BTC/HKD-0.22%
ETH/HKD-0.57%
LTC/HKD-0.56%
ADA/HKD-0.95%
SOL/HKD-0.94%
XRP/HKD-0.75% 
近期Kucoin被盜,okex不能提幣事件中,也已經充分暴露出中心化交易所的風險。
脆弱的中心化的交易所:
1.技術風險
服務器軟件漏洞、配置不當、DDoS攻擊、服務端Web程序漏洞、辦公電腦安全問題、內部人員攻擊等。很多交易所沒有災備級系統認證,在發生火災、地震、洪水時投資者數據一旦丟失,萬劫不復。
2.道德風險
中心化交易所的資產托管并沒有使用區塊鏈技術,不具備不可篡改、可溯源的特性,用戶需要先把資金轉入到交易所開辟的專門賬戶中,用戶對自己的資產沒有控制權。
中心化交易所信息不透明、不對稱,加之主體權益不一致,很容易發生交易所內部人員做出不利于其他投資者的行為。
3.法律風險
各個交易所以及相關人員在經營相關業務中,違反國家法律、行政法規和相關市場監管部門規定,從而受到法律的制裁而使交易所遭受損失。
基于Cosmos的DeFi協議Onomy完成1000萬美元融資:金色財經報道,基于Cosmos的DeFi協議Onomy完成1000萬美元融資,參投方包括Bitfinex、GSR Markets、Ava Labs、CMS Holdings和DWF Labs等。本輪融資旨在擴大團隊規模。Onomy旨在融合DeFi和外匯市場,其產品包括Layer1區塊鏈網絡和跨鏈橋,以及名為Onex的去中心化交易所和非托管錢包。Onomy的主網將在未來幾天啟動。(the block)[2022/11/23 8:01:42]
交易所違反監管規定和原則而招致法律訴訟或者監管處罰,進而不利于交易所正常運營的風險。
由于法律或監管規定的變化,影響交易所正常運營或削弱其競爭力、生存能力的風險。
保險的剛需:任何DeFi協議或者是交易所都是需要保險
最終來說,絕大多數的DeFi協議和中心化交易所都會將保險服務看作為協議服務的重要組成。唯有這樣,才能真正解決用戶的后顧之憂。
保險其實本質是在于風險對沖,最大化的彌補風險事件所帶來的各種損失。
保險賽道的新機遇:DeFi協議和中心化交易所
瑞士BTC經紀商Bitcoin Suisse推出DeFi產品:金色財經報道,瑞士BTC經紀商Bitcoin Suisse宣布開始提供其原生的DeFi。Bitcoin Suisse的部分客戶現在可以鎖定ETH作為去中心化借貸協議Liquity的抵押品,并鑄造他們自己的Liquity美元(LUSD),該協議的穩定幣,價值超過10億美元的ETH已經被鎖定在Liquity協議中。Bitcoin Suisse是第一個為其客戶提供Liquity協議便捷通道的加密貨幣經紀人。Liquity協議使其用戶能夠通過在智能合約中鎖定他們的ETH作為抵押品,以系統的穩定幣Liquity Dollars(LUSD)獲得無期限和無息的信貸。客戶可以指示Bitcoin Suisse在Liquity協議中鎖定他們的一些ETH作為抵押品,并鑄造一個LUSD余額,可以兌換成任何想要的法幣。[2022/4/21 14:37:18]
這種未來的可能性,對于保險賽道的項目來說,意味著巨大的機會。越來越多的中心化交易所為了吸引用戶,增強護城河,會將其收益的一部分置入保險市場,這意味著保險需求的增加,保費收益規模的增長。
此外,考慮到DeFi保險市場的更好的透明度和更好的流動性,DeFi相對于傳統行業的保險市場會有更高的滲透率。
當前以太坊上DeFi協議總鎖倉量為341.5億美元:據歐科云鏈OKLink數據顯示,截至今日10時,以太坊上DeFi協議總鎖倉量約合341.5億美元,環比上升1.09%
當前以太坊上鎖倉量排名前三的協議分別是Maker 43.4億美元(-2.57%),WBTC 35.9億美元(-2.42%)以及Uniswap V2 33.1億美元(-1.53%)。[2021/1/28 14:12:08]
下面我們介紹一下首個針對交易所被盜、倒閉、跑路等各種風險事件的:交易所信用CDS保險。
同時,INS3技術開發團隊還推出了保險范圍為CeFi、DeFi、穩定幣、IPFS云算力的DeFi保險產品,以迎合市場需求。
競品分析之1:超強保單流動性----CDStoken
與NXM保險不同,INS3的保單是CDS概念標準的ERC777代幣,可以在任意地方進行交易,客戶也可在任何時候可以退保。
此外,客戶將INS3將保單與USDT存在Moonswap以及Uniswap從而為保單CDStoken提供流動性,獲取LP,將LPtoken存入INS3即可以獲得INS3的代幣獎勵。
DeFi協議88mph支持HUSD CRV固定收益策略 ?:12月15日,DeFi固定利率生成協議88mph(MPH)官方發推稱,該項目現已支持Harvest的 HUSD CRV策略的固定利率及浮動利率的流動性挖礦。
用戶通過在Curve中的 HUSD,3POOL池注入流動性,將所獲得的權益HUSD-CRV token存入88mph,在借貸鎖定期結束后可以獲得HUSD-CRV本位的固定收益,及MPH挖礦收益。[2020/12/15 15:16:39]

競品分析之2:多種精算與保費模型組合
與NXM將保費與staking金額掛鉤,利用staking的預期來為項目違約率進行定價的單一方式不同,INS3采用預期模型、KMV模型與自主鏈上評分卡三者結合的精算模型來確定保費。
先來介紹其中的KMV模型模型。
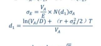
信用險的保費定價=保額×(無風險利率+違約率)。我們借鑒了美國成熟債券市場中的DRSK模型。根據KMV模型,
分析師:DeFi市場由業內人士驅動,沒有太多新參與者:金色財經報道,加密貨幣分析師Alex Krüger今日發推稱,“加密DeFi 2020”已經成為了一個由追求利潤的加密業內人士所驅動的,重新激烈定價的故事。這次沒有太多的新參與者。即使在代幣完全沒有價值的情況下,這一次大多數投資者都知道他們在投機毫無價值的代幣。[2020/8/15]

其中,V為公司資產價值,μ為資產價值漂移率,δ為其波動率,dW為標準維納過程。
假設債務期限為T,公司股權價值為E、負債為D,無風險利率為r,根據期權定價理論,

由此計算違約距離DD:

并估算最佳違約點參數:

其中,α為短期借款乘數,SD為公司短期借款,β為長期借款乘數,LD為長期借款。
在實踐中,我們將DeFi的鎖倉量以及交易所的公開熱錢包存幣量作為債務,平臺幣或者項目治理代幣的波動率作為波動率,建立和目前項目風險之間的映射關系。
在模擬實踐中,INS3版本的KMV模型提前預測了9月13日的BZRX的被盜事件,在被盜前夕將預計保費由4.62%調升至13.66%。

再來介紹評分卡模型。INS3團隊借鑒defiscore的模型針對每個defi項目的鏈上信息制作了評分卡模型:

其中,智能合約風險權重占45%,抵押物風險占20%,流動性風險占10%,協議管理權風險占12.5%,預言機風險占12.5%。
通過評分卡,Defi項目的質量將更為量化,并反映在保費上。
INS3的精算模型融合預期模型、KMV模型以及評分卡模型進行精算定價,精細程度、精算的穩定性和準確性,相比NXM均有所提高。
競品分析之3:Staking&NFT
如果客戶想獲取穩定收益,可以參與INS3的staking來參與承保。與NXM強制質押90天不一樣,INS3的staking資本是一個NFT,可以在NFT交易平臺上自由轉讓。
如果不想轉讓,在資本充足率充足的情況下,staking資本可以隨時退出。如果資本充足率不充足,客戶可以注銷保單退出,像Kucoin保單一天保費漲幅達到321%的情況,注銷保單還可獲得盈利。

參與staking可獲取70%的保費分成,如果在5-10倍杠桿下,可獲取年化15%~350%的保費收入。

同時,參與staking還可以獲得INS3的代幣獎勵。

競品分析之4:投資模式
INS3團隊目前是市場最大的DeFi清算團隊以及中心化和去中心化套利者之一,staking的資本會用于參與Dex和Cex之間的套利,從而實現staking資本的保值增值,盤活staking資本。
競品分析之5:預言機
與NXM采用董事會初審+社區復審的形式來決定是否賠付的中心化的方式不同,INS3采用自建預言機的模式,任何人都通過API來判斷行情是否正確、資產是否安全、是否能提幣等原創綜合算法,從而判斷交易所是否出現安全事件。參與認證是一種行為挖礦,可以獲得挖礦獎勵。

競品分析之6:總結
INS3更具競爭力的:資本模型,投資模型,保險精算定價模型,相對NXM和Yinsure在去中心化程度和保險范圍上做了重大升級。

INS3與Web3.0對應,延續傳統保險1.0和互聯網保險2.0的演進路線,將保險帶入區塊鏈和智能合約托管的3.0時代。
將資本進行代幣化,代表著可不借助股票或者債券等金融工具就直接投資“保險公司”,并可以退出和交易。由此,一個“可裝卸”、“可編程”的“保險公司”出現了,這是區塊鏈帶來的生產關系進步。
INS3的全球團隊,憑借技術開發功底和保險精算領域經驗,通過了Conflux社區生態基金會的審核并獲得其資助,預計將于12月30日上線第一只保險產品:交易所信用CDS保險。
INS3希望以DeFi+NFT+預言機+跨鏈的模式為去中心化保險生態帶來創新。
市場風云變化莫測,行情此起彼伏,經常套單損單在所難免,如果你目前處于這種狀態,建議找到一個好的指路者,一起努力,讓你的口袋達到我們所預期的效果.
1900/1/1 0:00:0011月11日消息,據tradingview數據顯示,最近數周比特幣都處于上升趨勢,短暫跌勢后又迅速創出新高.
1900/1/1 0:00:00技術&產品月報公鏈建設 公鏈程序引入libp2p庫作為底層網絡通訊的基礎 公鏈程序加入插件式框架 WASMtoken改為db模式 私鑰隨機優化升級 編寫新鏈代碼的編譯腳本.
1900/1/1 0:00:00BTC行情分析 4H周期繼續縮量震蕩,日線縮量,上升動能衰減。但是趨勢沒有改變,這個位置最大概率的走勢就是4H的周期震蕩,我們仍然持謹慎中性的觀點,我們既認為這個位置很難能夠再大幅度上行,也不認.
1900/1/1 0:00:00比特幣短線行情解讀及操作建議:比特幣方面整體上波動相對來說還是比較活躍的,圍繞15500-15200區間震蕩,而前面也是說的很清楚,行情整體上處于區間震蕩消耗多余動能之中.
1900/1/1 0:00:002020年10月25日,由博鏈財經主辦的2020區塊鏈年度盛典暨第二屆博鏈財經“星勢力”頒獎典禮在上海大廈酒店成功舉辦,現場累計有超過500位區塊鏈行業大佬和從業者參加此次年度盛會.
1900/1/1 0:00:00