BTC/HKD-0.16%
ETH/HKD+0.44%
LTC/HKD+2.88%
ADA/HKD+0.33%
SOL/HKD-1.08%
XRP/HKD-0.81%摘 要
本文把現階段的元宇宙理解為一種不完全契約的世界,并構建了一個不完全契約理論模型來分析元宇宙的秩序。我們根據互聯互通的程度比較了四種模式:諸侯國模式、聯合國模式、大一統模式和區塊鏈模式。主要結論是:第一,無論是考慮互聯互通的投資,還是考慮社會總福利水平,區塊鏈模式都優于聯合國模式,后者又優于諸侯國模式;第二,相對于大企業,小企業更愿意在互聯互通方面投資;第三,當互聯互通的收益比較低時,兩個企業組成一個小的元宇宙比三個企業組建一個大的元宇宙能夠帶來更多的利潤。本文的研究表明,目前應該鼓勵元宇宙平臺做大做強,加強互聯互通,并爭取制定國際規則的主導權。
文章信息:元宇宙的秩序:一個不完全契約理論的視角;聶輝華,李靖;《產業經濟評論》
一、問題提出
2021年可謂元宇宙(Metaverse)的元年。3月,游戲平臺公司Roblox在紐約交易所上市,成為“元宇宙第一股”;4月,芯片公司英偉達(Nvidia)發布了元宇宙虛擬工作平臺Omniverse;10月,社交媒體網站臉書(Facebook)宣布公司改名為Meta(元宇宙)。11月,軟件巨頭微軟推出新的視頻會議軟件Mesh for Teams,以實現全息體驗。中國企業同樣躍躍欲試,以各種形式進入元宇宙領域。騰訊、阿里巴巴、百度、字節跳動、華為、中國電信等互聯網公司或者對元宇宙平臺(游戲)進行股權投資,或者準備開發相關產品。工商登記注冊數據顯示,至少有960家公司正在申請包含“元宇宙”名稱的商標,申請總量接近6400條(天眼查數據研究院,2021)。
目前,并沒有一個元宇宙的統一定義。一般認為,元宇宙是整合多種新技術而產生的新型虛實相融的互聯網應用和社會形態。它基于擴展現實技術提供沉浸式體驗,以及數字孿生技術生成現實世界的鏡像,通過區塊鏈技術搭建經濟體系,將虛擬世界與現實世界在經濟系統、社交系統、身份系統上密切融合,并且允許每個用戶進行內容生產和編輯。相對而言,定義元宇宙不是什么比較容易。元宇宙的最早研究者之一鮑爾認為,元宇宙不只是一種虛擬世界或VR(虛擬現實),也不只是一種數字經濟或游戲,也不只是一種新的應用程序(App)或用戶原創內容平臺(UGC)。在他看來,元宇宙至少需要以下八種要素的支撐:硬件(比如AR、VR),網絡,算力,虛擬平臺,交換工具和標準,支付手段,內容、服務和資產,用戶行為(包括消費、投資和決策)。簡單地說,元宇宙是一個與現實世界平行的、并且與現實世界實現互動的虛擬世界。樂觀地說,元宇宙就是既PC(電腦)互聯網、移動互聯網之后的第三代互聯網。
本文認為,現階段的元宇宙具有不完全契約(incomplete contract)的典型特征。因為目前的元宇宙,完全是一種野蠻生長的狀態,在很多方面缺乏基本的規則,甚至脫離了政府的監管。
香港特首李家超與數碼港董事孔劍平在 2023 數字經濟峰會體驗虛擬現實元宇宙:4月13日消息,香港特區政府行政長官李家超出席港府和數碼港主辦的香港 2023 數字經濟峰會,會上李家超在數碼港行政總裁 Peter 陪同下向 Nano Labs 創始人、香港數碼港董事孔劍平了解全球最先進的元宇宙技術發展趨勢,并親身體驗元宇宙虛擬現實與 3D 打印技術,本次峰會元宇宙板塊由 iPollo 元宇宙基礎設施和生態項目 ARIAR 提供相關技術支持。[2023/4/13 14:01:08]
第一,在技術標準方面,缺乏互聯互通的規則。互聯網的本質是聯通,因此不同平臺開發的各個小元宇宙,必須能夠聯通才能發揮最大價值。由于元宇宙產業處于萌生初期,不同的元宇宙之間在硬件和軟件的兼容標準、用戶在不同平臺的轉換、系統內外的支付標準(例如代幣或NTF)等涉及互聯互通的重要事項上,都沒有形成共識和國際標準,只能通過雙邊談判來解決。而雙邊談判又涉及對各方投資成本、權益的計算,但這些關鍵變量往往是可觀察而不可證實的。例如,對于游戲平臺來說,決定營業收入的用戶日活量(DAU)是一個行業內企業都可以測度和證實的數字,但是它帶來的收益卻很難向外界證實,也無法轉移。在這個意義上,用戶日活量類似于企業經理人的在職消費、職業聲譽、人力資本積累等私人收益,是一種不可證實、不可轉移的變量。
第二,在內容方面,元宇宙里沒有明確的道德和法律標準。目前,元宇宙的主要內容是各大平臺(例如美國Roblox)提供的各種游戲。每個玩家都可以自己開發游戲,游戲規則由自己決定,而且游戲之間存在激烈的競爭,開發者必須標新立異。在這種虛擬世界里,玩家可以為所欲為,包括打斗、殺人、組建軍隊和建立帝國。
第三,在產權方面,存在很多模糊地帶。不管是數字資產的確權,還是用戶數據的所有權和使用權歸屬,目前都屬于法律的灰色地帶。此外,還有虛擬世界對現實世界的侵權責任歸屬問題(類似自動駕駛撞人問題),也缺乏明確的法律法規。
第四,在國際監管方面,法律法規非常不完善。在現實世界的國際貿易方面,由于涉及各個國家不同法律體系、行政管理的差異和巨大的協調成本,這導致國際貿易契約通常是高度不完全的。在元宇宙里,除了內容的合規性,還涉及貨幣發行、稅收、意識形態、恐怖主義等關乎國家安全和國家主權的問題,并且由于數字技術可以更好地穿越國際貿易壁壘,這就導致元宇宙的國際監管更加不完善。既然元宇宙涉及國家主權和國家安全,那么各個國家之間會為了爭奪虛擬世界的控制權或者國際互聯網的主導權而競爭,這種國際博弈格局無疑會進一步加劇元宇宙在監管規則方面的不完善和政策不確定性。總而言之,如果把元宇宙內部和不同元宇宙之間的所有交易、協議和互動行為都看作是一種契約的話,那么這種契約在很大程度上體現了不可預見的因素,難以描述的特征以及難以向第三方證實的變量。這種契約是一種典型的不完全契約。
Animoca Brands擬推出規模高達20億美元的元宇宙基金:11月30日消息,Animoca Brands聯合創始人兼首席執行官Yat Siu表示,該公司計劃推出一支高達20億美元的基金,以投資元宇宙業務,并將這支計劃中的基金描述為是“Web3業務的良好切入點”。(Nikkei)[2022/11/30 21:12:04]
在這樣一個不完全契約的世界里,我們關心的問題是:什么是元宇宙的最優秩序?具體來說,如果每個企業都創辦了小的元宇宙,那么不同的元宇宙之間以什么關系共存?它們之間如何互動?什么樣的治理機構能夠鼓勵企業投資并實現利潤最大化?為了回答上述問題,本文聚焦于元宇宙的關鍵問題——互聯互通問題。我們假定,如果兩個企業(小的元宇宙)能夠實現互聯互通,就意味著它們之間就技術標準、內容生產、產權和交易規則達成了一致意見。互聯互通可以看做是一種介于一體化(integration)和非一體化(non-integration)之間的組織邊界。
本文構造了一個不完全契約模型來研究元宇宙的秩序。我們聚焦于互聯互通問題,并根據互聯互通的程度比較了四種模式:諸侯國模式、聯合國模式、大一統模式和區塊鏈模式。我們假設每個企業(小的元宇宙)可以做出兩種投資:一種是企業專用性投資,它通過增強企業的特色帶來收益;另一種是互聯互通投資,它會增加企業的協調收益,但是會導致額外的成本(例如部分深度用戶的使用時間下降)。因此,每個企業必須在專用性投資和互聯互通投資之間權衡取舍。兩種投資的成本和收益都是不可證實的,其投資激勵依賴于特定模式。我們發現了如下結論:第一,無論是考慮互聯互通的投資,還是考慮社會總福利水平,區塊鏈模式都優于聯合國模式,后者又優于諸侯國模式;第二,相對于大企業,小企業更愿意在互聯互通方面投資;第三,當互聯互通的收益比較低時,兩個企業組成一個小的元宇宙比三個企業組建一個大的元宇宙能夠帶來更多的利潤。
本文在以下三個方面對現有文獻提供了貢獻。
第一,本文豐富了不完全契約理論的應用。經典的不完全契約理論假定企業的邊界由它所包含的物質資產所構成。本文從兩個方面擴展了不完全契約理論的應用。一是將不完全契約理論擴展到一個包含了數字資產的虛擬世界之中,并且發現在虛擬世界中(數字)資產所有權也是重要的,它同樣會影響收益分配并進而影響投資激勵。二是討論了一種新的契約關系:互聯互通,它既不是兩個企業完全獨立的非一體化狀態,也不是兩個企業合并為一家企業的狀態。它有點類似于上下游企業之間的供應鏈關系或者企業聯盟。
第二,本文將企業理論和經濟學文獻結合起來。哈特認識到,在不完全契約下,權力是重要的,并且應該是企業理論的核心問題。但是,已有的企業理論在討論企業的邊界或內部組織設計時,主要討論的權力是資產控制權。本文則將國家競爭引入企業的互聯互通問題,除了討論企業之間的協調問題,還討論了企業及其背后的國家之間的聯盟問題,從而將企業理論和經濟學結合起來。此外,盡管已有文獻討論了電信企業之間的互聯互通問題,但都是基于產業組織理論的視角,而沒有考慮不完全契約和國家之間的競爭。
工業元宇宙創新發展三年行動計劃:打造100個工業元宇宙標桿應用:11月4日消息,工業元宇宙協同發展組織、工業和信息化部工業文化發展中心發布《工業元宇宙創新發展三年行動計劃(2022-2025)》。該計劃提出力爭通過3年的努力,以工業元宇宙的技術儲備、標準研制、應用培育和生態構建為目標,通過創新能力提升等四項行動,實現3個 100:形成100個可復制的典型案例,為應用推廣提供標準模板;打造100個工業元宇宙標桿應用,提供元宇宙在工業領域的高水準落地示范;建設100個賦能創新中心,并推動建設一批“工業元宇宙+垂直行業”的工業元宇宙開放平臺。[2022/11/4 12:17:53]
第三,本文為元宇宙文獻提供了數理模型。盡管元宇宙已經成為一種熱門現象,但是關于元宇宙的學術文獻還非常稀少。例如,吳桐、王龍認為,大型互聯網平臺構建的元宇宙存在三個缺陷,過于中心化、加劇數據壟斷和金融滲透、難以解決互操作性問題(即形成各自封閉的小圈子),因此他們認為基于區塊鏈技術可以實現去中心化,完成數據的確權、定價和交易,應該是未來元宇宙的基本形態。呂鵬從人的發展視角,指出元宇宙既促進勞動時間的自由,又能促進勞動空間的自由,甚至使得人類有可能在虛擬世界實現永存。方凌智、沈煌南分析了元宇宙構建的技術基礎和人文基礎,以及技術、人文的交互促進作用。此外,他們還討論了元宇宙實現的必然性和元宇宙對產業發展的作用。鄭磊、鄭揚洋(討論了元宇宙發展可能存在的問題,包括虛擬數字商品的價格可能導致收入差距擴大,去中心化的區塊鏈技術在中高頻交易場合仍很難投入使用,以及元宇宙帶來的社會治理和監管難題。與上述文獻不同,本文是第一篇構建了元宇宙數理模型的文章,并從經濟效率的角度,討論了元宇宙的治理模式問題。
本文剩余部分的結構是:第二節構建了一個不完全契約理論視角下的互聯互通模型;第三節比較了四種元宇宙模式,得出了本文的主要命題或推論;第四節是結論和政策啟示。
二、模型設定
1、模型假設
在一個元宇宙中,有兩個參與人,它們是兩個企業或者兩個小的元宇宙,記為企業i,i∈{1,2}。每個企業都擁有一些資產Ai,比如深度活躍用戶群、專利、應用場景、算法或設備。這些物質資產或數字資產是可以證實的,并且成為識別企業邊界的關鍵變量。每個企業可以做出企業專用性投資 (firm-specific investment)ei,比如適用于特定客戶群體的算法、某些虛擬場景的渲染方法,這樣可以通過塑造游戲或社交平臺的特色來提高自身價值;也可以做出互聯互通的投資oi,通過提高和對方企業在技術、設備、內容等方面的兼容性以及降低用戶轉換成本,這樣可以增加兩個企業之間的協調收益。如果兩個企業實現了互聯互通,那么每個企業的利潤為:
五月天在騰訊元宇宙TMELAND里舉辦首個TME live超現場演出:金色財經報道,2022年跨年騰訊攜手中國先鋒電子音樂制作人Anti-General、及全球百大DJ Luminn、DEXTER KING、國際知名DJ Vicetone等音樂人、視覺藝術家,用一場精彩、數實交錯的跨年音樂節,為廣大樂迷、音樂人及合作伙伴開啟了一個融合現實與虛擬的“超現實”數字時空,拉開了國內音樂元宇宙的序幕。五月天跨年演唱會也成為在TMELAND里“舉辦”的首個TME live超現場演出。[2022/1/3 8:22:09]

其中,j=3-i,代表另外一個企業。等式(1)右邊第一項代表了企業專用性投資帶來的收益,第二項代表互聯互通帶來的收益,第三項代表企業推進互聯互通的額外成本,第四項代表企業付出的總投資成本。這樣設定的理由是:假設企業進行專用性投資的帶來的收益與其用戶數量、應用場景等資產正相關;互聯互通能夠為用戶帶來更豐富和便捷的體驗,為用戶創造更大價值,這部分收益與兩家企業原本的業務量和兩家企業付出的互聯互通努力都有正向關系,其中μ∈[0,1],代表了協調效率;企業i為互聯互通付出的投資,可能會導致其損失一定的原有收益,這部分損失與企業資產有關,比如開源部分代碼意味著放棄部分收費權,允許用戶自由轉移會存在深度用戶將部分精力轉移到其他平臺的風險,等等。對于蘋果公司這樣已經形成了獨立生態的企業來說,用戶數比較穩定,在原有系統上繼續優化會帶來很高收益,一旦開放給競爭對手可能對原有業務造成較大沖擊,此時αi和δi很大,βi很小;反之,對于一些初創企業來說,αi和δi很小,βi很大。
由于元宇宙里沒有統一的法律法規,并且所處的虛擬環境非常復雜和非常獨特,因此企業的投資水平、投資成本和收益都是雙方可以觀察但是難以向第三方證實的。例如,某個企業為了和對方企業互聯互通,減少了用戶轉換成本,但是這種努力的成本和收益很難被法院或者其它第三方所證實。這意味著,雙方之間的信息是對稱的,但是雙方之間的任何協議或交易都是一種不完全契約。
如果企業付出努力e_i和o_i,但是最終兩家企業的系統沒有互聯互通,則企業i的利潤如下,此時企業沒有互聯互通的收益,但是也不需要承擔互聯互通的額外成本。

為了簡便,假設兩家企業之間的博弈只持續一期,雙方均不存在財富約束,也不考慮貼現。博弈時序如下:(1)在日期0,兩個企業簽訂一個契約,以資產為界確定兩者的關系或產權結構;(2)在日期1,兩個企業分別做出專用性投資和(或)互聯互通投資;(3)在日期2,兩個企業根據它們之間的關系,通過再談判分配互聯互通產生的收益(如果有的話),最終兩個企業都實現利潤最大化。
元宇宙價值指數今日為1120.91點:金色財經報道,據同伴客數據顯示,11月05日元宇宙價值指數為1120.91點,較前日下跌13.77點,跌幅為1.11%。
構成元宇宙價值指數成分的上市企業或NFT平臺皆為目前在虛擬經濟領域表現出巨大市場價值和未來潛力的頭部機構,該指數能夠有效反映元宇宙虛擬經濟整體價值的發展趨勢。
注:2021年3月10日主要成份股roblox上市并產生第一個收盤價,故選取3/11日為本指數首次推出的基準日,初始值為100。[2021/11/5 6:33:06]
2、四種模式
我們將討論兩個企業或者更多企業之間存在的四種模式(如圖1所示),或者說四種治理結構。(1)諸侯國模式(Ducal states mode):兩個企業保持獨立,但每個企業可以與對方進行單向聯通,并且對方不能拒絕。如果聯通發生,每個企業單獨得到聯通帶來的協調收益,但必須單獨承擔聯通的成本。接受單向聯通的一方可以得到額外的協調收益,且無需為此付費。(2)聯合國模式(United Nations mode):每個企業保持獨立,當且僅當雙方都同意時,才能進行互聯互通。由于投資的成本和收益都是不可證實的,因此在分配互聯互通的收益時,會發生再談判。一方可以拒絕互聯互通為威脅來索取更多租金,這就是所謂的敲竹杠(holdup)。我們遵循已有文獻的做法,假設雙方在再談判時根據納什談判解(Nash bargaining solution)分配互聯互通所產生的額外收益,即每個企業得到一半的合作剩余。(3)大一統模式(Single mode):企業1兼并了企業2,即獲得了企業2的所有資產,此時兩個企業就變成了一個企業內部的兩個相對獨立的業務單元。企業1可以決定是否進行互聯互通,并且雙方按照納什談判解分配協調收益。這意味著,企業2的經理人具有一定的人力資本專用性,因此即便失去了資產所有權,也有一定的談判力。(4)區塊鏈模式(Blockchain mode):借助區塊鏈技術的可證實性,所有的成本和收益均可證實,此時雙方在事前簽訂一個智能契約(smart contract),然后根據某個規則分配互聯互通產生的收益,沒有討價還價問題。如果互聯互通沒有發生,則不存在收益分享。注意到,在所有四種模式下,互聯互通都是每個企業的內生決策。由于雙方能夠預期到各自的投資成本和收益,并且總是可以進行事后科斯式談判,因此理性的雙方一定會在日期0選擇一種能夠實現總利潤最大化的契約安排。這意味著,我們根據逆向歸納法求解每種模式下的博弈問題時,我們得到的解都是約束條件下的最優解。然后,我們對不同模式下的最優解進行比較,進而找出最能夠實現社會福利最大化的模式。

(1)情形1:社會最優
作為一個標尺,我們先考慮最理想的狀況“社會最優”(first best)。在社會最優情況下,不存在信息不對稱、契約不完全和利益沖突,協調效率達到最高值1。最大兩個企業的總利潤,得到社會福利最大化的數學規劃:



由于我們主要關注互聯互通投資oi,因此簡便起見,假設對于i∈{1,2},均有(βi+βj ) Ai Aj-αi Ai<αi δi Ai2,則不需要考慮專用性投資ei的角點解。此時兩個企業的總利潤所構成的社會福利水平為:

(2)情形2:諸侯國模式
社會最優畢竟只是理想情況。因此,接下來我們考慮四種在目前以及未來的元宇宙里可能存在的四種模式。首先考慮諸侯國模式。此時,每個企業的投資水平、投資成本和收益都是不可證實的,兩個企業之間處于一種不完全契約狀態。每個企業非合作地做出專用性投資和互聯互通投資。每個企業都不能阻止交易對手的單向聯通,并可以從單向聯通中獲得額外的協調收益,但不能在事后以中止互聯互通為威脅進行敲竹杠。在諸侯國模式下,企業i的利潤最大化問題為:

(3)情形3:聯合國模式
在聯合國模式下,兩個企業仍然保持獨立。與諸侯國模式不同的是,此時只有雙方一致同意才能實現互聯互通。如果實現了互聯互通,那么雙方在不完全契約下根據納什談判解分配協調收益;如果沒有實現互聯互通,那么雙方將只獲得專用性投資帶來的收益,并且沒有單向聯通的收益。此時,企業i的規劃變為:

(4)情形4:大一統模式
在大一統模式下,假設企業1兼并了企業2。兩個企業合并或者一體化之后,企業1掌握獲得了企業2的全部資產,并擁有控制權。兩家企業從市場關系變成了企業內部的契約滾西,相當于一個企業內部的兩個經營單元,它們仍然獨立運營、獨立決策,雙方在不完全契約下根據納什談判解分配互聯互通帶來的凈收益。? 但是有兩點變化:一是企業1從企業2那里獲得了更多的資產,從而提高了其專用性投資收益和互聯互通收益,這可以理解為資產增多導致外部選擇權(outside option)提高;二是企業1兼并企業2之后,可以用命令或權威機制取代價格機制,從而大幅提高內部的協調效率,使得互聯互通的效率系數μ達到最大值1。
則有,企業1的規劃問題變為:

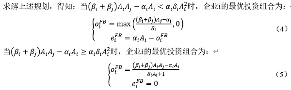
(5)情形5:區塊鏈模式
區塊鏈是一種基于互聯網的交易記賬方式,它具有分布式、防篡改和匿名性的特點。假設隨著區塊鏈技術的成熟,企業間可以無成本完成信息互認,即企業的投資成本和收益以及參數αi、βi、δi均可向第三方證實,而且企業i可以通過智能契約設計一種支付規則,自動根據oj向企業j支付報酬,無需進行事后談判。假設由企業1制定規則,博弈時序如下。在日期1/3,企業1設定利潤轉移系數τ,τ∈[0,1];在日期2/3,企業1和企業2各自選擇投資水平ei和oi;在日期1,雙方互聯互通,產出實現,
在時期1,τ已經確定,此時,企業i的規劃問題為:

三、結論及政策含義
元宇宙代表著人們對下一代互聯網的構想,因此對元宇宙的研究具有非常重要的理論意義和現實價值。本文把元宇宙理解為一個不完全契約的世界,并討論了什么是最優的元宇宙秩序。我們比較了四種元宇宙的治理結構:諸侯國模式、聯合國模式、大一統模式和區塊鏈模式。我們認為:
(1)區塊鏈模式優于聯合國模式,聯合國模式優于諸侯國模式;
(2)相對于大企業,小企業更愿意在互聯互通方面投資;
(3)當協調成本較高時,兩個企業組成一個聯盟與第三個企業對抗是一種均衡。
本文的研究對元宇宙治理以及對我國爭取國際互聯網主導權提供了重要的政策含義。
首先,不同的發展有不同的元宇宙最佳模式。在元宇宙發展的初期,各個元宇宙平臺規模較小,規模效應不顯著,同時每個元宇宙平臺的專用性投資非常重要,此時諸侯國模式是最佳的;在元宇宙發展的中期,元宇宙的規模效應比較明顯,而專用性投資的重要性下降,此時大一統模式是最佳的;在元宇宙發展的成熟階段,互聯互通帶來的網絡外部性更加重要,并且互聯互通的規則逐漸形成了共識,此時區塊鏈模式是最佳的。
其次,推動元宇宙平臺產業大力發展,關鍵是推動區塊鏈技術落地,提高元宇宙平臺企業之間的協調效率,并且鼓勵元宇宙企業均勻發展。目前,我國的元宇宙產業在硬件設備方面具有一定的優勢,但元宇宙平臺之間缺乏互聯互通,并且企業規模不均勻。下一步的政策要鼓勵元宇宙企業百花齊放,防止一家獨大,這樣才能通過同質競爭提高整個產業的效率。
再次,鼓勵國內元宇宙平臺做大,并利用中國網民數量大、數字經濟發達的優勢,進一步走出國門,爭取元宇宙的國際規則主導權。目前,美國企業在元宇宙產業中占據了技術優勢,韓國和日本政府對此高度重視。例如,2021年5月18日,韓國科學技術和信息通信部發起成立了“元宇宙聯盟”,成員包括三星、韓國電信(KT)、SK電信、現代汽車等500多家公司和機構。日本經濟產業省發布了《關于虛擬空間行業未來可能性與課題的調查報告》,指導元宇宙產業的發展。中國必須利用后發優勢,迎頭趕上。2021年12月21日,上海市委經濟工作會議指出,要引導企業加緊研究未來虛擬世界與現實社會相交互的重要平臺,高度重視終端產品具有的技術迭代主導權、行業標準定義權、價值格局分配權。我們認為,這是非常有遠見的政策。
數實融合的數字場景是元宇宙的具象空間和內容承載,因此數字場景建設構建起元宇宙的基礎空間和設施。數字場景建設可以類比為在元宇宙中的“基建施工”,在數字經濟和元宇宙浪潮下有望迎來發展機遇.
1900/1/1 0:00:00有很多定義,但我們通常認為Web3是一個利用區塊鏈技術的無信任、無許可和去中心化的互聯網。Web3的定義特征是所有權.
1900/1/1 0:00:002021年對于Web3行業來說是關鍵的一年,它從一個新生社區發展成為一個新興行業。在過去的一年里,我們見證了人才和資金大規模地流入Web3生態,所以在底層基礎設施以及面向消費者的DApp中出現了.
1900/1/1 0:00:001.2021年Crypto市場整體規模市場規模全年增長約350%;2.主流資產價格在2021年屢創新高.
1900/1/1 0:00:00“不確定性”是加密行業的最大魅力所在,也讓Web3變得極具想象力。從1989年伯納斯(Tim Berners-Lee)提出萬維網概念至今,互聯網產業已經歷過Web1與Web2兩個驚濤駭浪的時代,
1900/1/1 0:00:00中國最高人民檢察院18日通報,江西省政協原黨組成員、副主席肖毅涉嫌受賄、濫用職權一案,由國家監察委員會調查終結,經最高人民檢察院指定,由浙江省杭州市人民檢察院審查起訴.
1900/1/1 0:00:00