BTC/HKD-1.71%
ETH/HKD-2.47%
LTC/HKD-0.36%
ADA/HKD-1.25%
SOL/HKD-3.52%
XRP/HKD-2.42%近日,BAYC 母公司 Yuga Labs 以 40 億美元估值完成新一輪 4.5 億美元融資,NFT 領域單筆融資最高紀錄再度被刷新。本輪投資陣容豪華,由 a16z 領投,Animoca Brands、Coinbase 和 MoonPay 等參投。
此次融資是元宇宙領域的標志性事件,手握 CryptoPunk 和 BAYC 兩大最強 IP 的 Yuga Labs,在頂尖團隊和頂尖流量的加持下,能否成為元宇宙的最終統治者以及會將元宇宙帶向何方?
在各行業不斷內卷的社會,唯一還能英雄不問出處的地方恐怕只有 Web3 了。在 Web3 這個變化迅速、傳奇故事不斷上演的領域,一年前的無名之輩,轉眼就可以驚艷所有人。
回看 Yuga Labs 發展軌跡,低開高走。開局算不上順利,團隊出身一般、預售場面冷清,和現在人們眼中的成功形象大相徑庭。
Yuga Labs 成立于 2021 年 2 月,四位匿名創始人 Gargamel、Gordon、Tomato 和 Sass 看起來似乎也沒有特別光鮮的履歷。Gargamel 在真實社會中做編輯和書評,Gordon 原計劃就讀藝術碩士,由于生病開始炒幣,還曾因為域名爭議被 Bitmex 告上法庭。另兩位 Tomato 和 Sass 是軟件工程師,但是此前對 NFT 并沒有經驗。
BAYC(Bored Ape Yacht Club)是 Yuga Labs 的成名作,講述了一群炒幣自由的猿猴無所事事,在沼澤地的一個俱樂部釣魚、涂鴉的故事。這是一個很 crypto 的故事,炒幣是 crypto 永不過時的話題,Ape 是 crypto 的常用語,指代不加思考的交易者、賭徒或者韭菜,Ape in 形容無腦沖、梭哈。
Poly Network:10條區塊鏈上57種資產受到黑客攻擊影響,項目團隊應盡快撤出流動性:7月3日消息,跨鏈互操作協議Poly Network發推稱,其服務仍將繼續中止,懇請網絡安全專業人士提供專業幫助。此次被攻擊導致10條區塊鏈上的57種資產受到影響,包括以太坊、BNB Chain、Polygon、 Avalanche、Fantom、Optimism、 Arbitrum、 Gonosis 、 Heco、OKX等。
Poly Network表示,已經與CEX和執法機構展開溝通,尋求幫助,希望與攻擊者合作,歸還用戶資產,避免潛在的法律后果。同時,為了盡量減少進一步的風險,Poly Network已聯系大多數項目團隊,敦促其從DEX中撤出流動性,并建議持有受影響資產的用戶盡快撤回流動性、解鎖其LP代幣。[2023/7/3 22:14:01]
   
(圖片來源:BAYC 網站)
故事講得雖好,買單的卻并不多。2021 年 4 月 23 日,BAYC 預售,每只猿猴統一零售價 0.08 ETH(當時價值約 200 美元)。預售談不上樂觀,當晚只賣出了大概幾百只(對比下現在市場出現的各種質量參差不齊的 NFT,基本上數小時就能搶售一空)。
   
(圖片來源:BAYC 推特)
轉折點發生在 5 月 1 日,隨著預售期最后一只 BAYC 出售,知名收藏家 Pranksy 在推特宣布購入 250 只 BAYC,Pranksy 的帶貨使得 BAYC 的銷量、用戶、交易數激增。僅在 117 分鐘后,BAYC 售罄。需要注意的是,Pranksy 的行為是自發的,并沒有事先和 Yuga Labs 通氣。
以太坊網絡銷毀量超340萬枚ETH:金色財經報道,據Ultrasound數據顯示,以太坊網絡銷毀量超340萬枚ETH,本文撰寫時銷毀量為3,400,003.08枚ETH。其中,OpenSea銷毀230050.65枚ETH,ETH transfers銷毀289624.28枚ETH,UniswapV2銷毀184477.40枚。注:自以太坊倫敦升級引入EIP-1559后,以太坊網絡會根據交易需求和區塊大小動態調整每筆交易的BaseFee,而這部分的費用將直接燃燒銷毀。[2023/6/19 21:47:01]
由于 Yuga Labs 將 BAYC 的所有權和商業使用權授予持有人,BAYC 所有者構成了龐大的營銷團隊,推動了品牌增長。此后,BAYC 開始一路走紅。推特 KOL、NBA 巨星、歌手、演員、電視主持人、富商等紛紛購買 BAYC 并自發充當代言人。尤其是去年 8 月 NBA 球星斯蒂芬?庫里(Stephen Curry)以約 18 萬美元的價格購買了 BAYC NFT 作品并作為推特頭像的消息引發了全球范圍的大量關注,BAYC 加速破圈。
   
(圖片來源:庫里推特)
如果說此前 Yuga Labs 更多的是隱藏在 BAYC 幕后,那么進入 2022 年之后,Yuga Labs 開始走向臺前。3 月 12 日,Yuga Labs 宣布收購 CryptoPunks 和 Meebits 的消息在圈內引發不小的轟動,此舉意味著 Yuga Labs 成為圈內唯一手握 CryptoPunks 和 BAYC 這兩大頂級 IP 的運營方。3 月 16 日,Yuga Labs 宣布將于今年開啟虛擬土地銷售,并推出游戲 MetaRPG 及 APECoin 以共同構建 Yuga Labs 的元宇宙計劃。3 月 23 日,Yuga Labs 以 40 億美元估值完成 4.5 億美元融資,將所有人的情緒推向高潮。
RSS3短線突破0.23 USDT后回落,24H漲幅達20.36%:行情顯示,RSS3短線突破0.23 USDT,最高至0.2303 USDT;現報0.2158 USDT,24H漲幅為20.36%。[2023/2/1 11:40:03]
從數據看,BAYC 已經成了 NFT 的當之無愧的王者。BAYC 地板價超過 100 ETH,是所有 NFT 項目中地板價最貴的。BAYC 擁有 NFT 空間中最大/最活躍的 Discord 社區,用戶數超過 13 萬人。OpenSea 每日交易量超過 1.5 億美元,而交易量的 10% 由 BAYC 的持有者貢獻。在過去的一年,BAYC 團隊吸金能力驚人,凈利潤 1.27 億美元。而花在廣告、產品和技術以及員工薪資等方面的支出加起來 424 萬美元。
   
(圖片來源:Yuga Labs Deck)
在 NFT 領域的成功讓 Yuga Labs 的觸角伸向更廣闊的元宇宙。
Yuga Labs 在 90 頁的 Deck 里詳細介紹了未來的發展規劃:不止于 NFT,而是要重新定義元宇宙。
在 Yuga Labs 看來,現在的元宇宙很俗套,聊天、線上聚會、相互 Battle 的游戲在 Web2 就已經做得很好了。完美的元宇宙是一個全人類都與之相連的虛擬世界而不是像目前這樣每個人都在建立自己的世界。Yuga Labs 要構建的是可互操作的元宇宙,并推出游戲 MetaRPG。
MetaRPG 的故事開場講述了宇宙大爆炸后釋放的能量逐漸枯竭,天體一個接一個消失。一種被稱為 Kada 的外星生命一直在監測地球的一舉一動,在地球毀滅之前創造了一個新的元宇宙,并將 BAYC 以及其他可互操作的 NFT 拯救到新大陸,新的故事就此展開。
北京首個數字人民幣充電站投產:金色財經消息,10月12日,國家電投北京公司所屬國電投(北京)綜合能源公司開發建設的北京市首個數字人民幣充電站在北京城市副中心設計小鎮投產。該項目是北京公司推動國家電投首批六個方向新興產業落地、參與北京副中心智慧城市建設的新成果,為國家電投創新“三網融合”數字化底座建設,推動能源與數字化、智能化深度融合提供了新的實施路徑和策略選擇。[2022/10/15 14:28:39]
在新大陸上,有 10 萬塊創世土地,這些地塊將對應于游戲中的真實土地。地價保守估計是每塊地 1 個 ETH,按照當前以太坊價格計算,銷售土地將會為 Yuga Labs 帶來 3 億美元收入。當然,有了 BAYC 的成功案例,相信買家一開始就會 FOMO,加上 Yuga Labs 在 Deck 中透露會有 1 萬個獨特的 Koda 隨機分布在土地上,這些土地大概率上線就會被搶購一空。
   
(Koda 形象圖,來源:Yuga Labs Deck)
除了推出元宇宙游戲,Yuga Labs 還將推出元宇宙商店,大有對標 iOS App Store 和 Google Play 的意味。
在游戲以及元宇宙商店中,APECoin(APE)將會是通用代幣。盡管由于監管因素考慮,Yuga Labs 極力撇清 APE 不是 Yuga Labs 直接參與 ApeCoin 發行,但懂的都懂。從 BYAC 和 MAYC 系列 NFT 周邊商品將于 3 月 29 日發售,僅接受 APE 支付就能看出這層關系。
惠譽將薩爾瓦多評級下調至“CC”,并將其評級移出評級觀察(UCO)名單:9月16日消息,惠譽將薩爾瓦多評級下調至“CC”,并將其評級移出評級觀察(UCO)名單。(金十)[2022/9/16 7:00:34]
是破局者還是收割者?
Yuga Labs 的高舉高打,引得不少行業內專家討論。
BAYC 持有者、CryptoC 創始人唐晗直接用“不留活路的震撼?”來形容自己看到 Yuga Labs 在 Deck 中描述的內容。
第一個震撼點是團隊配置,除了早期四位創始人 Yuga Labs,新引進的高管清一色的是 Web2 流量高手,橫跨硅谷互聯網巨頭和美國時尚界,在營銷運營上堪稱頂配。來自 Web2 世界和 Web3 世界的資本站隊和資源融合,讓 Yuga Labs 在接下來一年不會有與自己抗衡的對手。
第二點是愿景宏大。Yuga Labs 的計劃是統一元宇宙,建立一個和 DCL 以及 Sandbox 完全不同的虛擬游戲,實現現實世界和虛擬世界的聯動、Web3 所有 PFP 項目的聯動、Web2 品牌和 Web3 世界的聯動。
第三點,干掉 OpenSea 和 OpenSea 無關。Ape 宇宙里將產生大量的 UGC 內容,這些內容的首選交易平臺將不再是 Opensea。
BAYC 持有者、odaily 創始人 Mandy?從 IP 角度分析?認為,Yuga Labs 像是元宇宙世界的迪士尼,致力打破“元宇宙”的邊界。
將誕生剛滿 1 年的 Yuga Labs 與存活長達近百年的娛樂巨頭相提并論看起來似乎不自量力,但 Mandy 認為 IP 正在經歷著百年未有大變局,格局打開才能看到未來。
從 20 世紀 30 年代的寬熒幕的有聲電影米奇家族,到 70 年代的三麗鷗旗下的 IP HelloKitty,再到 2011 年由韓國社交應用 LINE 衍生品牌 LINE FRIENDS 的大火,IP 的傳播載體和形式都在隨著時代發生著變化。NFT 誕生在一個非常有趣的時代,顛覆 IP 和 版權的商業世界的宏大敘事,模糊了消費品、藝術品和奢侈品的邊界,我們不能再用舊的參照物比照新的世界,去了解它,擁抱它,從而不負時代的饋贈。
頂配的團隊和宏大的路線圖很容易讓人 FOMO,但無法保證項目一定能做成功,比如幣圈“三姓家奴”BM 的 EOS、圖靈獎得主光環的 Algorand 等等。加密 KOL BTCdayu 對 Yuga Labs 的前景謹慎樂觀?,Yuga Labs 賣 BAYC、發 APE、賣地等一系列玩法中,都有一個共性的問題是,所有社區成員,尤其是小散戶,都是天然的燃料。
分布式資本的一位人士更是尖銳地指出?,Yuga Labs 吃相難看。
“除了投機者以外,BAYC 持有者最大的預期就是空投發幣。BAYC 發幣將最后一招殺手锏祭出,自此之后再無退路。Yuga Labs 也成功通過融資完成了對資本的收割。明眼人都能知道 BAYC 是一個 meme 而不是 IP,因為它除了富裕一部分人以及帶動這一波 PFP 炒作潮以外毫無建樹。可以說 BAYC 以及 Yuga Labs 的此番操作代表了 PFP NFT 這一個時代的落幕。”
資深 DeFi 玩家、《老陸的區塊鏈筆記》作者陸遙遠從運營、開發、敘事、盈利能力、競爭壁壘幾個方面全面客觀分析了 Yuga Labs 的綜合實力?。運營、敘事、競爭壁壘分值拉滿,盈利能力和開發能力不足。比如盈利方面,雖然 2021 年凈收入是 1.27 億美元,但主要是銷售 MAYC 所得,BAYC 的版稅收入只占 30%。開發能力方面,與 Animoca 合作建立的賽車游戲,以及街機風格的游戲還沒有推出。
作為節點性事件,Yuga Labs 帶給我們諸多啟發,比如 NFT 市場從散兵游勇進入集團作戰的模式,如何對 NFT 估值等。
在過去的一段時間里,大部分 NFT 項目發起方團隊配置簡單,發展路線不清晰或者很隨意,這導致了很難有項目跑出來。從 Yuga Labs 的 Deck 可以看出,團隊超配了來自 Web2 領域的高手,進一步加強了營銷造勢的能力,這在其他項目是上少有的。發展路線十分清晰,節點精確到月。比如 5 月份空投 Koda,7 月舉辦 APE 電影節,8 月份土地銷售等等。
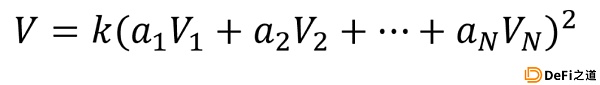
DappRadar 最新數據顯示,BAYC 的市場價值超過 36 億美元,是目前最貴的 PFP 類 NFT 項目。對 NFT 項目的估值依據是什么?有沒有統一的模型框架可以參考?時戳資本最近提出一種新的網絡估值模型?,這是根據“成功定律”和“梅特卡夫定律”提煉出來的新的價值網絡估值模型:
   
其中,V 指的是網絡價值,V? 表示周圍某一個節點的價值,a? 表示這個節點和中心項目的聯結緊密程度,n 則表示周圍有聯結的節點數量。
也就是說,一個項目的價值取決于他自己本身的價值是不是被很多其他人或者項目需要(n 夠不夠大);需要它的人或者項目是不是成功(有沒有哪個 V? 很大);以及這種需要是不是很強烈而且無可替代(a? 的大小)。
對待 NFT 項目,主要參考文化、美學、社區、資產和實用性等維度。以 BAYC 社區為例,V? 表示每個社區參與者的對網絡的價值,a?表示社區成員和 BAYC 的聯結緊密程度,n 表示社區參與者能夠觸達的人群。庫里在去年 8 月買入 BAYC 時,V? 很大(庫里本身的影響力),a? 不大(庫里與 BAYC 的聯結緊密度),n 逐步變大(庫里會影響一批人買入 BAYC),從而 V 開始增大,這就是 BAYC 的地板價在庫里買入 BAYC 后大幅上漲的原因之一。
從 Yuga Labs 身上可以發掘許多值得創業者學習的地方。在團隊配置上,他們的創始團隊不算豪華,卻將一把開局不是很好的牌最終打成王炸。在項目運營上,他們在幾乎沒有花費任何代言費的情況下讓 NBA 巨星、娛樂明星自發帶貨。在社區建設上,他們在極短的時間內建立起覆蓋全球各地的龐大的用戶社區。在項目進入穩定期后,他們迅速找到二次增長曲線,同時借助資本的力量進一步發展壯大。Yuga Labs 不斷打破我們對未來的想象。
1.DeFi代幣總市值:1395.93億美元 DeFi總市值 數據來源:coingecko2.過去24小時去中心化交易所的交易量:54.
1900/1/1 0:00:00本文由”老雅痞laoyapicom“授權轉載信息來源自CNET,略有修改,作者Queenie Wong古馳、戴森和其他大品牌正在試驗沉浸式虛擬體驗.
1900/1/1 0:00:001.DeFi代幣總市值:1370.61億美元 DeFi總市值 數據來源:coingecko2.過去24小時去中心化交易所的交易量:581.
1900/1/1 0:00:00摘要: Polygon 是一家區塊鏈互聯網公司,專注于通過零知識(Zero Knowledge)技術組合擴展以太坊.
1900/1/1 0:00:00「我錢包里的 ETH 都沒了!」今日,DeFinance 創始人 Arthur 在社交媒體上表示其遭受魚叉式網絡釣魚攻擊.
1900/1/1 0:00:004月1日,以太坊創始人Vitalik Buterin在個人博客發布文章《為比特幣最大主義辯護》(In Defense of Bitcoin Maximalism)支持比特幣最大主義.
1900/1/1 0:00:00