)、Polkadot(于2020年推出,但平行鏈于2021年推出)和NEAR(于2017年成立,但于2020年推出)。到2022年,可能會有更多新的L1區塊鏈采用Rust。
11.對監管的呼聲漸高
為了促進機構采用,需要提供更多的鏈上監管、制定法律技術框架及進行身份創新。政府的重點將轉向鏈上活動的監控,比如去中心化應用程序的KYC審查,從而允許監管機構跟蹤鏈上認證的身份。以太坊名稱服務(ENS)是幫助用戶創建數字身份的服務之一,它為錢包和網站提供名稱。它允許用戶擁有自己的用戶名和個人資料,并在以太坊區塊鏈的多個服務上使用。用戶可以使用自定義錢包名稱接收加密貨幣,而不是很長的錢包地址。
此外,法律技術創新需要與政府和法律團隊合作,而這會延緩產品的上市時間。通過解決法律問題、實施安全措施、確保鏈上發生故障時交易可以不受影響,有利于促進鏈上流動性的增加。目前已有一些協議,如Astra協議,為智能合約配備了去中心化的合規層,以滿足爭議解決和KYC審查需求。預計區塊鏈會將第三方應用程序集成到智能合約中,使身份驗證成為可能。目前已有像Polygon和Terra這樣的鏈上應用程序,它們使用Synaps等數字身份驗證應用程序,將用戶的驗證ID連接到他們的錢包,并以去中心化的方式進行存儲。
鏈上的收益很高,但成本也很高。隨著安全和保險范圍的擴大,機構投資者的成本也可能增加。
隱私協議的監管可能不會在2022年實現。然而,洗錢問題愈發令人擔憂,需要解決這個問題,才能讓機構在鏈上部署資本。
隨著加密貨幣采用的增加,越來越多的國家正在引入針對這一領域的法規。一方面,阿聯酋等國家正尋求通過創建虛擬資產特區(包括數字資產、產品、運營商和交易所)來吸引加密貨幣企業。2021年9月,阿聯酋證券和商品管理局(UAE Securities and Commodities Authority)和迪拜世界貿易中心管理局(DWTCA)簽署了一項框架協議,允許DWTCA就加密資產相關金融活動進行許可和授權。2021年10月,迪拜另一個自由貿易區DIFC發布了數字代幣監管框架的第一部分,非公民和非居民可以在DIFC輕松成立獨資公司,并獲得簽證和貿易許可證。迪拜是許多加密公司的總部,交易所BitOasis和DWTCA最近與幣安簽署了一份合作備忘錄,以幫助建立他們的監管框架。
然而,也有一些國家和機構正在采取措施打擊加密貨幣。從2022年4月1日起,印度將對所有虛擬數字資產征收30%的稅,沒有任何免稅,這將使加密貨幣收入的征稅與彩票和賭博收入征稅相同。與此同時,薩爾瓦多接受加密貨幣作為法定貨幣的決定遭到了國際貨幣基金組織(IMF)的反對,主要評級機構惠譽國際評級(Fitch Ratings)下調了該國的信用評級。美國和英國對加密貨幣收益的稅收制度與股票收益的稅收制度相同,而在德國,持有一年以上的加密貨幣,無論利潤多少,銷售都可以免稅。
美國總統拜登預計將發布一項行政命令,指示各級政府機構研究加密貨幣和央行數字貨幣(CBDC),并提出一項數字資產監管戰略。
加強監管對加密生態系統是有益的,因為保護消費者、投資者和企業的措施可以推動加密生態系統的采用。此外,建立全球標準可以消除買賣加密貨幣的一些摩擦。然而,監管也可能對加密貨幣交易產生負面影響。根據政府政策,未來一些國家將變成加密貨幣天堂,吸引大量人才和資本。
12. 機構采用增加
友好的監管可以為機構開發加密產品提供更明確的指導。Coinbase在遭到監管機構起訴威脅后,放棄推出USDC借貸計劃,但監管一旦明確,此類計劃可能會重新提上日程。
市場上目前已經有加密期貨ETF,2022年可能還會引入加密現貨ETF。美國證券交易委員會(SEC)正研究在紐交所子公司Arca交易所推出加密現貨ETF。嘉信理財(Charles Schwab)和灰度(Grayscale Investments)等主要投資者也在討論在2022年推出加密貨幣ETF。
加密貨幣采用增加也再度引發了人們對央行數字貨幣(CBDC)的興趣,但大多數CBDC仍處于研究階段,英國等國仍在評估采用CBDC的優點。因此,主流CBDC不太可能在2025-2026年之前推出。中國計劃在今年增加公眾對CBDC的采用,而這有助于揭示與CBDC采用相關的優勢和挑戰。
隨著區塊鏈研究的成熟,區塊鏈有望應用于其他政府職能。例如,愛沙尼亞政府已經在稅收系統以及商業注冊系統中使用了區塊鏈技術,并利用區塊鏈技術來保護居民的電子健康檔案。英國的醫院正使用區塊鏈來跟蹤新冠疫苗的存儲和供應。
監管清晰也將激勵金融機構提供加密產品。預計將會有越來越多的金融機構將加密貨幣質押作為一種相對安全的獲利方式。Foundry Digital和Sygnum等公司已經為其客戶提供了質押投資服務。
13.穩定幣的整合
穩定幣
2021年是算法穩定幣項目(通過算法監控供求,從而保持代幣價格不變)的一年。然而,大多數項目失敗了。目前更多算法穩定幣項目試圖在抵押和算法之間找到一個最佳平衡點。
由于市場波動,UST (Terra穩定幣)在2021年出現了兩次脫錨。最終,Terra團隊通過與Solana和Cosmos等區塊鏈連接,獲得了足夠的流動性。
2022年,將出現更多像DAI和MIM這樣的抵押穩定幣。它們將自帶一些附加功能,比如免費借貸。隨著不同區塊鏈之間更多的互操作性和互聯性,一些穩定幣可能會被淘汰。
中國數字人民幣正在被騰訊和阿里巴巴等科技巨頭采用,并推動了金融集團的增長。微信也在采用數字人民幣并提供客戶端訪問。問題在于,數字人民幣是否會與去中心化應用程序集成以及如何集成。
穩定幣可以使加密貨幣成為日常交易的主流媒介,并應用于其它領域,如商品和服務交易、去中心化保險解決方案的發行、衍生品合約和消費貸款等。為了更好地發揮作用,穩定幣必須保持其穩定性,而穩定幣的波動性近年來也呈現顯著下降。

結論
綜上所述,Web 3.0區塊鏈基礎設施是鏈上創新實現可持續增長的關鍵。2021年引發了關于Web3項目和區塊鏈項目/程序/協議之間區別的第一場辯論。一個區塊鏈公司至少應該與一個區塊鏈交互,才能被視為區塊鏈原生公司。然而,一個Web3項目需要一個完全去中心化的技術解決方案作為基礎設施的一部分,包括社區治理的開源項目和去中心化存儲、身份和隱私解決方案。目前圍繞區塊鏈基礎設施的開發工作正大量展開,許多商業模式都起源于它,預計未來全球區塊鏈基礎設施還將獲得顯著增長。
作者:Delta Fund
Tags:區塊鏈NFT加密貨幣DAO區塊鏈專業方向好就業嗎BeatGen NFT加密貨幣市場總市值多少億moondao幣196倍
1.DeFi代幣總市值:1158.75億美元 DeFi總市值 數據來源:coingecko2.過去24小時去中心化交易所的交易量:51.
1900/1/1 0:00:003月,Nonfungible.com發布的《NFT市場2021年度》報告顯示, NFT(Non-Fungible Token即非同質化代幣)在2021年交易規模達到176億美元.
1900/1/1 0:00:002022 年 3 月 23 日至 3 月 24 日,國際清算銀行(BIS)召開了國際清算銀行創新峰會,其中在 Panel 1 討論環節中.
1900/1/1 0:00:001.SEC新提案重新定義“dealer” 或波及DeFi美國證券交易委員會于3月28日提出了一項新的擬議規則,旨在使更多的交易公司注冊為交易商,并公開他們的賬簿以接受更嚴格的監管.
1900/1/1 0:00:00對于加密資產領域的大多數人來說,資金的流動性十分重要。在Defi項目中有流動性挖礦,為交易對提供流動性就可以獲得Token獎勵,在歐易這類中心化交易所中有賺幣服務,如同定期存款把資產鎖定一定時期.
1900/1/1 0:00:00面對三月上旬中概股史無前例的一瀉千里,縱是財大氣粗的互聯網大廠也坐不住了,Web2大廠頻繁傳出裁員消息.
1900/1/1 0:00:00