BTC/HKD-0.43%
ETH/HKD-0.34%
LTC/HKD+0.25%
ADA/HKD-0.63%
SOL/HKD-0.62%
XRP/HKD-1.04% 
近期Kucoin被盜,okex不能提幣事件中,也已經充分暴露出中心化交易所的風險。
脆弱的中心化的交易所:
1.技術風險
服務器軟件漏洞、配置不當、DDoS攻擊、服務端Web程序漏洞、辦公電腦安全問題、內部人員攻擊等。很多交易所沒有災備級系統認證,在發生火災、地震、洪水時投資者數據一旦丟失,萬劫不復。
2.道德風險
中心化交易所的資產托管并沒有使用區塊鏈技術,不具備不可篡改、可溯源的特性,用戶需要先把資金轉入到交易所開辟的專門賬戶中,用戶對自己的資產沒有控制權。
中心化交易所信息不透明、不對稱,加之主體權益不一致,很容易發生交易所內部人員做出不利于其他投資者的行為。
3.法律風險
各個交易所以及相關人員在經營相關業務中,違反國家法律、行政法規和相關市場監管部門規定,從而受到法律的制裁而使交易所遭受損失。
美聯教育2022年年度加密貨幣相關業務共營收8159.9萬元,占總營收的20.4%:金色財經報道,美聯教育發布2022年年度報告。年內,美聯共營收3.99億元,較2021年度的7.29億元下降了45.2%。其中,2022年美聯加密貨幣相關業務共營收8159.9萬元,占總營收的20.4%。美聯教育指出,在截至2022年12月31日的財政年度,來自比特幣挖礦貢獻了絕大部分收入。
美聯教育稱,其將開采的所有比特幣存儲在熱錢包或連接到互聯網的加密貨幣錢包中,并且可能會不時將開采的比特幣兌換成法定貨幣,以產生現金流來為子公司的業務運營提供資金。
截至2022年12月31日,子公司共擁有1754臺礦機,共完成部署1482臺,占84.5%,總算力140PH/S。通過子公司,美聯分別由在田納西州和肯塔基州托管設施所有者運營的三個托管設施管理和運營我們的礦機。在截至2022年12月31日的財政年度,共開采了84.9638個比特幣,產生了約1659.66萬元的收入。[2023/3/16 13:08:01]
交易所違反監管規定和原則而招致法律訴訟或者監管處罰,進而不利于交易所正常運營的風險。
由于法律或監管規定的變化,影響交易所正常運營或削弱其競爭力、生存能力的風險。
分析:BTC.com的被盜資產大部分已轉入Tornodo Cash:1月3日消息,X-explore推特發文稱,鏈上分析顯示,BTC.com 被盜資產為 32.5 BTC 和 1964 ETH。大部分轉入Tornodo Cash,部分轉入CEX交易所Binance和Kucoin。
此前報道,BIT Mining子公司BTC.com于12月初遭到網絡攻擊,損失約300萬美元。[2023/1/3 9:50:06]
保險的剛需:?任何DeFi協議或者是交易所都是需要保險
最終來說,絕大多數的DeFi協議和中心化交易所都會將保險服務看作為協議服務的重要組成。唯有這樣,才能真正解決用戶的后顧之憂。
保險其實本質是在于風險對沖,最大化的彌補風險事件所帶來的各種損失。
保險賽道的新機遇:DeFi協議和中心化交易所
這種未來的可能性,對于保險賽道的項目來說,意味著巨大的機會。越來越多的中心化交易所為了吸引用戶,增強護城河,會將其收益的一部分置入保險市場,這意味著保險需求的增加,保費收益規模的增長。
此外,考慮到DeFi保險市場的更好的透明度和更好的流動性,DeFi相對于傳統行業的保險市場會有更高的滲透率。
幣安:計劃與驗證者聯系進行節點升級,具體時間暫未確定:10月7日消息,BNB Chain官方在社交媒體上發文表示,已要求BNB Chain節點驗證者在未來幾個小時內與其聯系,以便可以計劃進行節點升級。
對此,幣安創始人趙長鵬表示:“暫時無法給出具體的升級預計時間,幣安給開發人員時間來充分了解本次事件的根本原因,實施修復并進行深度測試,然后再繼續。”[2022/10/7 18:41:33]
下面我們介紹一下首個針對交易所被盜、倒閉、跑路等各種風險事件的:交易所信用CDS保險。
同時,INS3技術開發團隊還推出了保險范圍為CeFi、DeFi、穩定幣、IPFS云算力的DeFi保險產品,以迎合市場需求。
競品分析之1:超強保單流動性----CDStoken
與NXM保險不同,INS3的保單是CDS概念標準的ERC777代幣,可以在任意地方進行交易,客戶也可在任何時候可以退保。
此外,客戶將INS3將保單與USDT存在Moonswap以及Uniswap從而為保單CDStoken提供流動性,獲取LP,將LPtoken存入INS3即可以獲得INS3的代幣獎勵。
印度尼西亞正在發展區塊鏈游戲生態系統:金色財經報道,近日,在巴厘島的NXC峰會上,Anantrupa首席執行官Ivan Chen表示,印度尼西亞正在利用區塊鏈技術建設游戲生態系統,并表示,印度尼西亞很大一部分游戲玩家都擁有加密貨幣,這表明他們接受區塊鏈游戲。同時,出席NXC峰會的印度尼西亞政府部長表示,在該地區將會創建更多的區塊鏈游戲公司。[2022/9/10 13:20:35]

競品分析之2:多種精算與保費模型組合
與NXM將保費與staking金額掛鉤,利用staking的預期來為項目違約率進行定價的單一方式不同,INS3采用預期模型、KMV模型與自主鏈上評分卡三者結合的精算模型來確定保費。
先來介紹其中的KMV模型模型。
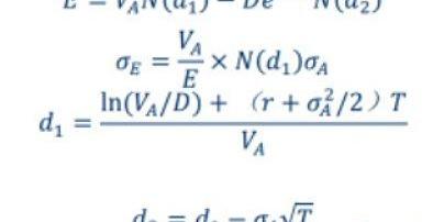
信用險的保費定價=保額×(無風險利率+違約率)。我們借鑒了美國成熟債券市場中的DRSK模型。根據KMV模型,

美國證券交易委員會要求對沖基金更多地披露其(交易)策略:8月10日消息,美國證券交易委員會要求對沖基金更多地披露其(交易)策略。(金十)[2022/8/10 12:16:27]
其中,V為公司資產價值,μ為資產價值漂移率,δ為其波動率,dW為標準維納過程。
假設債務期限為T,公司股權價值為E、負債為D,無風險利率為r,根據期權定價理論,

由此計算違約距離DD:

并估算最佳違約點參數:

其中,α為短期借款乘數,SD為公司短期借款,β為長期借款乘數,LD為長期借款。
在實踐中,我們將DeFi的鎖倉量以及交易所的公開熱錢包存幣量作為債務,平臺幣或者項目治理代幣的波動率作為波動率,建立和目前項目風險之間的映射關系。?
在模擬實踐中,INS3版本的KMV模型提前預測了9月13日的BZRX的被盜事件,在被盜前夕將預計保費由4.62%調升至13.66%。

再來介紹評分卡模型。INS3團隊借鑒defiscore的模型針對每個defi項目的鏈上信息制作了評分卡模型:

其中,智能合約風險權重占45%,抵押物風險占20%,流動性風險占10%,協議管理權風險占12.5%,預言機風險占12.5%。
通過評分卡,Defi項目的質量將更為量化,并反映在保費上。
INS3的精算模型融合預期模型、KMV模型以及評分卡模型進行精算定價,精細程度、精算的穩定性和準確性,相比NXM均有所提高。
競品分析之3:Staking&NFT
如果客戶想獲取穩定收益,可以參與INS3的staking來參與承保。與NXM強制質押90天不一樣,INS3的staking資本是一個NFT,可以在NFT交易平臺上自由轉讓。
如果不想轉讓,在資本充足率充足的情況下,staking資本可以隨時退出。如果資本充足率不充足,客戶可以注銷保單退出,像Kucoin保單一天保費漲幅達到321%的情況,注銷保單還可獲得盈利。

參與staking可獲取70%的保費分成,如果在5-10倍杠桿下,可獲取年化15%~350%的保費收入。

同時,參與staking還可以獲得INS3的代幣獎勵。

競品分析之4:?投資模式
INS3團隊目前是市場最大的DeFi清算團隊以及中心化和去中心化套利者之一,staking的資本會用于參與Dex和Cex之間的套利,從而實現staking資本的保值增值,盤活staking資本。
競品分析之5:?預言機
與NXM采用董事會初審+社區復審的形式來決定是否賠付的中心化的方式不同,INS3采用自建預言機的模式,任何人都通過API來判斷行情是否正確、資產是否安全、是否能提幣等原創綜合算法,從而判斷交易所是否出現安全事件。參與認證是一種行為挖礦,可以獲得挖礦獎勵。

競品分析之6:總結
INS3更具競爭力的:資本模型,投資模型,保險精算定價模型,相對NXM和Yinsure在去中心化程度和保險范圍上做了重大升級。

INS3與Web3.0對應,延續傳統保險1.0和互聯網保險2.0的演進路線,將保險帶入區塊鏈和智能合約托管的3.0時代。
將資本進行代幣化,代表著可不借助股票或者債券等金融工具就直接投資“保險公司”,并可以退出和交易。由此,一個“可裝卸”、“可編程”的“保險公司”出現了,這是區塊鏈帶來的生產關系進步。
INS3的全球團隊,憑借技術開發功底和保險精算領域經驗,通過了Conflux社區生態基金會的審核并獲得其資助,預計將于12月30日上線第一只保險產品:交易所信用CDS保險。?
INS3希望以DeFi+NFT+預言機+跨鏈的模式為去中心化保險生態帶來創新。
來源:金色財經
Harmony:Horizon跨鏈橋資產恢復提案將不會增發ONE:9月23日消息,Harmony發布關于Horizon跨鏈橋資產恢復提案的更新,表示將不會增發ONE.
1900/1/1 0:00:00世界黃金協會最新數據顯示,在剛剛結束的11月,全球黃金ETF持倉下降了107噸,為過去一年以來的首次下降,這也是歷史上第二高的月度凈流出.
1900/1/1 0:00:00Bitfinex分析師:我們可能正處于比特幣牛市的早期階段:金色財經報道,Bitfinex分析師稱,上周比特幣現貨交易量創下歷史新高.
1900/1/1 0:00:00作者:AndreCronje 來源:Medium 編譯:ETH.FM 本文主要聊聊我對CoverProtocol的理解.
1900/1/1 0:00:00前言 ???方向不對,努力白費。這個市場是公平的也是殘酷的,它會給你懂它,真正理解它的人會有豐厚的回報,同時它也不會去憐憫任何一個人,無論你在交易中造成多大的虧損從而使你苦不堪言,它甚至不會向你.
1900/1/1 0:00:00近年來,區塊鏈技術已成為經濟增長新動力,BSN作為由國家信息中心發起的中國自己的安全區塊鏈網絡基礎設施,旨在降低區塊鏈應用的開發、部署、運維、互通和監管成本,推進中國區塊鏈技術快速普及和發展.
1900/1/1 0:00:00